База экзаменационных вопросов (бэв)
по дисциплине «Геотехнические проблемы в строительстве»
для магистрантов, гр. МСтр-16(1)
Практический блок
Расчет устойчивости в предложении круглоцилиндрических и плоских поверхностей скольжения. Учет динамических и сейсмических воздействий.
Расчет устойчивости в предложении круглоцилиндрических и плоских поверхностей скольжения. Учет динамических и сейсмических воздействий.
Реальные грунты, как правило, обладают не только сцеплением, но и трением. В связи с этим проблема устойчивости откосов становится значительно сложнее. Поэтому на практике для решения задач в строгой постановке, большое распространение получил метод круглоцилиндрических поверхностей скольжения.
Большое распространение на практике получил метод круглоцилиндрических поверхностей скольжения, сущность этого метода заключается в отыскании круглоцилиндрической поверхности скольжения с центром в некоторой точке О, проходящей через подошву откоса, для которой коэффициент устойчивости будет минимальным (рис. 1).
Рис. 1. Схема к расчету устойчивости откоса методом круглоцилиндрической поверхности скольжения
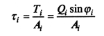
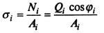
Расчет ведется для отсека, для чего оползающий клин ABC разбивается на n вертикальных отсеков. Делается предположение, что нормальные и касательные напряжения, действующие по поверхности скольжения, в пределах каждого из отсеков оползающего клина определяются весом данного отсека Qi, и равны соответственно:
(1)
(2)
Здесь Ai — площадь поверхности скольжения в пределах i-го вертикального отсека, Ai= 1li; li — длина дуги скольжения в плоскости чертежа (см. рис. 1).
Препятствующее оползанию откоса сопротивление сдвигу по рассматриваемой поверхности в предельном состоянии
(3)
Из (1)—(3) следует выражение для силы сопротивления сдвигу в пределах i-го отсека:
(4)
Устойчивость откоса можно оценить отношением моментов удерживающих Ms,l и сдвигающихMs,a сил. Соответственно коэффициент запаса устойчивости определим по формуле
(5)
Момент удерживающих сил относительно О представляет собой момент сил Qi:
(6)
Момент сдвигающих сил относительно точки О
(7)
Тогда формулу (4) можно записать в следующем виде:
(8)
При наличии подземных вод учитывают фильтрационное давление, которое будет уменьшать устойчивость откоса. Фильтрационное давление определяют как нормальную составляющую:
(9)
для i-й
призмы или отсека
где А'— площадь, занятая фильтрационным потоком в оползающей призме грунта, равная А' = А'1 + А'2 + А'3 (рис. 2); γω — удельный вес воды.
Рис. 2. Схема к определению площади, занятой фильтрационным потоком
Фильтрационное давление влияет только на нормальную составляющую формулы (8).
Устойчивость откоса согласно изложенной расчетной методике обеспечена, если ks>1. При проектировании сооружений коэффициент устойчивости назначают обычно в пределах 1,2—1,3.
Для решения практических задач установлен следующий порядок расчета. Из некоторого произвольного центра О1 радиусом R через точку С проводят поверхность скольжения (см. рис. 2). Участок откоса, ограниченный дугой АС и ломаной линией откоса ABC, разбивают на ряд призм равной ширины, массу которых подсчитывают как площади соответствующих фигур, умноженных на удельный вес грунта. При наличии в откосе грунтов с различным удельным весом строят фиктивный профиль с удельным весом, приведенным к одному из имеющихся.
Далее по формуле (8) определяют коэффициент устойчивости. После того повторяют построения и расчеты при цилиндрических поверхностях скольжения, проведенных из новых центров О2, О3 и т.д. до тех пор, пока не будет найдено минимальное значение ks на первой вертикали. Аналогично проводят расчет, определяя минимальное значение коэффициента устойчивости для второй вертикали, строя круглоцилиндрические поверхности, проведенные из центров O4, O5, O6. Затем такие же расчеты повторяют для третьей, четвертой и т.д. вертикалей, пока не будет определен самый минимальный коэффициент устойчивости. Поверхность скольжения, имеющая наименьшую величину ks, будет наиболее вероятной поверхностью скольжения грунтов склона.
Группы предельных состояний при расчете оснований и фундаментов.
Группы предельных состояний при расчете оснований и фундаментов.
Расчет оснований производят по первой группе (по несущей способности) — если необходимо обеспечить прочность и устойчивость основания, не допустить сдвиг или опрокидывание, если на основание передаются регулярно действующие горизонтальные нагрузки, если основания ограничены откосами или сложены скальными грунтами. По второй группе предельных состояний (по деформациям) — для всех зданий и сооружений, если основание сложено нескальными грунтами. Для оснований из нескальных пород рассчитывают осадки фундаментов и учитывают их неравномерность. Задачей расчета оснований по деформациям является ограничение деформаций надфундаментных конструкций пределами, гарантирующими от появления недопустимых для нормальной эксплуатации конструкций трещин и повреждений, а также изменений проектных уровней и положений.
По несущей способности S≤Su
По дефоP≤R
Нагрузки и воздействия, учитываемые при расчете оснований и фундаментов.
Нагрузки и воздействия, учитываемые при расчете оснований и фундаментов
Нагрузки и воздействия на основания, передаваемые фундаментами сооружений, должны устанавливаться расчетом, как правило, исходя из рассмотрения совместной работы сооружения и основания.
Учитываемые при этом нагрузки и воздействия на сооружение или отдельные его элементы, коэффициенты надежности по нагрузке, а также возможные сочетания нагрузок должны приниматься согласно требованиям СНиП по нагрузкам и воздействиям.
Нагрузки на основание допускается определять без учета их перераспределения надфундаментной конструкцией при расчете:
а) оснований зданий и сооружений III класса;
б) общей устойчивости массива грунта основания совместно с сооружением;
в) средних значений деформаций основания;
г) деформаций основания в стадии привязки типового проекта к местным грунтовым условиям.
Расчет оснований по деформациям должен производиться на основное сочетание нагрузок; по несущей способности - на основное сочетание, а при наличии особых нагрузок и воздействий - на основное и особое сочетание.
При этом нагрузки на перекрытия и снеговые нагрузки, которые согласно СНиП по нагрузкам и воздействиям могут относиться как к длительным, так и к кратковременным, при расчете оснований по несущей способности считаются кратковременными, а при расчете по деф ормациям - длительными. Нагрузки от подвижного подъемно-транспортного оборудования в обоих случаях считаются кратковременными.
В расчетах оснований необходимо учитывать нагрузки от складируемого материала и оборудования, размещаемых вблизи фундаментов.
Усилия в конструкциях, вызываемые климатическими температурными воздействиями, при расчете оснований по деформациям не должны учитываться, если расстояние между температурно-усадочными швами не превышает значений, указанных в СНиП по проектированию соответствующих конструкций.
Нагрузки, воздействия, их сочетания и коэффициенты надежности по нагрузке при расчете опор мостов и труб под насыпями должны приниматься в соответствии с требованиями СНиП по проектированию мостов и труб.
Учёт совместной работы основания, фундамента и надфундаментной конструкции. Предельные деформации оснований.
Учет совместной работы основания, фундамента и надфундаментной конструкции. Предельные деформации оснований.
Подземная часть здания и сооружения представляет собой две взаимосвязанные системы «фундамент» - «грунтовое основание», зависящие от конструктивных особенностей надземного сооружения.
Фундаменты устраиваются для передачи нагрузок от конструкций зданий и сооружений, установленного в них технологического и другого оборудования и полезных нагрузок на грунты основания. Основание, воспринимая эти нагрузки, претерпевает, как правило, неравномерные деформации, что вызывает появление в конструкциях дополнительных перемещений и усилий. Неправильное проектирование, подготовка оснований и возведение фундаментов могут привести к тому, что даже выполненная согласно проекту конструкция сооружения перестанет удовлетворять предъявляемым к ней эксплуатационным требованиям.
Одной из характерных особенностей неправильного возведения фундаментов является то, что его отрицательное действие проявляется после накопления грунтами основания достаточных деформаций, то есть, как правило, в период эксплуатации сооружения. Известны случаи, когда уже построенные и заселенные здания из-за развития чрезмерных деформаций приходилось срочно подвергать сложным ремонтно-восстановительным работам, а нередко и полностью или частично разбирать. Таким образом, ошибки, допущенные при проектировании и возведении фундаментов, или стремление к неоправданной экономии ресурсов могут потребовать проведения дополнительных мероприятий, стоимость которых во много раз превысит стоимость фундаментов.
Можно сформулировать общие требования, предъявляемые в действующих нормативных документах к проектированию оснований и фундаментов:
обеспечение прочности и эксплуатационных параметров зданий и сооружений (общие и неравномерные деформации не должны превышать допустимых величин);
максимальное использование прочностных и деформационных свойств грунтов основания, а также прочности материала фундамента;
достижение минимальной стоимости, материалоемкости и трудоемкости, сокращение сроков строительства.
Соблюдение этих положений основывается на выполнении указанных ниже условий:
комплексный учет при выборе типа оснований и фундаментов инженерно-геологических и гидрогеологических условий строительной площадки;
учет влияния конструктивных и технологических особенностей сооружения на его чувствительность к неравномерным осадкам;
оптимальный выбор методов выполнения работ по подготовке оснований, устройству фундаментов и подземной части сооружений;
расчет и проектирование оснований и фундаментов с учетом совместной работы системы «основание - фундаменты - конструкции сооружения».
Расчетная схема к определению критического давления на грунты основания: а — схема фундамента; б — расчетная схема; 1 — начало развития зон предельного равновесия в грунтах основания; 2 — допустимое развитие зон
Расчетная схема к определению предельного давления на грунты основания: 1 — поверхность грунта; 2 —:область пластического течения грунта; 5 — зона уплотнения; 4 — поверхность скольжения
Учёт инженерно – геологических и климатических условий, особенностей сооружения и метолов производства работ при назначении предельных деформаций.
при проектировании фундамента предполагаются осадки и деформации основания, при условии, что их величина не превысит предельные значения деформаций
При проектировании необходимо учитывать местные условия строительства, а также имеющийся опыт проектирования, строительства и эксплуатации сооружений в аналогичных инженерно-геологических и экологических условиях и указания территориальных норм. Для этого необходимо иметь данные об инженерно-геологических и инженерно-экологических условиях этого района и характерных особенностях окружающей застройки, о применяемых конструкциях возводимых сооружений, нагрузках, типах и размерах фундаментов, давлениях на грунты основания и о наблюдавшихся деформациях оснований сооружений. Следует также учитывать данные о производственных возможностях строительных организаций и парке оборудования, ожидаемых климатических условиях на весь период строительства. Указанные данные могут оказаться решающими при выборе типа фундаментов (например, на естественном основании или свайные), глубины их заложения, метода подготовки основания и пр.
При проектировании оснований и фундаментов уникальных зданий и сооружений или их реконструкции, а также сооружений I уровня ответственности, в том числе реконструируемых, в условиях окружающей застройки необходимо предусматривать научно-техническое сопровождение строительства.
Современные и перспективные виды фундаментов (материалы, конструкции, методы устройства, области применения). Вариантное проектирование, принципы технико–экономического сопоставления вариантов фундаментов.
Для придания устойчивости зданию существуют разнообразные виды фундаментов, которые часто обустраивают самостоятельно. Правильно выбранный и построенный фундамент – гарант надежной и долголетней эксплуатации здания без дополнительных ремонтных работ.
Современная классификация фундаментов
Существующие варианты оснований под строящиеся здания или сооружения можно классифицировать по внешнему виду, основным конструктивным элементам и методу строительства на такие виды фундамента для дома:
ленточный или рамочный;
столбчатый;
свайный;
монолитный;
плавающий;
плитный;
винтовой.
Выбор варианта основания под здание определяется составом грунта, планируемыми габаритами здания и весом стройматериалов, высотой залегания подпочвенных вод. Серьезным фактором при выборе является и бюджет на стройку.
Метод вариантного проектирования заключается в том, что наиболее значительные проектные решения принимаются путем обоснованного выбора их из ряда составленных вариантов, сравниваемых между собой по присущим им достоинствам и недостаткам. Этот метод широко используется в отечественной практике проектирования тоннелей всех назначений. Применение его гарантирует от случайных, иногда ошибочных выводов и обеспечивает оптимальность принимаемых решений, что способствует повышению эффективности капиталовложений в тоннельное строительство.
Обязательным условием правильного использования метода вариантного проектирования является равноценность сравниваемых вариантов по обеспечению выполнения задач, поставленных перед сооружением в целом или его отдельным проектируемым элементом. Поэтому нельзя, например, проводить сопоставление двухпутного и однопутного тоннелей, но можно сравнить тоннель, строящийся сразу под два пути с двумя однопутными тоннелями, сооружаемыми в два этапа, соответственно перспективе развития перевозок на дороге.
Конструкции фундаментов: монолитные и сборные массивные фундаменты, ленточные, коробчатые и плитные фундаменты.
По виду конструкции фундаменты бывают:
Ленточный – такой фундамент располагается под всеми конструкциями сооружения в виде сплошной ленты. Различают ленточный сборный и ленточный монолитный. Применяется в строительстве домов, стены которых делают из кирпича и блоков. В зависимости от уровня промерзания почвы бывает малозаглубленный и заглубленный.
Плитный (сплошной) – этот вид фундамента располагается под всеми конструкциями в виде плиты. Используется фундаментная плита для перераспределения нагрузки на фундамент, понижая нагрузки на слабых участках грунта и увеличивая сильные участки. Если фундаменты имеют большое заглубление, то с целью экономии материалов и обеспечения требуемой прочности и жёсткости, их можно проектировать железобетонными коробчатыми с размещением между рёбрами-стенами и перекрытиями помещений подвалов или подземных гаражей. Коробчатые фундаменты проектируют в один или несколько этажей.
Основные типы фундаментов мелкого заложения: а - отдельный фундамент под колонну; б - отдельные фундаменты под стену; в - ленточный фундамент; г - то же под колонны; д - то же под сетку колонн; е - сплошной (плитный) фундамент
Гидроизоляция, дренаж и защита фундаментов от агрессивных жидкостей и грунтовых вод.
Для сохранения стен дома от грунтовых вод устраивают дренаж (гидроизоляцию) фундамента. Вот несколько способов изоляции фундаментов:
Слой цементно-песчаного раствора, около 25 мм, состава 1:2 выравнивают, цементируют, сушат. Поверх стелют один слой толя или рубероида.
Готовят мастику из одной части разогретого битума на 1/2 части извести-пушонки, просеянной на частом сите. Известь можно заменить сухим просеянным мелом, смешивая его со смолой в пропорции 1:1. Горячую мастику наносят в 2 слоя. Слоев можно нанести больше, меньше нельзя. Общая толщина должна быть не менее чем 8 мм.
Настилают насухо два слоя толя или два слоя рубероида, но так, чтобы на концах швы перекрывались не менее чем на 15 см.
Наиболее надежная изоляция — на мастиках (толь — на дегтевой, рубероид — на битумной). Верх фундамента покрывают мастикой и наклеивают на нее первый слой рулонного материала, который вновь покрывают мастикой, и наклеивают второй слой. Для этих работ применяются толь и рубероид без песчаных и каменных подсыпок.
Цементирование выполняют для надежной защиты конструкции от проникновения сырости. Есть два способа:
Первый способ. На хорошо выровненный свежий цементно-песчаный раствор насыпают 2-3-миллиметровый слой сухого цемента и тут же хорошо заглаживают его лопаткой или кельмой. Цемент впитывает влагу, образует цементное тесто, которое, высыхая, не пропускает воду.
Второй способ. На выровненный свежий раствор накладывают 2-3-миллиметровый слой цементного теста и также заглаживают.
В каменных и кирпичных фундаментах гидроизоляцию укладывают на высоте 15-20 см от уровня земли. Если полы кладут на балки, то гидроизоляция должна быть на 10 см ниже их.
Иногда борьбу с подземными водами ведут с помощью системы дренажа. Цель этой системы понизить на необходимом участке уровень грунтовых вод. Но необходимо учитывать, что устройство системы дренажа требует больших начальных расходов при строительстве.
Дренаж фундамента — это инженерное сооружение, которое защищает здание от воздействия избыточной влаги. Грамотно спроектированная и правильно собранная система дренажа фундамента способна предотвратить повреждения здания, вызванные повышенной влажностью:
образование инея, обмерзлости, плесени;
подтопление погребов;
отсыревание пола первого этажа здания;
образование наледей и луж на дорожках, расположенных вблизи здания.
Выполняя монтаж дренажной системы фундамента, необходимо укладывать дренажные трубы в материал, хорошо пропускающий влагу (к примеру, щебень). Чтобы облегчить монтажные работы, можно укладывать в единую траншею трубы ливневой канализации и системы дренажа. Верхний край труб при этом всегда должен находиться несколько ниже, чем подошва фундамента.
Основание положения расчета фундаментов из большеразмерных плит и лент. Гибкие фундаменты.
Основание положения расчета фундаментов из большеразмерных плит и лент. Гибкие фундаменты.
Гибкие сооружения, передавая нагрузку на основание, следуя за осадкой, которая может быть различна в каждой точке. При такой деформации в них не возникает практические никакие усилия разрушения. Такие сооружения имеют статически определенную схему. Гибкие могут быть фундаменты у которых отношение h/l<1/3.
Такими фундаментами являются:
Ленточные под колонны промышленных и гражданских зданий
Сплошные ж/б плиты высотного здания, элеваторов, АС.
Фундаменты из перекрестных лент
Коробчатые фундаменты
Кольцевые фундаменты дымовых труб
Выбор конструкции гибких фундаментов производится с учетом конструктивной схемы здания, величины и характера распределения нагрузок в плане, несущей способности и деформативности основания.
Ленточные фундаменты под колонну устраиваются в виде одинарных или перекрестных лент. Плитные фундаменты устраиваются под всем зданием, выполняются из монолитного ж/б класса В15. при глинистом основании необходима песчаная или гравийно-песчаная подсыпка под бетонную подготовку.
Армирование производят в двух зонах, как в верхней так и в нижней. Каждая зона должна иметь арматуру рабочую в двух направлениях (А3).
Наибольшее распространение в практике проектирования гибких фундаментов получили следующие методы:
Теория местных деформаций (Теория Винкнера)
Теория упругого полупространства
Теория упругого слоя, ограниченной толщины, на несжимаемом основании
теория упругого слоя с переменным модулем деформации основания по глубине
Виды фундаментов глубокого заложения. Область применения опускных колодцев. Определение размеров опускного колодца в плане. Расчёты на всплытие, затирание, прогиб, перегиб. Кессоны. Область применения.
Виды фундаментов глубокого заложения. Область применения опускных колодцев. Определение размеров опускного колодца в плане. Расчеты на всплытие, затирание, прогиб, перегиб. Кессоны. Область применения.
В практике современного строительства используют фундаменты глубокого заложения, хотя по сравнению с фундаментами, возводимыми в открытых котлованах, и свайными область их применения несколько ограничена. В основном данный тип фундаментов применяют при возведении уникальных сооружений — с большими нагрузками на основание, а также при строительстве заглубленных помещений зданий, подземных гаражей, пешеходных переходов и туннелей, отстойников, водозаборных сооружений, мостовых опор и др.
В настоящее время применяют следующие типы фундаментов глубокого заложения: оболочки, опускные колодцы и кессоны, глубокие опоры (набивные столбы), фундаменты, возводимые методом «стена в грунте».
Опускной колодец представляет собой сборную или монолитную железобетонную конструкцию, которая может иметь прямоугольное или кольцевое очертание в плане. Тяжелые массивные опускные колодцы выполняют, как правило, в монолитном варианте, а облегченные — в виде сборных свай-оболочек.
Массивный опускной колодец погружается в грунт следующим образом. На поверхности основания возводят пустотелую нижнюю часть фундамента (рис. 1, в). Затем, используя землеройные механизмы, через вертикальную полость извлекают грунт. Под действием собственного веса колодец погружается (рис. 1, г). По мере опускания колодец можно наращивать, получая фундамент требуемой глубины. По достижении проектной отметки нижнюю часть колодца заполняют бетонной смесью, увеличивая площадь подошвы фундамента. При возведении канализационных насосных станций известны случаи погружения опускных колодцев диаметром до 70 м на глубину более 70 м.
Способ возведения фундаментов с помощью кессона основывается на отжатии подземных вод из зоны разработки грунта с помощью избыточного давления, создаваемого сжатым воздухом.
Кессон представляет собой жесткую коробчатую конструкцию, имеющую потолок и боковые стенки консоли, располагаемые в нижней части фундамента. В рабочую камеру подается сжатый воздух по трубам, давление которого назначается таким, чтобы уравновесить давление столба воды высотой Н и обеспечить ее отсутствие в рабочей камере. Для сообщения с рабочей камерой, которое необходимо в основном для прохода людей, подачи материалов и оборудования, на шахтной трубе устанавливают шлюзовой аппарат. Разработку грунта часто осуществляют гидромонитором, а его удаление — с помощью эрлифта.
По мере разработки грунта в рабочей камере кессон под действием собственного веса и надкессонной кладки погружается в грунт. Надкессонную кладку наращивают по мере погружения кессона. По достижении кессона проектной отметки рабочую камеру заполняют кладкой или бетонной смесью, шахтные трубы и шлюзовые аппараты снимают, а шахтные колодцы также заполняют кладкой или бетонной смесью.
Кессоны выполняют из монолитного или сборного железобетона и рассчитывают на нагрузки, действующие на опускные колодцы совместно с дополнительными: от веса кладки и избыточного давления на стенки рабочей камеры.
Рис. 11.1. Опускные колодцы: а – массивный опускной колодец, разделенный на ячейке; б — легкий опускной колодец из цилиндрической сваи-оболочки; в — установка колодца на поверхности грунта; г — разработка грунта грейфером и заполнение нижней части бетонной смесью
Расчет оснований фундаментов глубокого заложения по предельным состояниям.
Расчет оснований фундаментов глубокого заложения по предельным состояниям.
Проектирование конструкций сооружения и их оснований осуществляется по предельным состояниям, которые подразделяются на две группы. Первая группа – по несущей способности – потеря устойчивости или формы, возможные виды разрушений, ползучесть или текучесть материала, чрезмерное раскрытие трещин и др. Вторая группа – по непригодности к нормальной эксплуатации.
Предельные состояния оснований существенно отличаются от предельных состояний строительных конструкций, в том числе и самого фундамента, т.к. у них различные условия работы, а именно: материалы в строительных конструкциях и грунтов в основаниях; физико-механические свойства; критерии оценки прочности и деформативности оснований и возводимых на них фундаментов и надземных конструкций.
Предельными состояниями основания считается такие, в результате которых возникают предел. состояния самого сооружения.
Основной целью расчёта по предельным сост. является: ограничение усилий (I-я группа предел. сост.) F ≤ Fu и деформаций (II-е пред.сост.) S ≤ Su , чтобы они не наступили, т.е. была бы обеспечена в дальнейшем возможность эксплуатации зданий и сооружений.
По I- пред. сост. оценивается:
- надёжность конструкций , из условия недопущения потери общей устойчивости основания.
F – усилие от сооружения
Fu – несущая способность основания
Если оцениваем по вертикальной составляющей несущей способности N ≤ Nu ,
несоблюдение этого условия не гарантирует, что может быть допущена дальнейшая эксплуатация здания или сооружения.
По первому пред. сост. расчёт ведут в случаях:
– основание – скальный грунт
– если на основание передаются значительные горизонтальные нагрузки, в том числе и сейсмические
– сооружение расположено на откосе или в близи его
– сооружение расположено на медленно уплотняющихся водонасыщеных
грунтах
– при анкерных фундаментах
В остальных случаях оценка по II-му пред.сост., ограничивает нагрузки и они значительно меньше чем мы получили бы от использования условий по I-му предельному сост.
По II-му предельному состоянию оценивается:
Выполнение основного условия S ≤ Su, где
S – совместная деформация основания и сооружения, в том числе осадка или относительная разность осадок
Su – предельно допустимая деформация или предельная относительная деформация
Условие S ≤ Su – основное для II-го пред. сост., а значения S и Su имеют обобщённое значение, т.е. средняя или max осадка, горизонтальные перемещения, относительная разность осадок , крен и т.п.
Величина Su – предельное значение полученное в результате строительного опыта, наблюдений и т. п. – берётся из норм, для принципиально новых зданий и сооружений назначается проектировщиками.
Проверка по II-му предельному состоянию и оценка согласно его критериев обязательны, кроме:
- под S подразумевается конечная стабилизирующаяся со временем деформация, однако расчёт по деформациям можно не делать , если давление под подошвой не превышает расчётного сопротивления (P≤ R0), а сжимаемость грунтов в пределах здания , сооружения изменяется в ограниченных пределах.
- если инженерно-геологические условия площадки соответствуют области применения типового проекта.
Сваи. Классификация свай: материалы, конструкций, способ изготовления, область применения. Методы устройства свай: забивка, вибропогружение, вдавливание, завинчивание. Оборудование для погружения свай.
Сваи. Классификация свай: материалы, конструкций, способ изготовления, область применения. Методы устройства свай: забивка, вибропогружение, вдавливание, завинчивание. Оборудование для погружения свай.
Свайный фундамент. Общие понятия, классификация и конструкция свай.
Свайный фундамент состоит из свай и ростверка.
Назначение свай – воспринимать давление сооружения и передавать их на более плотные грунты основания. В общем случае свая – это стержень, находящийся в грунте в вертикальном или наклонном положении. Служат для передачи нагрузки на основание за счет нижнего конца и боковой поверхности.
Достоинства:
-высокая несущая способность
- индустриальность
- сокращение земляных и водопогружательных работ
- снижение осадок и неравномерностей
- повышение устойчивости при действии наклонных и горизонтальных нагрузок
Классификация свай:
1. в зависимости от характера работы сваи в грунте:
- сваи-стойки. Конец сваи опирается на несжимаемое основание (скальное, плотные пески, пылевато-глинистые грунты твердой консистенции, JL<0 – показатель текучести)
-
висячие сваи
2. по расположению ростверка по отношению к земной поверхности.
- с низким ростверком
- с высоким ростверком
3. по расположению свай относительно вертикали
- вертикальные
- наклонные
- козловые
4. по способу погружения и возведения
- забивные
- набивные (выполняются на строительной площадке в скважинах)
- винтовые
5 по форме поперечного сечения
- с полостью
- трубчатые
6 в зависимости от профиля продольного сечения
а. постоянного круглого или призматического
б. переменного поперечного сечения по высоте
в. с уширение ствола
- на нижнем конце
- по середине сваи
- в верхнем конце сваи
7. по материалу сваи
- ж/б
- деревянные
- металлические
- комбинированные
- грунтовые (как искусственное основание)
Часто трамбованные и сваи страусы и сваи франки – набивные сваи. Фирма «Беното» длиной до 150 м, диаметром до 1,5 м, «Като» диаметром до 1 м. С помощью бурения или продавливания.
Буронабивные сваи, технология производства работы, применяемое оборудование.
Буронабивные сваи, технология производства работы, применяемое оборудование.
Буровые сваи используются при больших сосредоточенных вертикальных и горизонтальных нагрузках, на строительных площадках со сложными геологическими и инженерными условиями. Очень важным плюсом буровых свай является их малошумность. Основные преимущества буронабивных свай: не нужно доставлять и хранить большое количество свай, заводского изготовления, безопасно для близлежащих построек, высокая несущая способность буровых свай, не надо вывозить грунт со стройплощадки, высокая производительность.
Бурение скважин ведется с применением инвентарных обсадных труб длиной от 1 до 3 метров, либо без обсадных труб с использованием проходного шнека. В нижнем фланце первой секции обсадной трубы установлен режущий наконечник. В процессе бурения совершаются непрерывные возвратно-вращательные движения обсадной трубы. Типа грунта определяет вид бурового инструмента для устройства буронабивных свай (буровых). По окончании бурения скважины устанавливается арматурный каркас, затем производится заполнение скважины бетоном при помощи инвентарных бетонолитных труб, извлекаются обсадные трубы.
Буронабивные сваи с применением обсадных труб.
После бурения скважины в нее помещается свайный каркас в виде трубы. Обсадная труба позволяет: перекрывать горизонты плывунных грунтов; обеспечивает безопасность ведения свайных работ; позволяет контролировать параметры буровой скважины; обеспечивает высокое качество заполнения скважины бетоном.
Данная технология позволяет изготавливать сваи с уширением до 1200 мм, что дает возможность использовать несущую способность опорной толщи грунтов основания и увеличивает эффективность применения свай.
Буронабивные сваи , устраиваемые по технологии проходных шнеков.
Конструкции проходных шнеков оснащены породоразрушающим инструментом с теряемым башмаком. Технология постановки свай бурением с использованием проходных шнеков обеспечивает сооружение свай без ударов и вибраций, что особенно важно при изготовлении свай вблизи существующих зданий и сооружений. При погружении шнек уплотняет стенки скважины, а выход выбуренного грунта не превышает 30-40% от объема скважины. Достоинством этой технологии является отсутствие «мокрого» процесса — глинистый раствор не нужен. Сваи заполняются литым бетоном через трубу шнековой колонны при помощи бетононасоса. Армирование осуществляют как через трубу в шнековой колонне, так и погружением армокаркаса в бетон заполненной скважины с помощью вибратора. Глубина погружения каркаса задается проектом. С целью исключения возможной деформации фундаментов рядом стоящих зданий и сооружений, сваи устраивают «в разбежку» (не менее 8-10 метров друг от друга) с возвращением к прежнему месту работ (около существующих домов) через 2-3 суток.
Возведение фундамента из буронабивных свай начинается с тщательного исследования инженерно-геологических характеристик объекта. Достаточно часто на этом этапе также проводится исследования состояния фундамента окружающих зданий, поскольку даже при таком щадящем методе, как возведение буронабивных свай, невозможно полностью исключить деформацию и проседание грунтов основания.
На втором этапе работ изготавливаются опытные образцы буронабивных свай , проводятся испытания несущей способности, что позволяет еще на этапе подготовительных работ с высокой точностью принять допустимую расчетную нагрузку на сваю, а также определить требуемые конструктивные параметры: диаметр, длину, армирование. Данный этап очень важен для ведения всех последующих работ. Именно в этот период можно убедиться в правильности выбранных материалов, типа фундамента и типа армирования. В результате второго этапа работ создаются окончательные чертежи свайного поля и изготавливаются рабочие образцы.
На третьем этапе происходит непосредственное возведение буронабивных свай согласно установленным чертежам.
На четвертом этапе происходит сдача фундамента из буронабивных свай заказчику, завершение нулевого цикла строительства до состояния, пригодного для возведения наземной части здания. Все работы проводятся с постоянным мониторингом состояния фундаментов и грунтов основания окружающих зданий.
Схема взаимодействия свай с грунтом. Определение несущей способности свай при действии вертикальной и горизонтальной нагрузок.
Схема взаимодействия свай с грунтом. Определение несущей способности свай при действии вертикальной и горизонтальной нагрузок.
Первая группа предельных состояний характеризуется потерей несущей способности или полной непригодностью здания к эксплуатации.
Несущая
способность свай по грунту рассчитывается
на сочетания, при которых в них возникают
максимальные сжимающие нагрузки с
учетом дополнительных нагрузок сжатия
от искривления основания, наклона и
ветровой нагрузки. Расчет производится
по формуле
где Nз - расчетная вертикальная нагрузка от веса отсека здания, кН;
n - общее число свай;
DN - дополнительная вертикальная нагрузка на сваю от искривления основания, кН
Фподр.
- несущая способность свай по грунту
основания при подработке территории,
кН
,
где (гамма)сг - коэффициент условий работы, учитывающий изменение физико-механических свойств грунтов и перераспределение вертикальных нагрузок при подработке территорий: для свай-стоек в фундаментах любых зданий (гамма)сг = 1; для висячих свай в фундаментах податливых зданий (например, одноэтажных каркасных с шарнирными опорами) (гамма)сг = 0,9; для висячих свай в фундаментах жестких зданий (например, бескаркасных многоэтажных зданий с жесткими узлами) (гамма)сг = 1,1;
Fd - несущая способность сваи, кН, определенная расчетом или по результатам полевых исследований (динамических, статистических испытаний свай, зондирования грунта) в соответствии с требованиями СНиП 2.02.03-85;
(гамма)к - коэффициент надежности, принимается в соответствии с указаниями п. 3.10 СНиП 2.02.03-85.
Рис. 31-1. Схема взаимодействия упругой оси сваи, имеющей шарнирное сопряжение с ростверком, и грунта при действии горизонтальной нагрузки или перемещения:
а - деформация оси сваи (1) и эпюра обжатия грунта (2); б - эпюра давления грунта на сваю; в, г - эпюра поперечных сил и изгибающих моментов в свае; 3 - касательная к эпюрам давления в точке В.
Рис. 31-2. Схема взаимодействия упругой оси сваи с жесткой заделкой головы в ростверк с грунтом при действии горизонтальной нагрузки или перемещения:
а - деформация оси сваи (1) и эпюра обжатия грунта (2); б - эпюра давления грунта на сваю; в, г - эпюры поперечных сил и изгибающих моментов в свае; 3 - касательная к эпюрам давления в точке В.
Определение полной стабилизированной осадки свайного фундамента. Определение крена.
Определение полной стабилизированной осадки свайного фундамента. Определение крена.
ОПРЕДЕЛЕНИЕ КРЕНА ФУНДАМЕНТА
Крен
фундамента i при действии внецентренной
нагрузки определяется по формуле
где E и v - соответственно модуль деформации и коэффициент Пуассона грунта основания (значение v принимается по п.10); в случае неоднородного основания значения Е и v принимаются средними в пределах сжимаемой толщи в соответствии с указаниями п.11;
kе - коэффициент, принимаемый по (табл. 5 СНиП 2.02.01-83*);
N - вертикальная составляющая равнодействующей всех нагрузок на фундамент в уровне его подошвы;
Е - эксцентриситет;
а - диаметр круглого или сторона прямоугольного фундамента, в направлении которой действует момент; для фундамента с подошвой в форме правильного многоугольника площадью А принимается;
km - коэффициент, учитываемый при расчете крена фундаментов по схеме линейно деформируемого слоя (п. 2.40б) при а ³ 10 м и Е ³ 10 МПа (100 кгс/см2) и принимаемый по (табл.3 СНиП 2.02.01-83*)
Коэффициент Пуассона v принимается равным для грунтов: крупнообломочных – 0,27; песков и супесей – 0,30; суглинков – 0,35; глин – 0,42.
Средние
(в пределах сжимаемой толщи Нс или
толщины слоев Н) значения модуля
деформации и коэффициента Пуассона
грунтов основания (Ē и ) определяются
по формулам
и
где Аi - площадь эпюры вертикальных напряжений от единичного давления под подошвой фундамента в пределах i-го слоя грунта; для схемы полупространства допускается принимать Аi = szp,ihi , для схемы слоя – Ai = ki - ki-1;
Ei,vi,hi, - соответственно модуль деформации, коэффициент Пуассона и толщина i-го слоя грунта;
Н - расчетная толщина слоя, определяемая по п. 8;
n - число слоев, отличающихся значениями E и v в пределах сжимаемой толщи Hс или толщины слоя H.
Расчет осадки свайного фундамента как условного фундамента
Расчет осадки фундамента из висячих свай, производимый как для условного фундамента на естественном основании, следует выполнять в соответствии с требованиями СНиП 2.02.01.
Границы условного фундамента определяют следующим образом: снизу - плоскостью АБ, проходящей через нижние концы свай; с боков - вертикальными плоскостями АВ и БГ, отстоящими от наружных граней крайних рядов вертикальных свай, но не более 2d в случаях, когда под нижними концами свай залегают глинистые грунты с показателем текучести I_L > 0,6, а при наличии наклонных свай - проходящими через нижние концы этих свай; сверху - поверхностью планировки грунта ВГ.
Расчет осадки условного фундамента производят на дополнительное вертикальное давление, передаваемое на основание подошвой условного фундамента, т.е. за вычетом вертикального напряжения от собственного веса грунта на уровне этой подошвы, при этом в собственный вес условного фундамента включают вес свай, ростверка и грунта в объеме условного фундамента.
Если при строительстве предусматривают планировку территории подсыпкой (намывом) высотой более 2 м и другую постоянную (долговременную) загрузку территории,
"Рис. 1. Определение границ условного фундамента при расчете осадки свайных фундаментов" эквивалентную подсыпке, а в пределах глубины погружения свай залегают слои торфа или ила толщиной более 30 см, то значение осадки свайного фундамента из висячих свай следует определять с учетом уменьшения габаритов условного фундамента, который в этом случае как при вертикальных, так и при наклонных сваях принимают ограниченным с боков вертикальными плоскостями, отстоящими от наружных граней крайних рядов вертикальных свай.
Рис. 1. Определение границ фундамента при расчете осадки свайных фундаментов
Расчет свайного фундамента по предельным состояниям. Испытание свай.
Расчет свайного фундамента по предельным состояниям. Испытание свай.
Расчет свайных фундаментов и их оснований должен быть выполнен в соответствии с ГОСТ 27751 по предельным состояниям:
1) первой группы:
а) по прочности материала свай и свайных ростверков;
б) по несущей способности грунта основания свай;
в) по несущей способности грунта оснований свайных фундаментов;
2) второй группы:
а) по осадкам оснований свай и свайных фундаментов от вертикальных нагрузок;
б) по перемещениям свай совместно с грунтом оснований от действия горизонтальных нагрузок и моментов;
в) по образованию или чрезмерному раскрытию трещин в элементах железобетонных конструкций свайных фундаментов.
В расчетах оснований свайных фундаментов следует учитывать совместное действие силовых факторов и неблагоприятных влияний внешней среды.
Расчет свай, свайных фундаментов и их оснований по несущей способности необходимо выполнять на основные и особые сочетания нагрузок, по деформациям - на основные сочетания.
Нагрузки, воздействия, их сочетания и коэффициенты надежности по нагрузке при расчете свайных фундаментов мостов и гидротехнических сооружений следует принимать согласно требованиям СНиП 2.05.03 и СНиП 2.06.06.
Все расчеты свай, свайных фундаментов и их оснований следует выполнять с использованием расчетных значений характеристик материалов и грунтов.
Испытания свай в грунтовом основании
Испытания свай проводятся по ГОСТ 5686-94.
Испытания свай выполняются с целью получения данных, необходимых для обоснования предпостроечного выбоpа типа свайных фундаментов, их паpаметpов и способов устpойства, а также пpовеpки несущей способности свай при увеличении проектной нагрузки на сваю при реконструкции зданий, при наличии отступлений при производстве работ от принятой технологии устройства свай (для буронабивных свай).
Испытания свай необходимо в обязательном порядке проводить при возобновлении строительства зданий и сооружений после длительного перерыва.
Наиболее широко используемым методом являются испытания свай статической вдавливающей нагрузкой.
При наличии на сваях ростверка испытания свай вдавливающей нагрузкой производятся под ростверком, для чего сваи вырубаются из ростверка для установки домкрата, а упором домкрату служил ростверк. При отсутствии вышележащих конструкций (стен) ростверк пригружается упорной балкой или грузом.
При отсутствии ростверков испытания свай вдавливающей нагрузкой производятся при помощи грузовой платформы, упорных балок, системы анкерных свай и тарированных грузов.
Варианты схем установок для испытания свай статической вдавливающей нагрузкой:
Установка с гидравлическим домкратом, системой балок и анкерными сваями
Установка с грузовой платформой, служащей упором для гидравлического домкрата
Установка с тарированным грузом
Установка комбинированная
Проведение испытаний свай на начальном этапе строительства позволяет точно оценить несущую способность свай, в результате чего может быть принято решение по увеличению этажности строящегося здания либо своевременные меры по усилению его фундаментов до возникновения деформаций конструкций
Работа свай в составе фундамента и их размещение в ростверке. Конструкции высоких и низких ростверков. Расчет ростверков.
Работа свай в составе фундамента и их размещение в ростверке. Конструкции высоких и низких ростверков. Расчет ростверков.
Сваи применяют для передачи нагрузки от возводящихся зданий и сооружений нижележащим слоям грунта или для уплотнения грунта и увеличения его несущей способности как основания. По характеру работы сваи подразделяют на сваи-стойки, которые передают давление от зданий и сооружений на прочный грунт, расположенный под толщей слабого фунта, и висячие сваи, передающие нагрузку на окружающий грунт через трение о боковые стенки.
В плане сваи располагают полями — в несколько рядов или в шахматном порядке, кустами — группами из нескольких свай, рядами, сплошными шпунтовыми рядами. В грунт сваи забиваются вертикально и наклонно под некоторым углом. Верх свай срезают под один уровень и соединяют между собой ростверком, принимающим на себя нагрузку от зданий и сооружений, равномерно распределяя ее на сваи.
Размещение, тип, размер, глубина и способы погружения свай указываются в проектах.
Свайный фундамент с ростверком – строительная конструкция, которая объединяет сваи и служит для равномерной передачи нагрузки сооружения на них и на грунтовое основание.
Различают сборные, сборно-монолитные и монолитные ростверки.
Ростверки бывают высокие и низкие. Низкий ростверк обычно располагают ниже поверхности грунта и он передает часть вертикального давления на грунт основания, в то время как высокий ростверк эти нагрузки передает на сваи.
Устройство сборных железобетонных и монолитных ростверков представляют наиболее приемлемые варианты для дачного строительства.
а – металлическую; б – железобетонную
Ростверки являются составной частью свайных фундаментов, объединяют головы свай и служат для передачи нагрузки от надземной части здания через сван на основание.
После размещения свай в плане и определения габаритов ростверка уточняют вертикальную нагрузку на отдельную сваю в фундаменте по формуле
,
(1)
Расчетную горизонтальную нагрузку Р, mс, на сваю определяют из условии равномерного распределения нагрузки на все сваи фундамента. При этом плита ростверка по отношению к сваям принимается бесконечно жесткой.
Ростверки ленточные и под отдельные колонны рассчитывают в соответствии с требованиями СНиП II-В.1—62* по первому предельному состоянию на основное, дополнительное и особое сочетание расчетных нагрузок, а при необходимости — по раскрытию трещин на основное и дополнительное сочетание нормативных нагрузок.
Проверка ширины раскрытия нормальных трещин производится при применении арматуры из стали класса А-Ш для армирования подошвы ростверка. Расчет по раскрытию трещин следует производить согласно указаниям п. 10.4 СНиП II-В.1—62*. Ширина раскрытия нормальных трещин aТ должна быть не более 0,2 мм.
Расчет ростверков на сваях сплошного круглого сечения производят так же, как и на сваях квадратного сечения.
Сборные и монолитные железобетонные ростверки свайных фундаментов должны изготавливаться из бетона проектной марки не ниже соответственно 200 и 150.
Высоту железобетонного ленточного свайного ростверка определяют расчетом. Рекомендуемая минимальная высота ростверка — 30, ширина — 40 см.
Размеры подошвы ростверка под колонны, ступеней и подколонника в плане из условия унификации рекомендуется принимать кратными 300 мм. Высоту плитной части, ступеней и подколонника следует принимать кратной 150 мм.
Арматуру для армирования ростверков применяют стержневую горячекатаную периодического профиля из стали классов A-II, А-III и круглую класса A-I.
Плиты ростверка рекомендуется армировать в каждом направлении отдельными сварными сетками, у которых расстояние между рабочими стержнями равно 200 мм. Диаметр рабочей арматуры следует принимать из менее 10 мм при длине стержней до 3 м и не менее 12 мм при длине более 3 м. Арматурные сетки должны быть сварены во всех точках пересечения стержней. Допускается часть пересечений связывать проволокой при условии обязательной сварки всех точек пересечений я двух крайних рядах по периметру сеток. Для обеспечения анкеровки рабочей арматуры по концам сеток на расстоянии 25 мм от конца продольных стержней должны быть предусмотрены поперечные стержни вдвое меньшего диаметра, чем продольные.
В случае заделки верхних концов свай в ростверк на глубину 50 мм арматурные сетки укладывают сверху на головы свай. При заделке свай в ростверк на глубину более 50 мм стержни, попадающие на сваи, вырезают, а сетки укладывают с защитным слоем бетона 50 мм.
Стенки стакана ростверка под сборные железобетонные колонны армируют продольной и поперечной арматурой. Поперечное армирование стенок стакана следует выполнять в виде сварных сеток с расположением стержней у наружных и внутренних поверхностей стенок. Диаметр арматурных стержней принимается по расчету, но не менее 0,25 диаметра продольной арматуры стенок. Расстояние между сетками принимается не более 0,25 глубины заделки колони и не более 200 мм.
В верхней части стакана рекомендуется устанавливать 2—3 сетки с шагом 100 мм.
Диаметр продольной арматуры стенок стакана определяют расчетом.
Сетки, необходимые по расчету на смятие под торцами сборных железобетонных колонн, укладывают не менее 2 шт., а под опорными плитами базы стальных колонн — не менее 4 шт. с расстоянием по высоте 50—100 мм.
Железобетонные монолитные, а также стальные колонны соединяются с монолитными ростверками так же, как и с монолитными фундаментами на естественном основании.
Уплотнение и закрепление грунтовых оснований. Применение песчаных, грунтовых, песчано–гравийных подушек. Определение необходимости уплотнения, закрепления или замены грунта.
Уплотнение и закрепление грунтовых оснований. Применение песчаных, грунтовых, песчано–гравийных подушек. Определение необходимости уплотнения, закрепления или замены грунта.
Закрепление грунтов - искусственное преобразование свойств грунтов для целей строительства в условиях их естественного залегания. В результате чего, увеличивается несущая способность основания сооружения, повышается его прочность, водонепроницаемость, сопротивление размыву и др. Закрепление грунтов широко применяется при строительстве промышленных и гражданских зданий на просадочных грунтах, для укрепления откосов выемок дорог и стенок котлованов в водонасыщенных грунтах, в качестве противооползневых мероприятий, при проходке горных выработок, создании противофильтрационных завес в основании гидротехнических сооружений, для защиты бетонных сооружений (фундаментов) от воздействия агрессивных промышленных вод, для увеличения несущей способности свай и опор большого диаметра и т.д. Закрепление грунтов достигается нагнетанием в грунт вяжущих материалов и химических растворов, а также воздействием на грунт электрическим током, нагреванием и охлаждением.
Уплотнение грунтов, искусственное преобразование свойств грунтов в строительных целях без коренного изменения их физико-химического состояния; представляет собой процесс взаимного перемещения частиц грунта, в результате которого увеличивается число контактов между ними в единице объёма вследствие их перераспределения и проникновения мелких частиц в промежутки между крупными под действием прилагаемых к грунту механических усилий. Уплотнение грунтов производится главным образом для обеспечения их заданной плотности и, следовательно, уменьшения величины и неравномерности последующей осадки оснований и земляных сооружений.
Подушка под фундамент
Подушка под фундамент – это некая насыпка, подготовленная основа для непосредственного возведения фундамента. Основанием под бетонный ленточный фундамент может служить как подушка из смеси песка и щебня, так и заливная бетонная подушка. Укладывание подушки из смеси крупного песка и щебня – процесс довольно простой, хоть и занимает достаточное количество времени. Смесь укладывается в подготовленную под фундамент траншею точно до отметки низа фундамента. Как правило, толщина подушки составляет 20-30 см, из которых порядка 15 см составляет песок, все остальное – щебень. Материалы лучше засыпать небольшими слоями и тщательно утрамбовывать после засыпания каждого слоя.
Подушка под фундамент - это основа вашей постройки . Укладывать подушку под фундамент можно только сделав необходимые расчеты.
Расчеты, необходимые при устройстве искусственного основания с помощью грунта. Средства уплотнения. Контроль качества уплотнения.
Расчеты, необходимые при устройстве искусственного основания с помощью грунта. Средства уплотнения. Контроль качества уплотнения.
Основным работам по уплотнению грунтов и устройству грунтовых подушек должно предшествовать опытное уплотнение, в ходе которого должны быть установлены технологические параметры и контрольные величины показателей качества.
Поверхностное уплотнение грунтов трамбованием следует выполнять с соблюдением следующих требований:
- при различной глубине заложения фундаментов уплотнение грунта следует производить, начиная с более высоких отметок;
- по окончании поверхностного уплотнения верхний недоуплотненный слой грунта необходимо доуплотнить по указанию проекта;
- уплотнение грунта трамбованием в зимнее время допускается при немерзлом состоянии и естественной влажности (необходимая глубина уплотнения при влажности грунта ниже оптимальной достигается увеличением веса, диаметра или высоты сбрасывания трамбовки);
- контрольное определение отказа производится двумя ударами трамбовки при сбрасывании ее с высоты, принятой при производстве работ, но не менее 6 м (уплотнение признается удовлетворительным, если понижение уплотняемой поверхности под действием двух ударов не превышает величины, установленной при опытном уплотнении).
Искусственные основания:
Механическое уплотнение
Песчаные подушки
Свайные основания и ростверки
Расчет свай-стоек
Расчет свайных оснований методом одиночных свай.
Искусственные основания устраиваются при слабых грунтах и больших нагрузках на подошву фундамента. В гражданском строительстве при слабых грунтах и небольших нагрузках обычно ограничиваются уплотнением грунта на глубину 1,5–2,0 м или устройством песчаной подушки, размеры которой определяются расчетом. При больших нагрузках на подошву фундамента применяются свайные основания, опускные колодцы, цементация и силикатизация грунтов основания.
Если залегающие непосредственно под подошвой фундамента грунты слабые, рыхлые, с малым расчетным сопротивлением и не могут служить естественным основанием под фундамент, в качестве основания применяются песчаные подушки. В этом случае слабые грунты под подошвой удаляют на глубину, определяемую расчетом, а образовавшийся котлован заполняют крупно- или среднезернистым песком или гравелистым грунтом, обладающими малой сжимаемостью и допускающими давление в 2—2,5 кг/см2.
Давление в грунтах основания быстро уменьшается по мере удаления от подошвы, достигая в ленточных фундаментах 55 % от среднего давления под подошвой на глубине, равной ширине фундамента, и 30 % на глубине, равной двойной ширине подошвы. В прямоугольных в плане фундаментах падение давления происходит еще интенсивнее.
В связи с указанными свойствами грунтов, поперечное сечение песчаных подушек может быть принято по кривой изобар. Размеры подушек должны быть такими, чтобы давления, возникающие по кривой (рис. 1), были равны или меньше расчетного сопротивления на слабый грунт. Свойство уменьшения давления в грунтах по мере удаления от источника сжатия используется также при определении ширины подошвы фундамента в тех случаях, когда подстилающий слой слабее рабочего. На практике для упрощения формы очертание подушки в разрезе принимается не по кривой равных давлений, а по объемляющей ломаной, как показано на рис. 1 справа.
Отсыпка песчаной подушки производится слоями толщиной 15—20 см с тщательным уплотнением площадочными вибраторами. Ширина подушки понизу обычно принимается равной ширине подошвы фундамента с небольшим уширением (на 20—25 см) вверху подушки, учитывая, что изобары давлений, соответствующие 50–55 % от средних давлений под подошвой, обычно не выходят за пределы ширины подошвы фундаментов.
Расчет песчаных подушек сводится к следующему.
1.
Определяют ширину подошвы фундамента
b из условия прочности песчаной подушки
по формуле:
2.
Находят величину a — отношение расчетного
сопротивления слабого грунта к среднему
давлению под подошвой:
3. Зная величину a, находим по табл. отношение h/b, обозначенное через m.
По
найденным величинам b и m определяют
высоту подушки h по формуле:
Рис.1
Устройство оснований с помощью втрамбованных подушек. Вытрамбованные котлованы.
Устройство оснований с помощью втрамбованных подушек. Вытрамбованные котлованы.
При устройстве грунтовых подушек - планы и разрезы котлованов, физико-механические характеристики отсыпаемого грунта, указания по толщине отсыпаемых слоев, рекомендуемым машинам для уплотнения грунта и режимам работы, а также плотность сухого грунта в подушках;
При вытрамбовывании котлованов - план котлована под здание или сооружение с отметками, с которых следует производить вытрамбовывание котлованов под фундаменты, размеры в плане и глубину отдельно вытрамбованных котлованов, конструкцию фундаментов с предельными нагрузками на основание, размеры, форму, массу и высоту сбрасывания трамбовки и ориентировочное число ударов при вытрамбовывании котлованов на заданную глубину; допустимый диапазон изменения влажности грунтов, минимально допустимые расстояния между вытрамбованными котлованами, размеры уширений в их основании, а также объем и вид жесткого грунтового материала (щебень, гравий, песчано-гравийная смесь и т.д.), втрамбовываемого в дно котлована, число порций и объем одной порции;
Отсыпка грунта на промороженный слой допускается как исключение при толщине мерзлого слоя не более 0,4 м, когда влажность отсыпаемого грунта не превышает 0,9 влажности на границе раскатывания; в противном случае промороженный грунт должен быть удален.
Вытрамбовывание котлованов под фундаменты следует выполнять с соблюдением следующих требований:
а) вытрамбовывание котлована под отдельно стоящие фундаменты надлежит выполнять сразу на всю глубину котлована без изменения положения направляющей штанги трамбующего механизма;
б) доувлажнение грунта в необходимых случаях следует производить от отметки дна котлована на глубину не менее полуторной ширины котлована;
в) втрамбовывание в дно котлована жесткого материала для создания уширенного основания следует производить сразу же после вытрамбовывания котлована;
г) фундаменты, как правило, устраиваются сразу же после приемки вытрамбованных котлованов. Максимальный перерыв между вытрамбовыванием и бетонированием - одни сутки. При этом толщина дефектного (промороженного, размокшего и т.п.) слоя на стенах и дне котлована не должна превышать 3 см;
д) бетонирование фундамента следует производить враспор;
е) вытрамбовывание котлованов в зимнее время следует производить при талом состоянии грунта. Промерзание грунта с поверхности допускается на глубину не более 20 см.
ж) при массе трамбовок 3 т и выше запрещается вытрамбовывать котлованы на расстояниях менее: 10 м - от эксплуатируемых зданий и сооружений, не имеющих деформаций, и 15 м - от зданий и сооружений, имеющих трещины в стенах, а также от инженерных коммуникаций, выполненных из чугунных, железобетонных, керамических, асбестоцементных и пластмассовых труб. При массе трамбовок менее 3 т указанные расстояния могут быть уменьшены в 1,5 раза.
Устройство искусственных оснований с помощью энергии взрыва. Гидровзрывной способ уплотнения грунтов.
Устройство искусственных оснований с помощью энергии взрыва. Гидровзрывной способ уплотнения грунтов.
При уплотнении предварительным замачиванием и замачиванием с глубинными взрывами - план разбивки уплотняемой площадки на отдельные участки (карты) с указанием их глубины и очередности замачивания, расположение и конструкции поверхностных и глубинных марок, схему сети водовода, данные по среднесуточному расходу воды на 1 кв.м уплотняемой площадки и времени замачивания каждого котлована или участка (карты), величину условной стабилизации просадки, а в случае замачивания через скважины, дополнительно - план расположения скважин с указанием их глубины, диаметра, способа проходки и вида дренирующего материала для засыпки, способы уплотнения верхнего недоуплотненного (буферного) слоя грунта. При уплотнении просадочных грунтов замачиванием и глубинными взрывами дополнительно должна быть приведена технология взрывных работ с указанием противосейсмических мероприятий и техники безопасности производства взрывных работ;
Уплотнение просадочных грунтов замачиванием и энергией взрыва следует выполнять с соблюдением требований:
а) замачивание необходимо выполнять через дно котлована, дренажные, взрывные или совмещенные скважины, заполненные дренирующим материалом, и продолжать до промачивания всей просадочной толщи до проектной влажности;
б) по окончании замачивания и после производства взрывных работ следует проводить наблюдения за осадкой поверхностных и глубинных марок. Нивелирование после взрыва зарядов ВВ надлежит производить в течение последующих 15-20 сут.;
в) глубину котлована или распределительных траншей, отрываемых за счет срезки грунта, следует назначать из условия сохранения слоя воды при замачивании 0,3-0,5 м.
В зимнее время уровень воды в котловане и траншеях следует поддерживать на одной отметке;
г) в необходимых случаях, когда уплотнение грунта производится на больших площадях, допускается предусматривать устройство песчано-гравийных подушек, позволяющих ускорить начало строительно-монтажных работ на уплотненном участке;
д) разрыв между окончанием замачивания и взрывами зарядов ВВ, в зависимости от размеров площадки, должен составлять не более 3-8 ч.
После предварительного замачивания оснований и замачивания с глубинными взрывами зарядов ВВ следует производить уплотнение верхнего слоя грунта.
Закрепление грунтов инъекциями цементных, силикатных, силикатно–глинистых растворов, синтетических смол и других веществ. Основные свойства закрепленных грунтов.
Закрепление грунтов инъекциями цементных, силикатных, силикатно–глинистых растворов, синтетических смол и других веществ. Основные свойства закрепленных грунтов.
В зависимости от технологии закрепления и процессов, происходящих в основании способы закрепления можно разделить на три основные группы: физико-химические, химические и термические.
К физико-химическим способам закрепления грунтов, используемых при повышении прочности оснований, можно отнести: цементацию, упрочнение грунта негашеной известью и другие методы.
Цементация грунта заключается в том, что частицы грунта скрепляются цементным раствором, который нагнетается через инъектор или скважину в поры грунта. Таким образом, пористый грунт может быть превращен в сплошной монолит или отдельные столбы из цементированных грунтов.
Цементацию применяют для закрепления трещиноватых скальных пород, гравелистых и песчаных грунтов с коэффициентом фильтрации 50—200 м/сут.
Для нагнетания в грунт используют цементные растворы. При наличии крупных пустот применяют цементно-песчаные растворы.
Для приготовления инъекционных растворов должен применяться обыкновенный портландцемент, обеспечивающий наибольшую плотность цементного камня. Растворы приготовляют в растворосмесителях РМ-500, РМ-750, МГ2-4Х, СМ-243Б.
При больших глубинах закрепления оснований инъекционные скважины бурят станками ударно-канатного, ударно-вращательного, колонкового и ударно-поворотного бурения. Способ бурения выбирается в зависимости от категории грунтов.
Наиболее распространенными способами химического закрепления оснований являются: силикатизация, электросиликатизация, газовая силикатизация, смолизация.
Силикатизация является одним из наиболее эффективных способов химического закрепления грунтов. Она позволяет в короткие сроки, надежно и с меньшими трудовыми затратами приостановить развитие недопустимых осадок основания.
Основным материалом для силикатизации является жидкое стекло, т. е. коллоидный раствор силиката натрия (Na20„Si02+mH20). Жидкое стекло характеризуется следующими данными: плотность 1,33—1,35 г/см3, вязкость при 20°С 40—50 мПа-с, с водой смешивается быстро и в любых соотношениях. В результате разбавления вязкость жидкого стекла сильно снижается, а проницаемость — возрастает.
В зависимости от физико-механического состояния грунтов применяется одно-и двухрастворная силикатизация грунтов.
Термическое и электрохимическое закрепление грунтов. Основные свойства закрепленных грунтов.
Термическое и электрохимическое закрепление грунтов. Основные свойства закрепленных грунтов.
В слабо фильтрующих, слабых грунтах при kf= 0,1 м/сут используют электрохимическое закрепление грунтов. Этот метод основывается на использовании электроосмоса для принудительного введения в грунты растворов силиката натрия и хлористого кальция, для чего через грунты с £/=0,005…0,1 (пески пылеватые, супеси и легкие суглинки) пропускается электрический ток, вызывающий движение воды от анода к катоду. В качестве анода используют перфорированную трубу, в полость которой последовательно вводят химические укрепляющие вещества, а через катод откачивают воду. Под действием электрического тока увеличивается скорость проникновения закрепляющих растворов, скорость протекания физико-химических реакций по образованию нерастворимых соединений и необратимых коллоидов, а также уменьшается влажность около анодов. Эти факторы способствуют омо-ноличиванию грунта и улучшению строительных характеристик на Длительный период времени, т. е. приводят к его закреплению.
При коэффициентах фильтрации Лу<0,01 м/сут иногда для улучшения закрепления применяют электролиты, способствующие внедрению в грунт их ионов (в качестве электролита используют раствор хлористого кальция). Однако в некоторых случаях даже при меньших значениях коэффициента фильтрации к/< 0,005 м/сут можно не применять электролиты, если в грунтах, например в илах, содержатся соли, вступающие в реакцию.
Расчёт свайных фундаментов из забивных железобетонных свай на сейсмические воздействия.
Расчет свайных фундаментов из забивных железобетонных свай на сейсмические воздействия.
Свайные фундаменты состоят из железобетонных свай и железобетонных ростверков. Их устраивают в виде:
- лент под стены зданий с расположением свай в один, два и более рядов;
- «кустов» под колонны;
- одиночных свай и свай-колонн, у которых выступающая над поверхностью грунта часть заменяет колонну.
В монолитном строительстве применяют забивные (заводского изготовления) и набивные (построечного изготовления) сваи.
Забивные сваи изготавливают прямоугольного, круглого и кольцевого сечений с напрягаемой и ненапрягаемой арматурой.
При проектировании свайных фундаментов в сейсмических районах кроме требований настоящих норм следует соблюдать также требования СНиП 11-7-81 *; при этом в дополнение к материалам инженерных изысканий для проектирования свайных фундаментов должны быть использованы данные сейсмического микрорайонирования площадки строительства.
Свайные фундаменты зданий и сооружений с учетом сейсмических воздействий должны рассчитываться на особое сочетание нагрузок по предельным состояниям первой группы. При этом необходимо предусматривать:
а) определение несущей способности сваи на сжимающую и выдергивающую нагрузки в соответствии с требованиями;
б) проверку устойчивости грунта по условию ограничения давления, передаваемого на грунт боковыми поверхностями свай, в соответствии с требованиями;
в) расчет свай по прочности материала на совместное действие расчетных усилий.
Категории грунтов по сейсмическим свойствам. Основы сейсмического районирования.
Категории грунтов по сейсмическим свойствам. Основы сейсмического районирования.
Определение сейсмичности площадки строительства следует производить на основании сейсмического микрорайонирования.
В районах, для которых отсутствуют карты сейсмического микрорайонирования, допускается определять сейсмичность площадки строительства согласно табл. 1СНиП II-7-81.
I группа
Скальные грунты всех видов (в том числе вечномерзлые и вечномерзлые оттаявшие) невыветрелые и слабо-выветрелые: крупнообломочные грунты плотные маловлажные из магматических пород, содержащие до 30% песчано-глинистого заполнителя: выветрелые и сильновыветрелые скальные и нескальные твердомерзлые (вечномерзлые) грунты при температуре минус 2°С и ниже при строительстве и эксплуатации по принципу I (сохранение грунтов основания в мерзлом состоянии).
II группа
Скальные грунты выветрелые и сильновыветрелые, в том числе вечномерзлые, кроме отнесенных к I категории; крупнообломочные грунты, за исключением отнесенных к I категории; пески гравелистые, крупные и средней крупности плотные и средней плотности маловлажные и влажные; пески мелкие и пылеватые плотные и средней плотности маловлажные; глинистые грунты с показателем консистенции IL 0,5 при коэффициенте пористости е < 0,9 для глин и суглинков и е < 0,7 — для супесей; вечномерзлые нескальные грунты пластичномерзлые или сыпучемерзлые, а также твердо-мерзлые при температуре выше минус 2°С при строительстве и эксплуатации по принципу I.
III группа
Пески рыхлые независимо от влажности и крупности: пески гравелистые, крупные и средней крупности плотные и средней плотности водонасыщенные; пески мелкие и пылеватые плотные и средней плотности влажные и водонасыщенные; глинистые грунты с показателем консистенции IL>0,5; глинистые грунты с показателем консистенции IL<0,5 при коэффициенте пористости е>0,9 для глин и суглинков и е>0,7-для супесей; вечномерзлые нескальные грунты при строительстве и эксплуатации по принципу II (допускается оттаивание грунтов основания)
Строительство на структурно – неустойчивых грунтах.
Строительство на структурно – неустойчивых грунтах.
При строительстве и эксплуатации городских зданий и сооружений на структурно-неустойчивых грунтах при определенных инженерно-геологических условиях зафиксированы многочисленные случаи образования резко выраженных неравномерных осадок, которые часто приводили к полному разрушению. К структурно-неустойчивым грунтам относятся лёссовые грунты, грунты, находящиеся в мерзлом и вечномерзлом состоянии, рыхлые пески, илы, чувствительные пылеватолинистые грунты, а также пылевато-глинис-тые набухающие грунты.
Развитие значительных неравномерных осадок в структурно-неустойчивых грунтах происходит из-за нарушения их природной структуры, которое возможно в результате механических и физических воздействий.
Механические воздействия обусловлены приложением внешней нагрузки от фундаментов, а также различными динамическими явлениями (вибрация, колебания и т. п.), происходящими в результате движения транспорта, технологических, производственных и других факторов. К механическим воздействиям наиболее чувствительны несвязные и слабосвязные грунты, а именно, слабые насыщенные водой пылевато-глинистые грунты, илы, заторфованные грунты, рыхлые пески и др.
Физические воздействия, при которых происходит нарушение структуры грунтов, обусловлены дополнительным увлажнением, которое может оказать неблагоприятное влияние на лёссовые и набухающие грунты; оттаиванием мерзлых и вечномерзлых грунтов, а также химической а механической суффозией и выветриванием. Данный тип воздействий приводит к увеличению деформативности вследствие разрушения структурных связей, вызывая дополнительные неравномерные осадки.
В структурно-неустойчивых грунтах при приложении внешней нагрузки разрушение структурных связей происходит быстрее, чем образование новых, в отличие от структурно-устойчивых грунтов, в которых одновременно с частичным нарушением структуры и уплотнения возникают новые связи, увеличивая тем самым их прочность. Поэтому в структурно-неустойчивых грунтах процесс разрушения структурных связей происходит лавинообразно и приводит к развитию просадки, не связанной с процессом постепенного уплотнения.
Возведение и эксплуатация сооружений на структурно-неустойчивых грунтах весьма затруднительны, поэтому при проектировании необходимо учитывать условия, при которых возможно нарушение их природной структуры и развитие просадки, и принимать меры, направленные на устранение таких неблагоприятных явлений.
Следует отметить, что основания, сложенные структурно-неустойчивыми грунтами при нагрузках, напряжения от которых не превышают структурной прочности, обладают в некоторых случаях удовлетворительными физико-механическими характеристиками, которые резко ухудшаются при нарушении структуры или превышения напряжениями структурной прочности.
Фундаменты на лессовых просадочных грунтах. Расчет просадочных деформаций. Фундаменты на лессовых просадочных грунтах. Расчет просадочных деформаций.
Просадкой грунтов называется быстро протекающая осадка, возникающая при коренном изменении структуры грунтов вследствие избыточного увлажнения. Просадочные грунты относятся к структурно-неустойчивым грунтам, которые меняют свои физико-механические свойства при внешних воздействиях. Свойством просадки обладают обычно лёссы и лёссовидные суглинки. Вследствие наличия крупных пор эти грунты иногда называют макропористыми.
Просадочные лёссовые грунты обладают следующими свойствами: они состоят в основном из пылеватых частиц, имеют большую пористость (около 50 %) и малую влажность. На образцах грунта видны крупные поры (макропоры диаметром 0,5... 5,0 мм и более). В грунте содержится значительное количество карбонатов. При замачивании они быстро размокают и теряют первоначальную структуру. Расчет оснований, сложенных лёссовыми грунтами, выполняют по деформациям, которые равны сумме осадки от внешней нагрузки и просадки при замачивании. Просадочные грунты характеризуются относительной просадочностью, начальным просадочным давлением и начальной просадочной влажностью.
Относительная просадочность — это относительная деформация грунта при его замачивании под нагрузкой. Она устанавливается при испытаниях грунтов при разных напряжениях, вызванных нагрузкой от фундамента и от собственного веса грунта.
В зависимости от условий проявления просадочности лёссовых грунтов различают два типа грунтовых условий:
• I тип грунтовых условий, при которых просадка происходит в основном от действия внешней нагрузки, а просадка от собственного веса либо не происходит, либо ее значение не превышает 5 см;
• II тип грунтовых условий, при которых просадка происходит от внешней нагрузки и собственного веса при значении просадки более 5 см.
Принципы строительства на просадочных грунтах. Устранение просадочных свойств грунтов.
Принципы строительства на просадочных грунтах. Устранение просадочных свойств грунтов.
Обеспечение прочности и нормальной эксплуатации зданий и сооружений на просадочных грунтах достигается применением соответствующих принципов и методов строительства, которые основываются на учете природы, механизма просадочности, закономерности развития просадочных деформаций.
При проектировании оснований, фундаментов и зданий на просадочных грунтах прежде всего учитывают возможность их замачивания и возникновения просадочных деформаций. Поэтому в тех случаях, когда исключается замачивание просадочных грунтов сверху или вследствие подъема уровня грунтовых вод и возможно лишь медленное повышение влажности до установившейся за счет застройки территории, основания и фундаменты проектируют как на обычных непросадочных грунтах. Подобные условия обычно имеют место при строительстве зданий и сооружений, необорудованных водопроводом и канализацией, у которых внешние сети и возможные источники замачивания расположены на расстояниях, больших полуторной величины просадочной толщи.
При возможности и неизбежности замачивания просадочных грунтов в основании прочность и нормальная эксплуатация зданий и сооружений достигаются применением одного из следующих принципов:
а) устранения просадочных свойств грунтов;
б) прорезки просадочных грунтов глубокими фундаментами;
в) комплекса мероприятий, включающего подготовку основания, водозащитные и конструктивные мероприятия.
Устранение просадочных свойств грунтов достигается применением различных методов уплотнения и закрепления и направлено на изменение природной структуры, повышение плотности, прочности, исключение просадочности грунтов и превращение их в обычные непросадочные грунты с более высокими значениями прочностных и деформационных характеристик. Основными методами уплотнения просадочных грунтов с I типом грунтовых условий по просадочности являются: поверхностное уплотнение тяжелыми трамбовками, вытрамбовывание котлованов, устройство грунтовых подушек, а на площадках со II типом: предварительное замачивание, в том числе с глубинными взрывами, глубинное уплотнение пробивкой скважин (грунтовыми сваями) и др. Закрепляют просадочные грунты однорастворной силикатизацией и обжигом.
Фундаменты на набухающих грунтах. Водозащитные мероприятия. Улучшение свойств оснований. Конструктивные мероприятия.
Фундаменты на набухающих грунтах. Водозащитные мероприятия. Улучшение свойств оснований. Конструктивные мероприятия.
Набухающими называют пылевато-глинистые грунты, которые при замачивании водой увеличиваются в объеме.
Следует иметь в виду, что способность набухать имеют некоторые виды шлаков, а также не набухающие в обычных условиях пылевато-глинистые грунты, если они замачиваются отходами химических производств, в частности растворами серной кислоты. В набухающих грунтах возможен и обратный процесс — усадка или уменьшение объема при снижении влажности.
Набухание и усадка грунтов на строительной площадке возможны в результате следующих явлений: 1) подъема уровня подземных вод или инфильтрации (увлажнения поверхностными или производственными водами); 2) накопления влаги в ограниченной по глубине зоне под сооружением в результате нарушения природных условий . испарения, возможного при застройке и асфальтировании городской территории (экранирование поверхности); 3) за счет изменения водно-теплового режима в верхней части зоны аэрации, происходящих в результате влияния сезонных климатических факторов; 4) за счет высыхания от воздействия тепловых источников (котельных, доменных печей, атомных, тепловых электростанций и др.).
Фундаменты на слабых пылевато-глинистых водонасыщенных и заторфованных грунтах. Конструктивные мероприятия.
Фундаменты на слабых пылевато-глинистых водонасыщенных и заторфованных грунтах. Конструктивные мероприятия.
Заторфованными грунтами называют грунты, содержащие органические вещества от 10 до 60% по весу, а также грунты с наичием торфянистых прослоек или слоев торфов, к которым относят все органо-минеральные грунты с содержанием органических веществ более 60%.
Эти грунты могут иметь весьма различные свойства в зависимости от степени минерализации заторфованных слоев, но, как правило, обладают весьма большой и неравномерной сжимаемостью.
Кроме того, осадки фундаментов на заторфованных грунтах протекают весьма медленно, при этом вследствие длительности процесса минерализации органических веществ и ползучести скелета органических масс полного затухания осадок почти не происходит.
Резкое ускорение процесса окисления и минерализации заторфованных слоев с одновременным увеличением скорости протекания неравномерных осадок может произойти при изменении гидрологического режима торфянистой залежи, особенно при аэрации грунтов, когда уровень грунтовых вод понизится настолько, что будет располагаться ниже подошвы заторфованных слоев.
Такое понижение уровня грунтовых вод может вызвать катастрофическое возрастание осадок фундаментов.
Особенности строительства на закарстованных территориях. Оценка характера и степени опасности каркаса. Противокарстовая защита. Устройство противокарстовых фундаментов. Расчет фундаментных конструкций.
Особенности строительства на закарстованных территориях. Оценка характера и степени опасности каркаса. Противокарстовая защита. Устройство противокарстовых фундаментов. Расчет фундаментных конструкций.
Согласно действующим нормативным документам к карстовым районам относятся территории, в геологическом разрезе которых присутствуют растворимые породы, и имеют место или возможны поверхностные и подземные проявления карста.
Выделяются следующие основные литологические типы карста: карбонатный; меловой; гипсовый; соляной.
Более существенное влияние на методику работ оказывают условия залегания карстующихся пород. По условиям залегания различают следующие типы карста:
- открытый или средиземноморский, когда карстующиеся породы лежат непосредственно на поверхности;
- покрытый, когда карстующиеся породы перекрыты либо водопроницаемыми, либо водонепроницаемыми нерастворимыми породами.
Благодаря неглубокому залеганию карстующихся пород облегчается производство геофизических работ, повышается их эффективность.
В районах покрытого карста, в которых карстующиеся породы перекрыты слоями нерастворимых водопроницаемых пород, возникают трудности обнаружения зон возможных карстовых провалов с помощью геофизических методов при значительной мощности перекрывающих четвертичных отложений (более 20 м). Однако задача обнаружения может облегчаться за счет вторичных изменений вышележащих пород.
В случае наличия перекрывающих рыхлых отложений (пески, супеси) в зоне развития карста возникают побочные суффозионные явления, мощность их нередко возрастает вследствие понижения кровли карстующихся пород. Кроме того, существенным поисковым критерием является уменьшение влагосодержания рыхлых пород непосредственно над карстовой зоной, что влечет за собой повышение УЭС этих пород. Последнее обстоятельство связано с интенсивной инфильтрацией поверхностных вод в карстовые полости.
Другим существенным поисковым критерием для геофизических методов является резкий перепад УГВ в зоне развития карста. В районах покрытого карста, в которых карстующиеся породы перекрыты слоями нерастворимых водонепроницаемых пород, последние препятствуют развитию карста и связанных с ним явлений.
Чем больше мощность перекрывающих отложений, тем труднее установить геофизическими методами зоны карстовых пустот, развитые на глубине. В этом случае необходимо проведение широкого комплекса геофизических методов, включающих электроразведку, сейсморазведку и различные методы каротажа (КС, ПС, резистивиметрия, ГК, ГГК и др.).
По отношению к уровню подземных вод карстующиеся породы залегают: в зоне аэрации, в зоне постоянного водонасыщения и в смешанной зоне.
В зоне аэрации карст в большинстве случаев представлен в виде полостей, незаполненных вмещающим материалом; в зоне же постоянного водонасыщения карстовые полости часто заполнены вторичным переотложенным материалом (глиной, суглинком, продуктами разрушения карстующихся пород, находящимися в водонасыщенном состоянии).
Геофизические методы исследования в карстовых районах решают следующие основные задачи:
литологическое расчленение пород;
поиски и оконтуривание карстовых полостей или зон их развития (поверхностных и погребенных), определение рельефа карстующихся пород;
изучение степени трещиноватости пород и преобладающего его направления;
исследование гидрогеологических особенностей карста.
Проектирование фундаментов на подрабатываемых территориях. Принципы проектирования и защитные конструктивные мероприятия.
Проектирование фундаментов на подрабатываемых территориях. Принципы проектирования и защитные конструктивные мероприятия.
Основания сооружений, возводимых на подрабатываемых территориях, должны проектироваться с учетом неравномерного оседания земной поверхности, сопровождаемого горизонтальными деформациями сдвигающегося грунта в результате производства горных работ и перемещения грунта в выработанное пространство.
Параметры деформаций земной поверхности, в том числе кривизна поверхности, ее наклоны и горизонтальные перемещения, а также вертикальные уступы должны определяться в соответствии с требованиями СНиП по проектированию зданий и сооружений на подрабатываемых территориях. Эти параметры, являющиеся основой для расчета оснований, фундаментов и надфундаментных конструкций сооружений, должны учитываться при назначении расчетных значений характеристик грунта.
Расчетные значения прочностных и деформационных характеристик грунта для определения усилий, действующих на фундаменты в результате деформаций земной поверхности, следует принимать равными нормативным, полагая в формуле (1) коэффициент надежности по грунту gg = 1.
Значение модуля деформации грунта в горизонтальном направлении Еh допускается принимать равным 0,5 для пылевато-глинистых грунтов и 0,65 - для песчаных грунтов от значения модуля деформации грунта в вертикальном направлении Е .
К основным мероприятиям, снижающим неблагоприятное воздействие деформаций земной поверхности на фундаменты и конструкции сооружений, относятся:
а) уменьшение поверхности фундаментов, имеющей контакт с грунтом;
б) заложение фундаментного пояса на одном уровне в пределах отсека сооружения;
в) устройство грунтовых подушек на основаниях, сложенных практически несжимаемыми грунтами;
г) размещение подвалов и технических подполий под всей площадью отсека сооружения;
д) засыпка грунтом пазух котлованов и выполнение грунтовых подушек из материалов, обладающих малым сцеплением и трением на контакте с поверхностью фундаментов;
е) отрывка перед подработкой временных компенсационных траншей по периметру сооружения.
Особенности строительства в условиях реконструкции стесненной застройки. Изменение расчетной схемы здания, увеличение нагрузок на фундаменты. Изменение свойств грунтов основания.
Особенности строительства в условиях реконструкции стесненной застройки. Изменение расчетной схемы здания, увеличение нагрузок на фундаменты. Изменение свойств грунтов основания.
Особенности строительства в условиях реконструкции и стесненной застройки заключаются в следующем.
До начала работ по усилению фундаментов необходимо проведение подготовительных мероприятий:
- согласование режима работы реконструируемого или аварийного сооружения на период усилительных работ;
- обеспечение максимального фронта усилительных работ при минимальном времени реконструкции сооружения;
- установка геодезических марок;
- установка настенных маяков на всех трещинах в несущих конструкциях;
- обеспечение доступа к фундаментам и при необходимости закладка шурфов.
Изменение свойств грунтов основания при длительном перерыве строительных работ.
Периодическое воздействие дождевых и талых вод на грунты основания повышает их влажность. При отсутствии дренажа, планировки территории и при малой водопроницаемости грунтов котлован может быть постоянно заполнен водой.
Длительное воздействие воды увеличивает влажность грунтов, снижая несущую способность основания. Особенно сказывается это воздействие на глинистых грунтах, консистенция которых может изменится от твердой до текучепластичной.
Толщина слоя грунта, в пределах которой происходит отрицательное воздействие воды, зависит от водопроницаемости грунта: чем она выше, тем больше толщина слоя, в котором от длительного увлажнения будут ухудшаться механические свойства грунта.
С другой стороны, степень ухудшения механических свойств грунта тем выше, чем меньше его водопроницаемость. Так, плотные глины твердой консистенции при длительном воздействии воды становятся текуче-пластиночными, но толщина слоя глины, в пределах которой изменяется консистенция, будет незначительной.
Грунты дна котлована, в котором не возведены фундаменты, изменяют свои свойства не только из-за переувлажнения дождевыми и талыми водами, но и из-за проявления упругих деформаций грунтов основания после разгрузки от природного давления, а также действия гидростатического давления подземных вод.
Отрицательное влияние на свойства грунтов основания оказывают периодические сезонные замораживания грунтов, особенно пучинистых. Длительное воздействие атмосферных вод в котловане является разрушительным при наличии в основании ленточных глин. Если котлован был отрыт не на полную проекторную глубину, то влияние длительного перерыва в работах на грунтах основания будет не таким значительным. Как при его полной готовности.
Проектирование оснований и фундаментов реконструируемых зданий. Реконструкция ремонт и усиление фундаментов.
Проектирование оснований и фундаментов реконструируемых зданий. Реконструкция ремонт и усиление фундаментов.
Работы по проектированию оснований и фундаментов реконструируемых зданий ведут в следующем порядке. На первом этапе анализируют материалы технического заключения по инженерно-геологическому обследованию здания, включающие в себя геологические и гидрогеологические условия площадки, данные о типе, материале и прочностных характеристиках фундаментов. При наличии в конструкциях здания разрушений, трещин или усилений в заключении указывают причины деформаций и способы их стабилизации. На втором этапе осуществляют общее освидетельствование конструкций здания и устанавливают его конструктивную схему. Далее определяют действующие и проектируемые нагрузки в соответствии с требованиями СНиП 2.01.07—85 "Нагрузки и воздействия" и выполняют расчет и конструирование усиления фундаментов, если в этом возникает необходимость.
Принципы расчета существующих и дополнительно возводимых фундаментов различны. Для существующих фундаментов после сбора нагрузок вычисляют напряжения в месте контакта стены с верхним обрезом фундамента, а также непосредственно под подошвой фундамента и проверяют прочность материала фундамента и стен на местное смятие; определяют прочность грунтов основания и не допускают превышения фактических давлений на грунты оснований над расчетными, вычисленными в соответствии со СНиП 2.02.01—83*. В зависимости от результатов проверки принимают решение о необходимости усиления материала фундаментов, изменения их вида и размеров, увеличения числа, укрепления грунтов основания. После принятия новых параметров фундаментов или выбора способа укрепления грунтов оснований проверяют расчет давлений, сравнивают ожидаемые и допустимые дополнительные осадки при увеличении нагрузок на фундаменты.
Основными причинами деформаций фундаментов и оснований, вызывающими необходимость их усиления и реконструкции, являются: 1) увеличение нагрузок на фундаменты; 2) надстройка существующих зданий и сооружений при реконструкции, капитальном ремонте и т.д.
При реконструкции эксплуатируемых зданий проектирование оснований фундаментов осуществляется с учетом уплотнения грунтов. Расчетное сопротивление грунтов основания эксплуатируемых зданий определяется по формуле R'=Rmk
Расчет дополнительных осадок фундаментов реконструируемых зданий производят на дополнительные нагрузки, вводя значение модуля деформации с учетом уплотнения грунтов в основании. При этом размер предельно допустимой осадки устанавливается по результатам инженерно-геологического и инженерно-конструкторского обследований.
Применяют следующие основные приемы усиления оснований и фундаментов и изменения условий работы грунтов; уширение подошвы; увеличение глубины ее заложения; пересадка фундамента на сваи; возвращение фундамента, смещенного в сторону, в проектное положение; закрепление кладки фундамента; взятие кладки в обойму; закрепление грунтов основания. Все эти приемы можно подразделить на три группы; 1) изменение условий передачи давления на грунт; 2) увеличение прочности кладки фундамента; 3) увеличение прочности и уменьшение деформативности грунтов в основании.
Возведение фундаментов вблизи существующих зданий. Определение предельно допустимых дополнительных деформаций. Деформации зданий при проведении рядом с ними строительных работ. Конструктивные решения при возведении фундаментов в близи существующих зданий.
Возведение фундаментов вблизи существующих зданий. Определение предельно допустимых дополнительных деформаций. Деформации зданий при проведении рядом с ними строительных работ. Конструктивные решения при возведении фундаментов в близи существующих зданий.
В последние годы особую актуальность приобретает проблема возведения фундаментов новых зданий вблизи существующих объектов, поскольку при этом возникают не только значительные технологические трудности, но и опасность повреждений расположенных в непосредственной близости ранее возведенных строений. Строительство зданий вблизи или вплотную к уже существующим является более сложной задачей, чем возведение отдельно стоящего здания. Опыт свидетельствует, что пренебрежение особыми условиями такого строительства может привести к появлению в стенах ранее построенных зданий трещин, к перекосам проемов и лестничных маршей, к сдвигу плит перекрытий и, в конечном итоге, к нарушению нормальных условий эксплуатации существующих зданий, а иногда даже к аварийным ситуациям.
Причины, обусловливающие проявление дополнительных деформаций существующих зданий при возведении около них фундаментов:
-выпор грунта в сторону разрабатываемого котлована;
-суффозия грунта из-под подошвы фундамента при открытом водоотливе;
-динамическое воздействие на грунт при забивке шпунта свай;
-разработка мерзлого грунта и промораживание талого грунта;
-отклонение шпунта под воздействием нового фундамента.
При разработке котлована для строительства нового здания рядом с существующим необходимо соблюдать следующие правила:
-не применять ударные и взрывные способы разработки грунта;
-максимально сокращать строительные работы в котловане.
Если строительство ведется рядом с существующим зданием вплотную и отметки заложения подошв их фундаментов совпадают, то не рекомендуется разрабатывать весь котлован до стенки существующего фундамента без специальных мероприятий. Строительство в этом случае осуществляют захватками. При этом соседняя захватка делается только после возведения фундамента на предыдущем участке.
Если глубина заложения подошвы фундамента нового здания больше, чем глубина существующего, то применяется шпунтовое ограждение, или «стена в грунте». Водопонижение в этих случаях следует проводить с осторожностью, так как оно может вызвать дополнительные осадки.
Для рядом строящихся зданий желательно использовать однотипные фундаменты.
Основная опасность для существующих зданий связана с развитием дополнительных осадок, вызванных передаваемым давлением на грунт основания новым зданием. При этом наибольшие повреждения возникают в пределах 2...7 м от границы примыкания старых зданий. Следовательно, если между смежными зданиями обеспечен достаточный разрыв, то опасность дополнительной осадки резко снижается.
Устройство буронабивных свай по технологическим особенностям вполне отвечает требованиям к возведению фундаментов вблизи зданий. Известно много типов буронабивных свай, отличающихся, в основном, конструкцией оборудования, применяемого для проходки скважин, изготовления ствола и уширения сваи. Опыт строительства зданий на таких сваях свидетельствует о снижении в несколько раз осадок домов по отношению к фундаментам на естественном основании. Это позволяет использовать буронабивные сваи на участках примыкания к существующим зданиям, обеспечивая тем самым уменьшение влияния загружения соседних площадей до безопасных величин.
В перспективе при выборе типа фундаментов вблизи существующих зданий преимущество будет отдаваться буронабивным сваям, позволяющим достигать высокого уровня механизации процесса, иметь высокую несущую способность, проходить толщу слабых грунтов, опираться на прочные грунты и создавать необходимые условия для сохранения несущих конструкций зданий, вблизи которых выполняется строительство новых зданий.
Особенности производства работ по возведению фундаментов. Крепление стен котлована. Расчет шпунтовой стенки.
Особенности производства работ по возведению фундаментов. Крепление стен котлована. Расчет шпунтовой стенки.
Возведение фундаментов на суше начинают с разметки на местности котлована. Затем производят крепление стен котлована, осушение его от подземной воды, разработку и удаление грунта, установку опалубки и бетонирование фундамента. После приобретения бетоном прочности, предусмотренной проектом, снимают опалубку, устраивают гидроизоляцию, удаляют крепление, засыпают грунтом пазухи между фундаментом и стенами котлована, планируют местность вокруг фундамента.
В зависимости от свойств грунтов, степени насыщения их водой и глубины заложения фундамента котлованы разрабатывают без крепления или с креплением их стен. При разработке грунта необходимо иметь в виду, что от воздействия грунторазрабатывающих механизмов, а также вследствие снятия естественной пригрузки в виде удаляемого слоя грунта происходит разуплотнение верхней зоны несущего пласта. На степень разуплотнения оказывают значительное влияние продолжительность выстойки отрытого до проектной отметки котлована от момента удаления грунта до начала бетонирования фундамента, изменение уровня подземных вод, замачивание грунта атмосферными осадками, промораживание основания в зимний период строительства и т. п.
С увеличением сроков выстойки отрытого котлована происходит набухание глинистых грунтов несущего пласта. В случае замачивания таких грунтов атмосферными осадками снижается их прочность, а при замерзании возможно пучение этих грунтов в результате подсоса влаги. Наличие избыточной влаги может вызвать недопустимые по условиям эксплуатации сооружения осадки и перекосы забетонированного в таком котловане фундамента.
Способы и конструкции крепления стен котлованов, обеспечивающих устойчивость бортов котлованов и фундаментов реконструируемого здания, в зависимости от их глубины и размеров, физико-механических характеристик грунтов, величины и характера нагрузки на бровке и принятых способов выполнения земляных и строительных работ, могут быть следующими: распорки и подкосы, контрофорсы, нагельное крепление, шпунтовые стенки, стенки с забиркой, "стена в грунте", анкера, стенки из буросоприкасающихся, буросекущихся и завинчивающихся свай, гравитационные подпорные стенки, замораживание.
Расчет шпунтовой стенки. Полная глубина заделки шпунтовой стенки t=t0+ Δt ; t определяется из условия реализации обратного отпора грунта Eр’
Δt= Eр’/2qto*( λp- λQ )
λp=tg2(45+φ/2); λQ= tg2(45-φ/2)
На практике чаще всего составляется только одно уравнение моментов, не содержащее Eр’, и определяется to, а полная заделка шпунтовой стенки в грунт принимается равной t=1.1t0
Анкерные шпунтовые стенки в зависимости от жесткости стенки различают расчетные схемы:
- свободно опертая стенка (схема Ю.К.Якоби)
- заделанная стенка (схема Блюма-Ломейера)
Рис. 14.7. Расчет заанкеренной стенки схеме Э.К.Якоби:
а – схема работы стенки; б – расчетная схема
Открытый водоотлив и искусственное понижение уровня грунтовых вод. Многоярусные установки. Искусственное замораживание водонасыщенных грунтов.
Открытый водоотлив и искусственное понижение уровня грунтовых вод. Многоярусные установки. Искусственное замораживание водонасыщенных грунтов.
Водопонижение на строительстве метрополитенов применяют при сооружении станций, тоннелей и подземных переходов, возводимых открытым способом, при проходке станционных и перегонных тоннелей закрытым способом, при строительстве стволов шахт, а также выполнении различных работ, сопутствующих сооружению тоннелей метрополитена.
Для водопонижения применяют: легкие иглофильтровые установки, эжекторные иглофильтры, установки вакуумного и забойного водопонижения, а также глубинные насосы, устанавливаемые в водопонижающие скважины,
По мере откачки воды депрессионная воронка увеличивается по площади распространения и в глубину. Если интенсивность откачки остается постоянной, то со временем наступает стабилизация - установившийся режим, при котором не происходит дальнейшего развития депрессионной воронки. С прекращением откачки уровень грунтовых вод восстанавливается. Целью водопонижения является развитие и поддержание депрессионной воронки в водоносных грунтах, т. е. их поддержание в осушенном состоянии в течение всего периода возведения сооружения. В ряде случаев водопонижение применяют для снятия избыточного напора в подстилающих водоносных грунтах, отделенных от дна котлована слоем водоупорного грунта.
Водопонижающие скважины бурят за пределами контура возводимых конструкций. Их расположение в плане зависит от размеров сооружения, а также от гидрогеологических характеристик грунтов и может быть: линейным, контурным, кольцевым, комбинированным.
Искусственное охлаждение грунтов в естеств. залегании до отрицательных температур с целью их стабилизации и достижения водонепроницаемости. Замораживание грунтов применяется для создания временной прочной водонепроницаемой перемычки, преграждающей доступ воде или плывунным грунтам в выработку, при производстве работ по стр-ву подземных сооружений в водоносных грунтах. Широко распространен этот способ при стр-ве шахт, туннелей, станций метрополитена, подземных камер, фундаментов, мостов, перемычек и др. сооружений. Все замораживающие колонки соединяются с общим коллектором прямым и обратным трубопроводами, в к-рых циркулирует раствор соли хлористого кальция, охлажденный на замораживающей станции. Рассол поступает через питательные трубки в замораживающую колонку и, достигнув дна колонки, давлением насоса поднимается вверх по кольцевому пространству между питательной и замораживающей трубками и омывает внутренние стенки замораживающих колонок. При этом рассол отнимает тепло у грунта, окружающего колонку, понижает его темп-ру и постепенно замораживает. Вокруг каждой колонки образуются цилиндры из замороженного грунта, к-рые, увеличиваясь в диаметре, с течением времени соединяются между собой, образуя сплошную льдогрунтовую перемычку. Время, необходимое для образования перемычки, зависит от количества, скорости движения и состава грунтовой воды, термофизич. свойств грунтов, расстояния между скважинами, темп-ры циркулирующего рассола и других факторов. Во время разработки грунта, после образования льдогрунтовой перемычки, процесс замораживания осуществляется непрерывно или с определенным режимом.
Для искусственного замораживания грунтов используются холодильные машины различной конструкции и производительности, применяемые и в др. отраслях пром-сти, основанные на принципе испарения жидкостей (аммиак, углекислота, фреон и др.).
Защита помещений от грунтовой сырости. Гидроизоляция подвалов при малом и большом напорах грунтовых вод.
Защита помещений от грунтовой сырости. Гидроизоляция подвалов при малом и большом напорах грунтовых вод.
Защита жилых зданий от грунтовой влаги
Фундаменты малоэтажных зданий, расположенные на относительно сухих грунтах, т.е. с глубоким уровнем расположения грунтовых вод, в первую очередь защищают от прямого воздействия дождевых и талых вод. С этой целью по периметру наружных стен устраивают отмостку из асфальта, асфальтобетона или плоских камней на слое песка и с подстилкой жирной глины.
В любых грунтах содержится капиллярная влага, которая проникает в тело фундамента и поднимается к зоне сопряжения с конструктивными элементами надземной части здания. Поэтому вся цокольная часть стены ниже уровня гидроизоляции должна выполняться только из красного глиняного обыкновенного хорошо обожженного кирпича. Чтобы преградить доступ капиллярной влаги в помещения, на границе контакта фундамента со стенами устраивают гидроизоляцию. Ее выполняют из двух слоев толя или раствора цемента с водонепроницаемыми добавками и располагают на определенном уровне от поверхности отмостки и пола. Полы первого этажа, расположенные на грунте, тоже имеют горизонтальную гидроизоляцию. При этом боковую поверхность фундамента или стены, соприкасающуюся с грунтом пола, обмазывают горячим битумом от уровня гидроизоляции стыка стен с фундаментом до верха подготовки пола.
При высоком уровне грунтовых вод (УГВ) конструктивные элементы подземной части малоэтажного здания оказываются в воде. Если вода агрессивна по отношению к материалам фундамента или подвала, то эти элементы выполняют из специальных материалов, устойчивых к агрессивному действию воды. В домах с подвалами или приямками уровень грунтовых вод может располагаться выше уровня пола. В таких случаях наружную поверхность стен и пола покрывают рулонной гидроизоляцией на мастике, начиная от уровня земли, расположенного выше 0,5 м от установленного уровня грунтовых вод. Количество слоев гидроизоляции принимают в зависимости от степени напора воды в уровне пола. Например, при напоре воды до 200 мм выполняют один слой гидроизоляции, а при напоре более 1 250 мм делают четыре слоя. Сверху на ковер гидроизоляции пола укладывают защитный слой цементного раствора толщиной 20...30 мм. Чтобы напор воды не прорвал гидроизоляционный слой, его действие нейтрализуют массой конструкции пола, которая должна превышать напор массы воды. При недостаточности массы пола устраивают дополнительный слой из тяжелого бетона и укладывают плиту из монолитного железобетона или железобетонный короб. В последних двух случаях обязательно проверяют вероятность всплытия дома под напором грунтовых вод.
Горизонтальные слои гидроизоляции подвала укладывают на слой бетонной подготовки толщиной не менее 100 мм, поверхность которой выравнивают цементным раствором или слоем асфальта. Вертикальные слои гидроизоляции наклеивают мастикой на оштукатуренную цементным раствором поверхность стены подвала. Для предохранения вертикальных участков ковра гидроизоляции от механических повреждений устраивают забивку из мятой жирной глины или защитную кирпичную стенку.
В некоторых случаях сложную конструкцию гидроизоляции оказывается целесообразным заменить устройством дренажа на участке земли под домом. При устройстве дренажа понижается уровень грунтовых вод и значительно упрощается конструктивное решение защиты здания от действия влаги. Кроме того, снимается угроза всплытия дома.
Расчеты, необходимые при устройстве искусственного основания с помощью грунта. Средства уплотнения. Контроль качества уплотнения.
Расчеты, необходимые при устройстве искусственного основания с помощью грунта. Средства уплотнения. Контроль качества уплотнения.
Основным работам по уплотнению грунтов и устройству грунтовых подушек должно предшествовать опытное уплотнение, в ходе которого должны быть установлены технологические параметры и контрольные величины показателей качества.
Поверхностное уплотнение грунтов трамбованием следует выполнять с соблюдением следующих требований:
- при различной глубине заложения фундаментов уплотнение грунта следует производить, начиная с более высоких отметок;
- по окончании поверхностного уплотнения верхний недоуплотненный слой грунта необходимо доуплотнить по указанию проекта;
- уплотнение грунта трамбованием в зимнее время допускается при немерзлом состоянии и естественной влажности (необходимая глубина уплотнения при влажности грунта ниже оптимальной достигается увеличением веса, диаметра или высоты сбрасывания трамбовки);
- контрольное определение отказа производится двумя ударами трамбовки при сбрасывании ее с высоты, принятой при производстве работ, но не менее 6 м (уплотнение признается удовлетворительным, если понижение уплотняемой поверхности под действием двух ударов не превышает величины, установленной при опытном уплотнении).
Искусственные основания:
Механическое уплотнение
Песчаные подушки
Свайные основания и ростверки
Расчет свай-стоек
Расчет свайных оснований методом одиночных свай.
Искусственные основания устраиваются при слабых грунтах и больших нагрузках на подошву фундамента. В гражданском строительстве при слабых грунтах и небольших нагрузках обычно ограничиваются уплотнением грунта на глубину 1,5–2,0 м или устройством песчаной подушки, размеры которой определяются расчетом. При больших нагрузках на подошву фундамента применяются свайные основания, опускные колодцы, цементация и силикатизация грунтов основания.
Если залегающие непосредственно под подошвой фундамента грунты слабые, рыхлые, с малым расчетным сопротивлением и не могут служить естественным основанием под фундамент, в качестве основания применяются песчаные подушки. В этом случае слабые грунты под подошвой удаляют на глубину, определяемую расчетом, а образовавшийся котлован заполняют крупно- или среднезернистым песком или гравелистым грунтом, обладающими малой сжимаемостью и допускающими давление в 2—2,5 кг/см2.
Давление в грунтах основания быстро уменьшается по мере удаления от подошвы, достигая в ленточных фундаментах 55 % от среднего давления под подошвой на глубине, равной ширине фундамента, и 30 % на глубине, равной двойной ширине подошвы. В прямоугольных в плане фундаментах падение давления происходит еще интенсивнее.
В связи с указанными свойствами грунтов, поперечное сечение песчаных подушек может быть принято по кривой изобар. Размеры подушек должны быть такими, чтобы давления, возникающие по кривой (рис. 1), были равны или меньше расчетного сопротивления на слабый грунт. Свойство уменьшения давления в грунтах по мере удаления от источника сжатия используется также при определении ширины подошвы фундамента в тех случаях, когда подстилающий слой слабее рабочего. На практике для упрощения формы очертание подушки в разрезе принимается не по кривой равных давлений, а по объемляющей ломаной, как показано на рис. 1 справа.
Отсыпка песчаной подушки производится слоями толщиной 15—20 см с тщательным уплотнением площадочными вибраторами. Ширина подушки понизу обычно принимается равной ширине подошвы фундамента с небольшим уширением (на 20—25 см) вверху подушки, учитывая, что изобары давлений, соответствующие 50–55 % от средних давлений под подошвой, обычно не выходят за пределы ширины подошвы фундаментов.
Расчет песчаных подушек сводится к следующему.
1. Определяют ширину подошвы фундамента b из условия прочности песчаной подушки по формуле:
2. Находят величину a — отношение расчетного сопротивления слабого грунта к среднему давлению под подошвой:
3. Зная величину a, находим по табл. отношение h/b, обозначенное через m.
По найденным величинам b и m определяют высоту подушки h по формуле:
Рис.1
Устройство оснований с помощью втрамбованных подушек. Вытрамбованные котлованы.
Устройство оснований с помощью втрамбованных подушек. Вытрамбованные котлованы.
При устройстве грунтовых подушек - планы и разрезы котлованов, физико-механические характеристики отсыпаемого грунта, указания по толщине отсыпаемых слоев, рекомендуемым машинам для уплотнения грунта и режимам работы, а также плотность сухого грунта в подушках;
При вытрамбовывании котлованов - план котлована под здание или сооружение с отметками, с которых следует производить вытрамбовывание котлованов под фундаменты, размеры в плане и глубину отдельно вытрамбованных котлованов, конструкцию фундаментов с предельными нагрузками на основание, размеры, форму, массу и высоту сбрасывания трамбовки и ориентировочное число ударов при вытрамбовывании котлованов на заданную глубину; допустимый диапазон изменения влажности грунтов, минимально допустимые расстояния между вытрамбованными котлованами, размеры уширений в их основании, а также объем и вид жесткого грунтового материала (щебень, гравий, песчано-гравийная смесь и т.д.), втрамбовываемого в дно котлована, число порций и объем одной порции;
Отсыпка грунта на промороженный слой допускается как исключение при толщине мерзлого слоя не более 0,4 м, когда влажность отсыпаемого грунта не превышает 0,9 влажности на границе раскатывания; в противном случае промороженный грунт должен быть удален.
Вытрамбовывание котлованов под фундаменты следует выполнять с соблюдением следующих требований:
а) вытрамбовывание котлована под отдельно стоящие фундаменты надлежит выполнять сразу на всю глубину котлована без изменения положения направляющей штанги трамбующего механизма;
б) доувлажнение грунта в необходимых случаях следует производить от отметки дна котлована на глубину не менее полуторной ширины котлована;
в) втрамбовывание в дно котлована жесткого материала для создания уширенного основания следует производить сразу же после вытрамбовывания котлована;
г) фундаменты, как правило, устраиваются сразу же после приемки вытрамбованных котлованов. Максимальный перерыв между вытрамбовыванием и бетонированием - одни сутки. При этом толщина дефектного (промороженного, размокшего и т.п.) слоя на стенах и дне котлована не должна превышать 3 см;
д) бетонирование фундамента следует производить враспор;
е) вытрамбовывание котлованов в зимнее время следует производить при талом состоянии грунта. Промерзание грунта с поверхности допускается на глубину не более 20 см.
ж) при массе трамбовок 3 т и выше запрещается вытрамбовывать котлованы на расстояниях менее: 10 м - от эксплуатируемых зданий и сооружений, не имеющих деформаций, и 15 м - от зданий и сооружений, имеющих трещины в стенах, а также от инженерных коммуникаций, выполненных из чугунных, железобетонных, керамических, асбестоцементных и пластмассовых труб. При массе трамбовок менее 3 т указанные расстояния могут быть уменьшены в 1,5 раза.
Устройство искусственных оснований с помощью энергии взрыва. Гидровзрывной способ уплотнения грунтов.
Устройство искусственных оснований с помощью энергии взрыва. Гидровзрывной способ уплотнения грунтов.
При уплотнении предварительным замачиванием и замачиванием с глубинными взрывами - план разбивки уплотняемой площадки на отдельные участки (карты) с указанием их глубины и очередности замачивания, расположение и конструкции поверхностных и глубинных марок, схему сети водовода, данные по среднесуточному расходу воды на 1 кв.м уплотняемой площадки и времени замачивания каждого котлована или участка (карты), величину условной стабилизации просадки, а в случае замачивания через скважины, дополнительно - план расположения скважин с указанием их глубины, диаметра, способа проходки и вида дренирующего материала для засыпки, способы уплотнения верхнего недоуплотненного (буферного) слоя грунта. При уплотнении просадочных грунтов замачиванием и глубинными взрывами дополнительно должна быть приведена технология взрывных работ с указанием противосейсмических мероприятий и техники безопасности производства взрывных работ;
Уплотнение просадочных грунтов замачиванием и энергией взрыва следует выполнять с соблюдением требований:
а) замачивание необходимо выполнять через дно котлована, дренажные, взрывные или совмещенные скважины, заполненные дренирующим материалом, и продолжать до промачивания всей просадочной толщи до проектной влажности;
б) по окончании замачивания и после производства взрывных работ следует проводить наблюдения за осадкой поверхностных и глубинных марок. Нивелирование после взрыва зарядов ВВ надлежит производить в течение последующих 15-20 сут.;
в) глубину котлована или распределительных траншей, отрываемых за счет срезки грунта, следует назначать из условия сохранения слоя воды при замачивании 0,3-0,5 м.
В зимнее время уровень воды в котловане и траншеях следует поддерживать на одной отметке;
г) в необходимых случаях, когда уплотнение грунта производится на больших площадях, допускается предусматривать устройство песчано-гравийных подушек, позволяющих ускорить начало строительно-монтажных работ на уплотненном участке;
д) разрыв между окончанием замачивания и взрывами зарядов ВВ, в зависимости от размеров площадки, должен составлять не более 3-8 ч.
После предварительного замачивания оснований и замачивания с глубинными взрывами зарядов ВВ следует производить уплотнение верхнего слоя грунта.
Закрепление грунтов инъекциями цементных, силикатных, силикатно–глинистых растворов, синтетических смол и других веществ. Основные свойства закрепленных грунтов.
Закрепление грунтов инъекциями цементных, силикатных, силикатно–глинистых растворов, синтетических смол и других веществ. Основные свойства закрепленных грунтов.
В зависимости от технологии закрепления и процессов, происходящих в основании способы закрепления можно разделить на три основные группы: физико-химические, химические и термические.
К физико-химическим способам закрепления грунтов, используемых при повышении прочности оснований, можно отнести: цементацию, упрочнение грунта негашеной известью и другие методы.
Цементация грунта заключается в том, что частицы грунта скрепляются цементным раствором, который нагнетается через инъектор или скважину в поры грунта. Таким образом, пористый грунт может быть превращен в сплошной монолит или отдельные столбы из цементированных грунтов.
Цементацию применяют для закрепления трещиноватых скальных пород, гравелистых и песчаных грунтов с коэффициентом фильтрации 50—200 м/сут.
Для нагнетания в грунт используют цементные растворы. При наличии крупных пустот применяют цементно-песчаные растворы.
Для приготовления инъекционных растворов должен применяться обыкновенный портландцемент, обеспечивающий наибольшую плотность цементного камня. Растворы приготовляют в растворосмесителях РМ-500, РМ-750, МГ2-4Х, СМ-243Б.
При больших глубинах закрепления оснований инъекционные скважины бурят станками ударно-канатного, ударно-вращательного, колонкового и ударно-поворотного бурения. Способ бурения выбирается в зависимости от категории грунтов.
Наиболее распространенными способами химического закрепления оснований являются: силикатизация, электросиликатизация, газовая силикатизация, смолизация.
Силикатизация является одним из наиболее эффективных способов химического закрепления грунтов. Она позволяет в короткие сроки, надежно и с меньшими трудовыми затратами приостановить развитие недопустимых осадок основания.
Основным материалом для силикатизации является жидкое стекло, т. е. коллоидный раствор силиката натрия (Na20„Si02+mH20). Жидкое стекло характеризуется следующими данными: плотность 1,33—1,35 г/см3, вязкость при 20°С 40—50 мПа-с, с водой смешивается быстро и в любых соотношениях. В результате разбавления вязкость жидкого стекла сильно снижается, а проницаемость — возрастает.
В зависимости от физико-механического состояния грунтов применяется одно-и двухрастворная силикатизация грунтов.
Термическое и электрохимическое закрепление грунтов. Основные свойства закрепленных грунтов.
Термическое и электрохимическое закрепление грунтов. Основные свойства закрепленных грунтов.
В слабо фильтрующих, слабых грунтах при kf= 0,1 м/сут используют электрохимическое закрепление грунтов. Этот метод основывается на использовании электроосмоса для принудительного введения в грунты растворов силиката натрия и хлористого кальция, для чего через грунты с £/=0,005…0,1 (пески пылеватые, супеси и легкие суглинки) пропускается электрический ток, вызывающий движение воды от анода к катоду. В качестве анода используют перфорированную трубу, в полость которой последовательно вводят химические укрепляющие вещества, а через катод откачивают воду. Под действием электрического тока увеличивается скорость проникновения закрепляющих растворов, скорость протекания физико-химических реакций по образованию нерастворимых соединений и необратимых коллоидов, а также уменьшается влажность около анодов. Эти факторы способствуют омо-ноличиванию грунта и улучшению строительных характеристик на Длительный период времени, т. е. приводят к его закреплению.
При коэффициентах фильтрации Лу<0,01 м/сут иногда для улучшения закрепления применяют электролиты, способствующие внедрению в грунт их ионов (в качестве электролита используют раствор хлористого кальция). Однако в некоторых случаях даже при меньших значениях коэффициента фильтрации к/< 0,005 м/сут можно не применять электролиты, если в грунтах, например в илах, содержатся соли, вступающие в реакцию.
Расчет свайных фундаментов из забивных железобетонных свай на сейсмические воздействия.
Расчет свайных фундаментов из забивных железобетонных свай на сейсмические воздействия.
Свайные фундаменты состоят из железобетонных свай и железобетонных ростверков. Их устраивают в виде:
- лент под стены зданий с расположением свай в один, два и более рядов;
- «кустов» под колонны;
- одиночных свай и свай-колонн, у которых выступающая над поверхностью грунта часть заменяет колонну.
В монолитном строительстве применяют забивные (заводского изготовления) и набивные (построечного изготовления) сваи.
Забивные сваи изготавливают прямоугольного, круглого и кольцевого сечений с напрягаемой и ненапрягаемой арматурой.
При проектировании свайных фундаментов в сейсмических районах кроме требований настоящих норм следует соблюдать также требования СНиП 11-7-81 *; при этом в дополнение к материалам инженерных изысканий для проектирования свайных фундаментов должны быть использованы данные сейсмического микрорайонирования площадки строительства.
Свайные фундаменты зданий и сооружений с учетом сейсмических воздействий должны рассчитываться на особое сочетание нагрузок по предельным состояниям первой группы. При этом необходимо предусматривать:
а) определение несущей способности сваи на сжимающую и выдергивающую нагрузки в соответствии с требованиями;
б) проверку устойчивости грунта по условию ограничения давления, передаваемого на грунт боковыми поверхностями свай, в соответствии с требованиями;
в) расчет свай по прочности материала на совместное действие расчетных усилий.
Категории грунтов по сейсмическим свойствам. Основы сейсмического районирования.
Категории грунтов по сейсмическим свойствам. Основы сейсмического районирования.
Определение сейсмичности площадки строительства следует производить на основании сейсмического микрорайонирования.
В районах, для которых отсутствуют карты сейсмического микрорайонирования, допускается определять сейсмичность площадки строительства согласно табл. 1СНиП II-7-81.
I группа
Скальные грунты всех видов (в том числе вечномерзлые и вечномерзлые оттаявшие) невыветрелые и слабо-выветрелые: крупнообломочные грунты плотные маловлажные из магматических пород, содержащие до 30% песчано-глинистого заполнителя: выветрелые и сильновыветрелые скальные и нескальные твердомерзлые (вечномерзлые) грунты при температуре минус 2°С и ниже при строительстве и эксплуатации по принципу I (сохранение грунтов основания в мерзлом состоянии).
II группа
Скальные грунты выветрелые и сильновыветрелые, в том числе вечномерзлые, кроме отнесенных к I категории; крупнообломочные грунты, за исключением отнесенных к I категории; пески гравелистые, крупные и средней крупности плотные и средней плотности маловлажные и влажные; пески мелкие и пылеватые плотные и средней плотности маловлажные; глинистые грунты с показателем консистенции IL 0,5 при коэффициенте пористости е < 0,9 для глин и суглинков и е < 0,7 — для супесей; вечномерзлые нескальные грунты пластичномерзлые или сыпучемерзлые, а также твердо-мерзлые при температуре выше минус 2°С при строительстве и эксплуатации по принципу I.
III группа
Пески рыхлые независимо от влажности и крупности: пески гравелистые, крупные и средней крупности плотные и средней плотности водонасыщенные; пески мелкие и пылеватые плотные и средней плотности влажные и водонасыщенные; глинистые грунты с показателем консистенции IL>0,5; глинистые грунты с показателем консистенции IL<0,5 при коэффициенте пористости е>0,9 для глин и суглинков и е>0,7-для супесей; вечномерзлые нескальные грунты при строительстве и эксплуатации по принципу II (допускается оттаивание грунтов основания)
Строительство на структурно – неустойчивых грунтах. Физические свойства нескальных и скальных грунтов и методы их определения.
Строительство на структурно – неустойчивых грунтах.
При строительстве и эксплуатации городских зданий и сооружений на структурно-неустойчивых грунтах при определенных инженерно-геологических условиях зафиксированы многочисленные случаи образования резко выраженных неравномерных осадок, которые часто приводили к полному разрушению. К структурно-неустойчивым грунтам относятся лёссовые грунты, грунты, находящиеся в мерзлом и вечномерзлом состоянии, рыхлые пески, илы, чувствительные пылеватолинистые грунты, а также пылевато-глинис-тые набухающие грунты.
Развитие значительных неравномерных осадок в структурно-неустойчивых грунтах происходит из-за нарушения их природной структуры, которое возможно в результате механических и физических воздействий.
Механические воздействия обусловлены приложением внешней нагрузки от фундаментов, а также различными динамическими явлениями (вибрация, колебания и т. п.), происходящими в результате движения транспорта, технологических, производственных и других факторов. К механическим воздействиям наиболее чувствительны несвязные и слабосвязные грунты, а именно, слабые насыщенные водой пылевато-глинистые грунты, илы, заторфованные грунты, рыхлые пески и др.
Физические воздействия, при которых происходит нарушение структуры грунтов, обусловлены дополнительным увлажнением, которое может оказать неблагоприятное влияние на лёссовые и набухающие грунты; оттаиванием мерзлых и вечномерзлых грунтов, а также химической а механической суффозией и выветриванием. Данный тип воздействий приводит к увеличению деформативности вследствие разрушения структурных связей, вызывая дополнительные неравномерные осадки.
В структурно-неустойчивых грунтах при приложении внешней нагрузки разрушение структурных связей происходит быстрее, чем образование новых, в отличие от структурно-устойчивых грунтов, в которых одновременно с частичным нарушением структуры и уплотнения возникают новые связи, увеличивая тем самым их прочность. Поэтому в структурно-неустойчивых грунтах процесс разрушения структурных связей происходит лавинообразно и приводит к развитию просадки, не связанной с процессом постепенного уплотнения.
Возведение и эксплуатация сооружений на структурно-неустойчивых грунтах весьма затруднительны, поэтому при проектировании необходимо учитывать условия, при которых возможно нарушение их природной структуры и развитие просадки, и принимать меры, направленные на устранение таких неблагоприятных явлений.
Следует отметить, что основания, сложенные структурно-неустойчивыми грунтами при нагрузках, напряжения от которых не превышают структурной прочности, обладают в некоторых случаях удовлетворительными физико-механическими характеристиками, которые резко ухудшаются при нарушении структуры или превышения напряжениями структурной прочности.
Сжимаемость нескальных грунтов. Роль пористости в механических свойствах нескальных грунтов.
Сжимаемость нескальных грунтов. Роль пористости в механических свойствах нескальных грунтов.
Сжимаемостью называют способность породы к уменьшению объема под воздействием нагрузки. Показатель текучести IL характеризует консистенцию глинистого грунта. По его величине можно косвенно определить и степень сжимаемости основания. Например, если в основании залегают глинистые грунты с показателем текучести IL £ 0, то данный слой грунта обладает низкой сжимаемостью. Значение IL ³ 0,75 говорит о повышенной сжимаемости основания.
Наихудшим видом основания являются илы и заторфованные грунты. Лессовые грунты в маловлажном состоянии могут служить хорошим основанием. Однако при замачивании водой они дают просадку. Пористостью n грунта называется отношение объема пор к полному объему образца грунта. Коэффициентом пористости e или относительной пористостью называется отношение объема пор в образце к объему, занимаемому его твердыми частицами - скелетом, то есть
Теоретически пористость n изменяется в пределах от нуля (поры отсутствуют) до единицы (скелет отсутствует). Соответственно коэффициент пористости e изменяется от нуля (поры отсутствуют) до бесконечности (скелет отсутствует). Пористость не может быть больше единицы, в то время как коэффициент пористости может быть больше единицы (например у лессов, торфа). Коэффициент пористости равен единице, если объем пор равен объему, занятому твердыми частицами.
Лабораторные методы определения сжимаемости грунтов в приборах одноосного и трехосного сжатия. Полевые методы определения сжимаемости грунтов.
Лабораторные методы определения сжимаемости грунтов в приборах одноосного и трехосного сжатия. Полевые методы определения сжимаемости грунтов.
Испытание грунта методом одноосного сжатия проводят для определения следующих характеристик прочности: предела прочности на одноосное сжатие R для полускальных и водонасыщенных глинистых грунтов. Предел прочности на одноосное сжатие определяют как отношение приложенной к образцу вертикальной нагрузки, при которой происходит разрушение образца, к площади его первоначального поперечного сечения. Проведение испытания. Нагружение испытываемого образца грунта производят равномерно, без ударов, увеличивая нагрузку непрерывно с заданной скоростью нагружения или скоростью деформирования образца грунта. Скорость нагружения образца полускального грунта должна составлять 0,01-0,05 МПа/с. Нагружение образца глинистого грунта производят со скоростью приращения относительной вертикальной деформации образца 0,02 за 1 мин, или скорость нагружения выбирают в зависимости от предполагаемой прочности грунта таким образом, чтобы время проведения испытания составило 5-7 мин. Испытание проводят до разрушения образца. В случае испытания образца глинистого грунта при отсутствии видимых признаков разрушения испытание прекращают при относительной вертикальной деформации образца эпсилон = 0,15. В процессе испытания ведут журнал, форма которого приведена.
Испытание грунта методом трехосного сжатия проводят для определения следующих характеристик прочности и деформируемости: угла внутреннего трения, удельного сцепления, сопротивления недренированному сдвигу, модуля деформации и коэффициента поперечной деформации для песков, глинистых, органо-минеральных и органических грунтов. Эти характеристики определяют по результатам испытаний образцов грунта в камерах трехосного сжатия. Проведение неконсолидированно-недренированного испытания. Предварительное обжатие образца осуществляют в соответствии с программой испытаний. Вертикальное нагружение испытываемого образца производят равномерно, без ударов ступенями нагрузки. Показания прибора для измерения вертикальной деформации образца грунта записывают на каждой ступени нагружения или через 15 с при непрерывном увеличении нагрузки. Испытание продолжают до момента разрушения образца или до возникновения пластического течения без приращения нагрузки. При отсутствии видимых признаков разрушения испытание прекращают при относительной вертикальной деформации образца грунта. После окончания испытания образец грунта разгружают, сбрасывают давление в камере и сливают рабочую жидкость. Образец грунта извлекают из камеры и отбирают из него пробы для контрольного определения влажности. В процессе испытания ведут журнал. Полевые испытания: Определение коэффициента фильтрации, нагнетание воды, деформируемость немерзлых грунтов, модуль деформации.
Упругие и остаточные деформации. Структурная прочность. Накопление остаточных деформаций при повторном нагружении. Структурно – неустойчивые грунты и причины разрушения их структуры.
Упругие и остаточные деформации. Структурная прочность. Накопление остаточных деформаций при повторном нагружении. Структурно – неустойчивые грунты и причины разрушения их структуры.
Деформация — изменение относительного положения частиц тела, связанное с их перемещением. Деформации разделяют на упругие и пластические. Упругие деформации исчезают, а пластические остаются после окончания действия приложенных сил. В основе упругих деформаций лежат обратимые смещения атомов металлов от положения равновесия; в основе пластических — необратимые перемещения атомов на значительные расстояния от исходных положений равновесия. Чаще всего грунты природного сложения уплотнены давлением вышележащих слоев. В некоторых же случаях уплотнение происходит под действием капиллярного давления, развивающегося при высыхании грунта, или вследствие понижения уровня подземных вод. В результате уплотнения частицы грунта сблизились и между ними образовались водно-коллоидные связи. В процессе длительного существования грунтов при определенных условиях в них дополнительно могли возникнуть хрупкие кристаллизационные связи. Суммарно эти связи придают грунту некоторую прочность, которую называют структурной прочностью грунта. Структурно неустойчивые грунты – это грунты, у которых при наличии внешних воздействий достаточно резко нарушается природная структура. К ним относятся следующие грунты: лёссовые; рыхлые пески; илы; мёрзлые и вечномёрзлые; набухающие; заторфованные. При всем различии условий природного образования и последующего изменения этим грунтам свойственна общая особенность - способность к резкому снижению прочности структурных связей между частицами при некоторых обычных для строительства и эксплуатации сооружений воздействиях: при нагревании - для одних, увлажнении - для других, быстром нагружении или вибрационном воздействии - для третьих типов грунтов.
Причины указанных процессов заключаются в том, что структурные связи в этих грунтах обусловлены легко поддающимися разрушению при определенных воздействиях факторами. Поэтому такие грунты часто называют структурно-неустойчивыми грунтами.
Механические свойства грунтов. Сопротивление нескальных грунтов сдвигу. Определение параметров сопротивления на срезных приборах - лабораторных стабилометрах. Полевые методы определения параметров сопротивления сдвигу.
Механические свойства грунтов. Сопротивление нескальных грунтов сдвигу. Определение параметров сопротивления на срезных приборах - лабораторных стабилометрах. Полевые методы определения параметров сопротивления сдвигу.
Для расчетов деформаций, устойчивости грунта и оценки прочности оснований необходимо знать механические характеристики используемых грунтов. На механические свойства оказывают влияние характер структурных связей частиц, гранулометрический и минеральный состав и влажность грунтов. Основными механическими свойствами грунтов считают: сжимаемость; сопротивление сдвигу; водопроницаемость, сжимаемость грунтов.
Предельным сопротивлением сдвигу (растяжению) называется способность грунта противостоять перемещению частей грунта относительно друг друга под воздействием касательных и прямых напряжений. Этот показатель характеризуется прочностными свойствами грунтов и используется в расчетах оснований зданий и сооружений. Способность грунта воспринимать нагрузки не разрушаясь, называют прочностью.
Водопроницаемость характеризуется способностью грунта пропускать через себя воду под действием разности напоров и обуславливается физическим строением и составом грунта. При прочих равных условиях при физическом строении с меньшим содержанием пор, и при преобладании в составе частиц глины водопроницаемость будет меньшей, нежели у пористых и песчаных грунтов соответственно.
Показатели сопротивления грунта сдвигу определяются различными способами, среди которых можно выделить три группы:
- способы определения сопротивления сдвигу по одной или двум заранее фиксированным плоскостям в сдвиговых приборах;
- способы определения сопротивления сдвигу путем раздавливания при одноосном и трехосном сжатии;
- способ определения сопротивления сдвигу по углу естественного откоса.
Лабораторные испытания грунтов для определения показателей трения и сцепления способом поперечного сдвига производят путем среза нескольких образцов исследуемого грунта. При этом в зависимости от характера предварительной подготовки образцов к опыту различают:
а) сдвиг нормально уплотненных образцов (завершенное уплотнение), когда образцы перед опытом предварительно уплотняются под разными нагрузками до окончания процесса консолидации; срез каждого образца производится при той же вертикальной нагрузке, под которой он предварительно уплотнялся;
б) сдвиг переуплотненных образцов, когда образцы предварительно уплотняются до окончания процесса консолидации, а сдвигаются без нагрузки или при меньших нагрузках;
в) сдвиг недоуплотненных образцов (незавершенное уплотнение), когда образцы предварительно не уплотняются или уплотняются в продолжение короткого времени, за которое не наступает полная консолидация; срез производится при различных вертикальных нагрузках.
Фильтрация воды в грунтах, понятие о начальном градиенте напора. Капиллярные явления. Испытания грунта в приборе трёхосного сжатия (стабилометре).
Фильтрация воды в грунтах, понятие о начальном градиенте напора. Капиллярные явления.
Фильтрация воды в грунтах представляет собой сложный процесс. Поры в разнозернистом грунте образуют извилистые каналы переменного сечения, соединяющиеся между собой в различных направлениях. Следовательно, и траектории движения воды в этих каналах будут крайне сложными. В пылевато-глинистых грунтах пленки связанной воды, окружающие глинистые частицы и связанные с ними силами электростатического притяжения, могут образовывать пробки, перекрывающие поровые каналы в не которых сечениях и затрудняющие движение свободной воды. Действительная скорость движения воды в разных сечениях грунта может быть различной и, строго говоря, будет неопределенной, поэтому математическое описание фильтрации воды в грунте связано со схематизацией этого процесса и основывается на результатах экспериментов.
Начальный градиент напора. Многочисленные опыты по фильтрации воды в песчаных грунтах подтверждают полную справедливость закона Дарси. Так, в глинистых грунтах, особенно плотных, при относительно небольших значениях градиента напора фильтрации может не возникать. Увеличение градиента приводит к постепенному, очень медленному развитию фильтрации. Наконец, при некоторых значениях гидравлического градиента устанавливается постоянный режим фильтрации. Понятие начального градиента напора впервые установлено опытами Б. Ф. Рельтова и С. А. Роза и связывается обычно с проявлением особых свойств воды в глинистых грунтах, отмеченных в начале настоящего параграфа.
Капиллярность — физическое явление, заключающееся в способности жидкостей изменять уровень в трубках, узких каналах произвольной формы, пористых телах. Капиллярные явления: под каппилярным движением воды или водоподъемной способностью грунтов следует понимать их способность перемещать воду по капиллярным порам снизу вверх или в стороны. Передвижение воды в грунтах под суммарным действием капиллярных сил и сил впитания пленочной влаги, играет большую роль в накоплении влаги в грунте.
Испытания грунта в приборе трехосного сжатия (стабилометре).
Испытания цилиндрических образцов грунта проводятся в условиях осесимметричной деформации, в рабочей камере, схема которой показана на рис. 1 а. Образец грунта имеет отношение высоты к диаметру, как правило, не менее 2. Обычно диаметр образцов принимается равным 38 или 50 мм, значительно реже, диаметром 100 мм. При испытании крупнообломочных грунтов используются образцы с диаметром 200 мм и более.
Трёхосному (объёмному) напряжённому состоянию грунт подвергается в стабилометре.
Основные положения методики заключаются в следующем. В начале опыта создается гидростатическое равновесие главных напряжений. Затем ступенями образец грунта загружается вертикальной нагрузкой, при которой боковое давление сохраняется постоянным. Испытание проводится до разрушения образца. В результате каждого опыта определяются основные характеристики сжимаемости: модуль общей деформации и коэффициент поперечного расширения (коэффициент Пуассона).
Таким образом, образец грунта в стабилометре будет находиться в объемно-напряжённом состоянии.
Если вырезать из образца грунта элементарный параллелепипед с гранями перпендикулярно главным нормальным напряжениям Р1 и Р2, то такой образец будет испытывать лишь сжатие со всех сторон без возможности разрушения. Однако параллелепипед грунта ориентированный под углом α по своим граням будет испытывать кроме сжимающих усилий Рα еще касательные усилия τα (касательные напряжения).
Именно касательные напряжения τα вызывают смещение отдельных частиц грунта относительно друг друга и приводят к разрушению образца грунта в целом. В момент такого разрушения или предельного состояния грунта определяются его прочностные и деформационные свойства.
Проведение испытаний или доведение образца грунта до разрушения (предельного состояния) зависит от соотношения значений главных нормальных напряжений и условий испытаний.
В практике исследований используется большое число стабилометров различной модификации и размеров в зависимости от решения поставленной задачи. Так на левой фотографии представлен прибор стабилометр, предназначенный для исследования мелкодисперсных грунтов. На правой фотографии также представлен стабилометр, но уже для исследования крупнодисперсных грунтов.
Р1
≥ Рполн
≥ Р2
-
Общее уравнение эллипса.
Напряжённое состояние в элементарном образце грунта (в данной точке) весьма наглядно отображается при помощи эллипса напряжений, построенного на осях главных напряжений.
a) б)
Рис. 1. Конструкция рабочей камеры (а) и схема нагружения образца грунта (б)
С
уществует
два типа приборов. Прибор типа А
используется при определении прочностных
и деформационных характеристик песчаных
и глинистых грунтов в условиях
предварительного изотропного обжатия
(консолидации), т.е. когда
.
Прибор типа Б рекомендуется использовать
при определении прочностных и
деформационных характеристик грунтов
в условиях предварительной анизотропной
консолидации, т.е. когда
.
В последнем приборе возможно проведение
испытаний и в условиях изотропного
сжатия. В России принято приборы
трехосного сжатия называть стабилометрами.
Стабилометр типа А, рекомендуется
использовать для определения характеристик
прочности грунта, а стабилометр типа
Б как для прочностных, так и деформационных
характеристик грунтов. В ГОСТ 12248-96
приведена методика, которая позволяет
применять стабилометр типа А для
определения прочностных и деформационных
характеристик грунтов. В стабилометре
типа А можно провести испытания только
при изотропной консолидации (
),
а в стабилометре типа Б, как при
изотропной, так и анизотропной
консолидации (
).
Специальные устройства подключаются
к стабилометру и позволяют управлять
как измерением изменения объема образца
по величине объема жидкости вытесняемой
из рабочей камеры стабилометра (или
образца), так и величину обратного
давления, создаваемого внутри образца
грунта . Первое устройство выполняет
автоматический контроль управление/измерение
изменением объема или давления. Второе
устройство выполняет подобную функцию,
но в ручном режиме контроля изменения
объема образца и обратного давления.
Преимущество стабилометров с непрерывным
нагружением осевой нагрузки (мм/мин)
заключается в том, что эти испытания
позволяют определить следующие параметры
прочности: критическое значение угла
внутреннего трения,φ; пиковое значение
угла внутреннего трения,φmax;
остаточное значение угла внутреннего
трения, φrest;
угол дилатанции, ψ, силу сцепления с.
Испытания при статическом нагружении
дают только критическое значение угла
внутреннего трения, φ, и силы сцепления
с.
В тоже время, в отличие от компрессионных
приборов, испытания в стабилометре
можно провести в условиях близких к
природным, учитывая начальное напряженное
состояние в естественном массиве грунта
Боковое давление, которое не регулируется
в одометре, в стабилометре принимается
равным горизонтальным напряжениям на
глубине отбора монолита грунта, а
вертикальные напряжения задаются
равными бытовым (от собственного веса
вышележащих слоев грунта).
Фазы напряжённого состояния грунта при беспрерывном возрастании нагрузок (зависимость S=f(p)).
Фазы напряженного состояния грунта при беспрерывном возрастании нагрузок (зависимость S=f(p))
