- •Введение
- •Раздел 1. Контрольная работа по высшей математике №1
- •1.1. Теоретический материал по линейной алгебре
- •1.1.1. Комплексные числа и действия с ними
- •1.1.2. Матрицы и действия с ними
- •Простейшие действия с матрицами
- •Умножение матриц
- •Свойства умножения матриц
- •Матричные уравнения
- •Нахождение обратной матрицы по общей формуле
- •1.1.3. Решение квадратных неоднородных систем линейных алгебраических уравнений
- •Метод Гаусса
- •Решение систем с помощью обратной матрицы (матричный способ)
- •Решение систем по формулам Крамера
- •1.2. Пример решения контрольной работы №1
- •Скалярное произведение векторов
- •2.1.2. Координатная форма представления векторов
- •Выполнение действий с векторами через их координаты
- •2.2. Пример решения контрольной работы №2
- •Уравнение плоскости, проходящей через три точки
- •Угол между плоскостями
- •Кратчайшее расстояние от точки до плоскости
- •3.1.2. Прямая в пространстве
- •Канонические уравнения прямой
- •Параметрические уравнения прямой
- •Уравнения прямой, проходящей через две точки
- •Гипербола
- •Парабола
- •3.2. Пример решения контрольной работы №3
- •3.3. Задания контрольной работы №3 Вариант 1
- •Вариант 2
- •Вариант 3
- •Вариант 4
- •Вариант 5
- •Вариант 6
- •Вариант 7
- •Вариант 8
- •Вариант 9
- •Вариант 10
- •Оглавление
- •Раздел 1. Контрольная работа по высшей математике №1 3
- •Раздел 2. Контрольная работа по высшей математике №2 26
- •Раздел 3. Контрольная работа по высшей математике №3 36
Введение
Данное пособие написано для того, чтобы помочь студентам, обучающимся на факультете заочного и дистанционного обучения по направлению «Электроэнергетика и электротехника» и профилю «электрооборудование и электрохозяйство предприятий, организаций и учреждений», в изучении линейной и векторной алгебры, аналитической геометрии, а также в выполнении контрольных работ по высшей математике по соответствующим темам: № 1, №2, №3.
В пособии содержатся три раздела, в каждом из которых имеется необходимый теоретический материал, пример выполнения соответствующей контрольной работы и задания для самостоятельного выполнения в десяти вариантах. Номер варианта определяется по последней цифре зачётной книжки (шифра).
Работу следует выполнять в тонкой ученической тетради в клетку. Выполненную работу следует снабдить титульным листом, образец которого можно найти на доске объявлений у деканата.
Поскольку пособие содержит достаточно большой теоретический материал, полезно сохранить его до конца обучения в вузе, так как он может быть востребован при дальнейшем изучении математики и других дисциплин.
Раздел 1. Контрольная работа по высшей математике №1
1.1. Теоретический материал по линейной алгебре
1.1.1. Комплексные числа и действия с ними
Под комплексным числом в алгебраической
форме записи понимается выражение
где
и
– действительные числа, а
–
мнимая единица, для которой справедлива
формула
Числа вида
отождествляются с действительными
числами, числа вида
называются чисто мнимыми. Сопряженным
числом
к числу
называется комплексное число
Два комплексных числа
и
равны, если
и
Сложение, вычитание, умножение и деление комплексных чисел определяются следующим образом.
1)
2)
3)
Примечание. Формулу умножения двух
комплексных чисел не обязательно
запоминать, так как она получается, если
формально перемножить двучлены
и
по обычному правилу умножения двучленов
и затем заменить
на –1.
Примеры.
1. Найти сумму и произведение комплексных
чисел
и
Находим сумму:
Умножим:
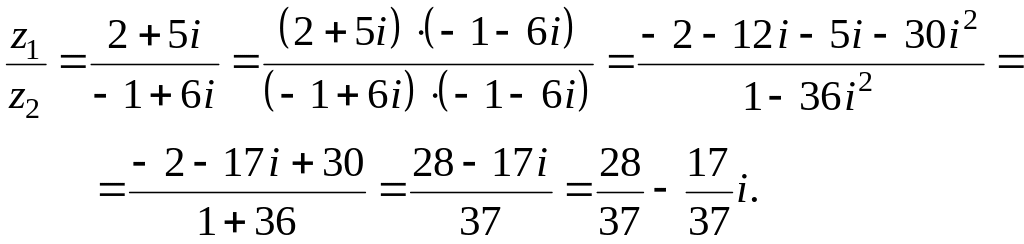
2. Найти частное комплексных чисел
и
Для нахождения частного умножим числитель и знаменатель дроби на число, сопряженное знаменателю:
можно изобразить точкой на плоскости
имеющей координаты
На оси
изображаются действительные числа,
поэтому она называется действительной
осью; на оси
расположены чисто мнимые числа; она
называется мнимой осью.
Можно также сопоставить числу
вектор, направленный из начала координат
в точку
Длина этого вектора
,
т.е. расстояние от начала координат до
точки
называется модулем комплексного
числа
и обозначается
Из рисунка находим
Следовательно:
Такая форма записи комплексного числа
называется тригонометрической.
Угол
,
образованный радиус-вектором
с положительным направлением действительной
оси
называется аргументом комплексного
числа
и обозначается
.
В инженерных приложениях угол
также называется фазой. Величина угла
определяется с точностью до слагаемого
Главным называется значение
,
удовлетворяющее условию:
.
Главное значение аргумента можно вычислить по следующим формулам:
Пусть
– любое действительное число. Символом
обозначается комплексное число
С помощью этого обозначения всякое
комплексное число
может быть записано в показательной
форме (формула Эйлера):
Пример. Представить в тригонометрической
и показательной форме комплексное число
Находим модуль
Аргумент находим по формуле:
.
Следовательно
