Контрольная работа 1
1. Вычислить определитель
разложив по 1 строке
используя основные свойства
Поменяем местами первую и четвертую строки (при этом знак определителя сменим на противоположный):
Элементы первой строки умножим на (-3) и прибавим их к соответствующим элементам второй строки. Элементы первой строки умножим на (-2) и прибавим их к соответствующим элементам третьей и четвертой строк:
Из второй строки вынесем множитель (-2), при этом каждый элемент данной строки делим на (-2):
Элементы второй строки умножим на 5 и прибавим их к соответствующим элементам третьей и четвертой строк:
Поменяем местами третью и четвертую строки (при этом знак определителя сменится на противоположный):
Из третьей строки вынесем множитель 16, при этом каждый элемент данной строки делим на 16:
Элементы третьей строки умножим на (-14) и прибавим их к соответствующим элементам четвертой строки:
Определитель матрицы треугольного вида (под главной диагональю стоят только нули) равен произведению элементов главной диагонали. Окончательно получим:
12. Выполнить
действия над матрицами:
,
,
,
Решение:
Выполним указанные действия по шагам:
21. Решить систему уравнений
используя формулы Крамера
матричным способом
Решение:
Решим систему с использованием формул Крамера
Вычислим главный определитель (определитель матрицы системы, составленной из коэффициентов при неизвестных):
Поскольку
,
то для решения данной системы можно
использовать формулы Крамера.
Вычислим побочные определители (которые получаются из главного при замене столбца коэффициентов при соответствующей переменной столбцом свободных членов):
Тогда
,
,
.
Выполним проверку найденного решения. Для этого подставим полученные значения в исходную систему:
Поскольку при подстановке все уравнения обратились в тождества, то решение найдено верно.
Решим систему матричным способом
Запишем
систему в матричном виде
,
где
– матрица
системы,
– вектор-столбец неизвестных,
– вектор-столбец свободных членов.
Тогда
,
т.е. для решения системы необходимо
найти матрицу, обратную матрице
и умножить ее на столбец свободных
членов.
Поскольку
определитель матрицы системы отличен
от нуля (
),
то обратная матрица существует. Найдем
ее.
Транспонируем матрицу (т.е. строки делаем столбцами, столбцы – строками):
.
Вычислим алгебраические дополнения элементов транспонированной матрицы:
Запишем присоединенную матрицу:
.
Тогда
.
Найдем решение системы:
32. Решить систему уравнений методом Гаусса.
Решение:
Прямой ход метода Гаусса: запишем расширенную матрицу системы и путем эквивалентных преобразований приведем ее к трапецеидальному виду:
Элементы первой строки умножим на (-2) и прибавим их к соответствующим элементам второй строки. Из элементов третьей и четвертой строк вычтем соответствующие элементы первой строки:
Поменяем местами вторую и третью сроки:
Элементы второй строки разделим на (-3):
Элементы второй строки умножим на 3 и прибавим их к соответствующим элементам третьей строки. Элементы второй строки прибавим к соответствующим элементам четвертой строки:
Поменяем местами третью и четвертую строки:
Элементы третьей и четвертой сток разделим на (-1):
Обратный ход метода Гаусса: по полученной эквивалентной матрице восстановим и решим систему уравнений
Выполним проверку найденного решения. Для этого подставим полученные значения в исходную систему:
Поскольку при подстановке все уравнения обратились в тождества, то решение найдено верно.
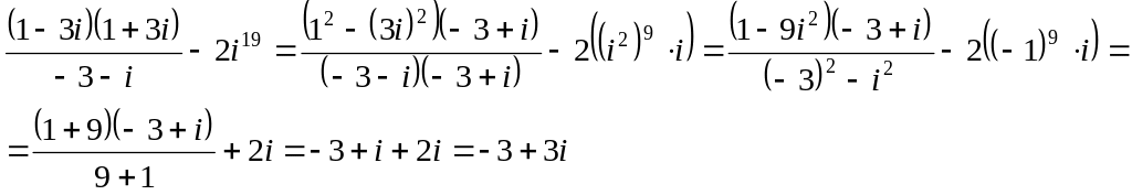
41. Выполнить действия в алгебраической форме. Результат записать в тригонометрической и показательной форах.
Решение:
Запишем полученный результат в тригонометрической форме. Для этого найдем модуль комплексного числа и его главный аргумент.
Тогда
– тригонометрическая
форма записи комплексного числа
– показательная
форма записи комплексного числа
КОНТРОЛЬНАЯ РАБОТА 2
1. Доказать,
что векторы
,
,
образуют базис и найти координаты
вектора
в этом базисе.
,
,
,
.
Решение:
Составим и вычисли определитель из координат векторов , , :
Поскольку
,
то векторы
,
,
линейно независимы, т.е. образуют базис.
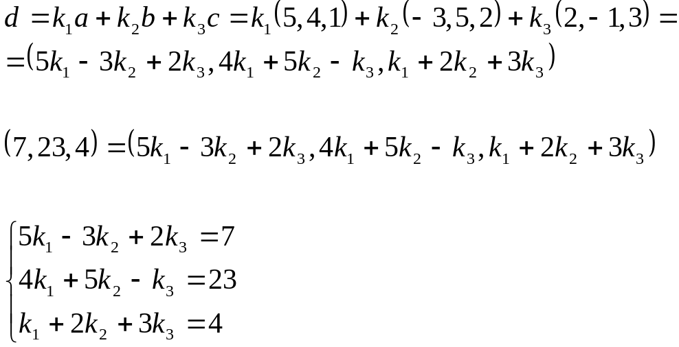
Запишем разложение вектора по базису , , :
Решим
полученную систему по формулам Крамера.
Главный определитель вычислен выше:
.
Вычислим побочные определители:
Тогда
,
,
.
Таким
образом,
12. По
координатам точек
,
и
для указанных векторов найти:
модуль вектора
скалярное произведение векторов и
проекцию вектора
на вектор
координаты точки
,
делящей отрезок
в отношении 2:3
,
,
Решение:
Найдем координаты векторов
и
:
Найдем координаты вектора :
Находим
его модуль:
Найдем координаты вектора
:
Находим
скалярное произведение векторов
и
:
Вектор
,
.
Для нахождения проекции вектора на вектор воспользуемся формулой
.
Для этого вычислим скалярное произведение векторов и и модуль вектора :
Тогда
Для нахождения координат точки , делящей отрезок в отношении 2:3 воспользуемся формулами:
21. Даны вершины треугольника , , . Найти:
уравнение стороны
;уравнение высоты
;уравнение медианы
;точку
пересечения медианы
и высоты
;уравнение прямой, проходящей через вершину параллельно стороне ;
расстояние от точки до прямой .
,
,
