- •Частина 2. Семестрові (рейтингові) контрольні роботи (скр)
- •2.1 Лінійна алгебра та аналітична геометрія (скр 1)
- •Знайти координати точки перетину площин:
- •Знайти координати точки перетину прямих:
- •Знайти направляючий вектор прямої
- •Знайти направляючі косинуси нормального вектора площини
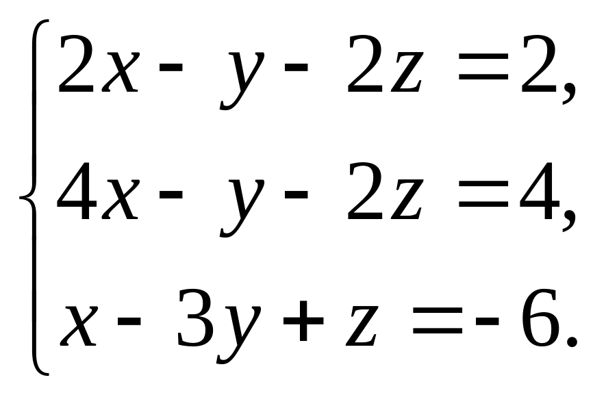
- •Розв’язати систему методом Гауса
- •9. Знайти направляючий вектор прямої
- •10. Знайти направляючі косинуси нормального вектора площини
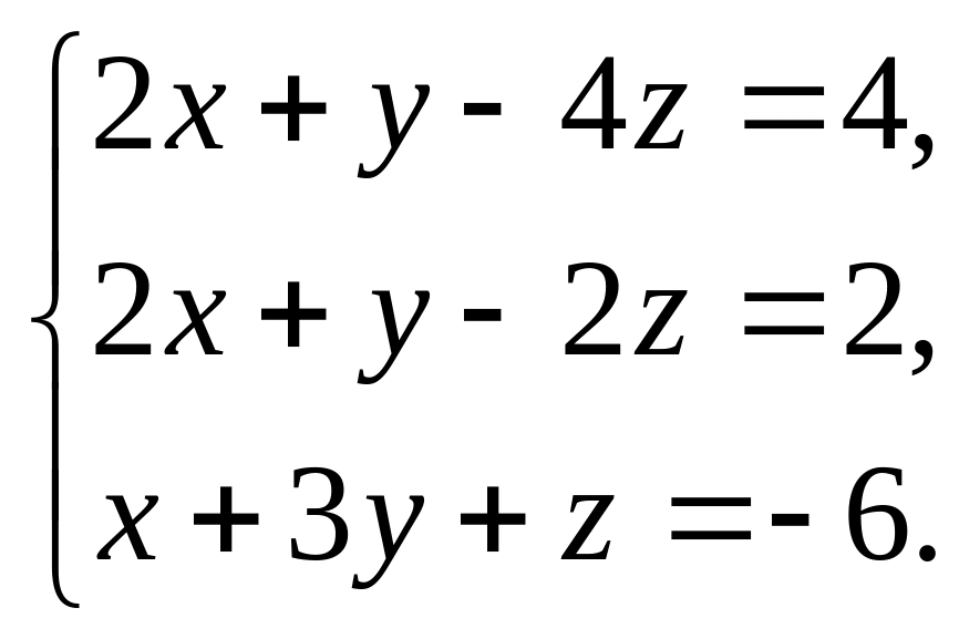
- •2. Розв’язати систему методом Гауса
- •9. Знайти направляючий вектор прямої
- •10. Знайти направляючі косинуси нормального вектора площини
Частина 2. Семестрові (рейтингові) контрольні роботи (скр)
2.1 Лінійна алгебра та аналітична геометрія (скр 1)
Варіант 1
Розв’язати рівняння ХА=В, де
,
.
У відповіді вказати значення Ах12.
Знайти координати точки перетину площин:
2х+3у+z-4=0; х-4у+2z+3=0; 4х-2у+3z+4=0.
Знайти координати точки перетину прямих :
4х-у-3=0 і 16х-3у=16.
Знайти координати точки К, яка симетрична точці N(-3;1) відносно прямої
2х-у-8=0.
Обчислити відстань від точки (2;-2;0) до площини
2х+у-2z+4=0.
Знайти координати точки перетину площини ХОZ з прямою
Знайти координати проекції точки (1;1;0) на площину
х-2у+z=0.
Записати рівняння прямої в канонічному вигляді:
Знайти направляючий вектор прямої
2х+3у+6=0.
Знайти орт нормального вектора площини
2х-у+2z=0.
Варіант 2
Розв’язати рівняння АХ=В, де
,
.
У відповіді вказати
значення Ах12.Знайти координати точки перетину площин:
х+2у+3z+3=0; 2х-у+z-4=0; х-4у+2z-4=0.
Знайти координати точки перетину прямих:
2х-у+4=0 і х+у-1=0.
4. Знайти координати точки К, яка симетрична точці N(-4;-1) відносно прямої
3х+у-27=0.
5. Обчислити кут між площинами
х-2у-2z=0 і х-у-1=0.
Знайти координати точки перетину площини YОZ з прямою
х=t+3, y=2t-3, z=t+2.
Знайти координати проекції точки (-1;-1;3) на площину
2х+2у-z-2=0.
8. Записати рівняння прямої в канонічному вигляді:
Знайти направляючий вектор прямої
3х+4у-12=0.
10. Знайти направляючі косинуси нормального вектора площини
2х+у-2z+3=0.
Варіант 3
Розв’язати рівняння ХА=В, де
,
.
У відповіді вказати
значення Ах12.Знайти координати точки перетину площин:
4х+у-5z+5=0; 3х-у+4z+3=0; х-2у+z+8=0.
Знайти координати точки перетину прямих:
3х-2у-3=0 і 3х+у+6=0.
Знайти координати точки К, яка симетрична точці N(-8;-3) відносно прямої
х-3у-1=0.
Обчислитиі відстань від точки (1;-1;-1) до площини
3у-4z+4=0.
Знайти координати точки перетину площини ХОY з прямою
Знайти координати проекції точки (-1;1;1)на площину
3х-у-2z=0.
Записати рівняння прямої в канонічному вигляді:
Знайти направляючий вектор прямої
3х-2у-6=0.
Знайти орт нормального вектора площини
х-2у-2z-5=0.
Варіант 4
Розв’язати рівняння ХА+В=С, де
,
,
У відповіді вказати значення Ах12.
Знайти координати точки перетину площин:
2х+2у-z+3=0; 4х+3у-2z+8=0; 3х+3у+2z-6=0.
Знайти координати точки перетину прямих:
х+3у+1=0 і 4х-у-12=0.
Знайти координати точки К, яка симетрична точці N(-3;-2) відносно прямої
х-2у-1=0.
Обчислити кут між площинами
х+у-2z=0
і 3у-z=0.Знайти координати точки перетину площини ХОZ з прямою
х=3t-5, y=t+1, z=3-t.
Знайти координати проекції точки (1;1;-1)на площину
х-2у+z=0.
Записати рівняння прямої в канонічному вигляді:
Знайти направляючий вектор прямої
4х+3у-12=0.
Знайти направляючі косинуси нормального вектора площини
3х-4у-17=0.
Варіант 5
Розв’язати рівняння ХА=В, де
,
.
У відповіді вказати значення Ах12.
Розв’язати систему методом Гауса
Знайти координати точки перетину прямих :
х+2у-1=0 і х-у+2=0.
Знайти координати точки К, яка симетрична точці N(-4;1) відносно прямої
3х-у=27.
Обчислити відстань від початку координат до площини
х-2у+2z-6=0.
Знайти координати точки перетину площини YОZ з прямою
Знайти координати проекції точки (3;-3;4)на площину
х+2у-z+1=0.
Записати рівняння прямої в канонічному вигляді:
Знайти направляючий вектор прямої
2х-3у=6.
Знайти орт нормального вектора площини
2х-2у-z+7=0.
Варіант 6
Розв’язати рівняння ХА-В=С, де
,
,
.
У відповіді вказати значення Ах12.
Розв’язати систему методом Гауса
Знайти координати точки перетину прямих:
3х-у+2=0 і 9х+2у=9.
Знайти координати точки К, яка симетрична точці N(-13;3) відносно прямої
4х-3у=64.
Обчислити кут між площинами
2х-2у-z+1=0 і х-z=0.
Знайти координати точки перетину площини XOZ з прямою
х=2t+1, y=t-3, z=3t-5.
Знайти координати проекції точки (3;1;-1) на площині
3х+5у+z-20=0.
Записати рівняння прямої в канонічному вигляді:
Знайти направляючий вектор прямої
3х+4у=12.
Знайти направляючі косинуси нормального вектора площини
4у-3z-11=0.
Варіант 7
Розв’язати рівняння ХА+В=2С, де
,
,
.
У відповіді вказати значення Ах12.
Розв’язати систему методом Гауса
Знайти координати точки перетину прямих:
3х-4у+3=0 і 3х+у-12=0.
Знайти координати точки К, яка симетрична точці N(-2;2) відносно прямої
х+у=4.
Обчислитиі відстань від точки (1;0;2) до площини
2х-у+2z+6=0.
Знайти координати точки перетину площини XOУ з прямою
Знайти координати проекції точки (1;0;1) на площині
х-3у+z=0.
Записати рівняння прямої в канонічному вигляді:
Знайти направляючий вектор прямої
4х+3у=5.
Знайти орт нормального вектора площини
х-2у-2z-7=0.
Варіант 8
Розв’язати рівняння ХА-В=2С, де
,
,
.
У відповіді вказати значенняАх12.
Розв’язати систему методом Гауса
Знайти координати точки перетину прямих:
3х-4у+1=0 і 9х+у-36=0.
Знайти координати точки К, яка симетрична точці N(-18;-4) відносно прямої
х+2у-4=0.
Обчислити кут між площинами
х=0 і х+√2у+z-1=0.
Знайти координати точки перетину площини XOZ з прямою
х=3-t, у=2t, z=2t-2.
Знайти координати проекції точки (-1;1;0) на площині
3х-у-2z=0.
Записати рівняння прямої в канонічному вигляді:
Знайти направляючий вектор прямої
-2х-3у+12=0.
Знайти направляючі косинуси нормального вектора площини
4х-3z+11=0.
Варіант 9
Розв’язати рівняння ХА-В=С, де
,
,
.
У відповіді вказати значення Ах12.
Розв’язати систему методом Гауса
Знайти координати точки перетину прямих:
2х-у-2=0 і 2х+у+2=0.
Знайти координати точки К, яка симетрична точці N(-3;-1) відносно прямої
2х+у-8=0.
Обчислитиі відстань від точки (1;-1;-1) до площини
4х-3z-2=0.
Знайти координати точки перетину площини XOZ з прямою
Знайти координати проекції точки (6;2;-1)на площину
3х-2у+z+1=0.
Записати рівняння прямої в канонічному вигляді:
Знайти направляючий вектор прямої
3х+2у-12=0.
Знайти направляючі косинуси нормального вектора площини
2х-2у-z+8=0.
Варіант 10
Розв’язати рівняння ХА+2В=С, де
,
,
.
У відповіді вказати значення Ах12.
Розв’язати систему методом Гауса
Знайти координати точки перетину прямих:
5х-у+3=0 і 25х-3у+25=0.
Знайти координати точки К, яка симетрична точці N(-13;4) відносно прямої
3х+4у=27.
Обчислитиі відстань від точки (1;0;2) до площини
2х+2у-z-12=0.
Знайти координати точки перетину площини XOУ з прямою
Знайти координати точки перетину прямой і площини
і
Записати рівняння прямої в канонічному вигляді:
Знайти направляючий вектор прямої
5х-2у+10=0.
Знайти орт нормального вектора площини
3у-4z-19=0.
Варіант 11
Розв’язати рівняння ХА-В=2С, де
,
,
.
У відповіді вказати значення Ах12.
Розв’язати систему методом Гауса
Знайти координати точки перетину двох прямих:
2х-3у-4=0 і х-у=3.
Знайти координати точки К, яка симетрична точці N(-5;-2) відносно прямої
х+2у=1.
Обчислити кут між площинами
і
.Знайти координати точки перетину площини XOZ з прямою
х=3t-5, y=t+1, z=3-t.
Знайти координати проекції точки (4;1;2) на площину
3х-у+2z-1=0.
Записати рівняння прямої в канонічному вигляді:
Знайти направляючий вектор прямої
2х+5у-20=0.
Знайти направляючі косинуси нормального вектора площини
х+2у+2z-15=0.
Варіант 12
Розв’язати рівняння АХ+2В=С, де
,
,
.
У відповіді вказати значення Ах12.
Розв’язати систему методом Гауса
Знайти координати точки перетину двох прямих:
2х+3у+1=0 і 4х-у=12.
Знайти координати точки К, яка симетрична точці N(-5;-2) відносно прямої
х+2у=1.
Обчислитиі відстань від точки (1;-1;-1) до площини
х-2у+2z+2=0.
Знайти координати точки перетину площини YOZ з прямою
.
Знайти координати проекції точки (5;5;0) на площину
х+у-4z-1=0.
Записати рівняння прямої в канонічному вигляді:
Знайти направляючий вектор прямої
х-2у+4=0.
Знайти орт нормального вектора площини
2у-2z+11=0.
Варіант 13
Розв’язати рівняння ХА-В=2С, де
,
,
.
У відповіді вказати значення Ах12.
Розв’язати систему методом Гауса
Знайти координати точки перетину двох прямих:
х+4у-4=0 і 4у-х=4.
Знайти координати точки К, яка симетрична точці N(3;1) відносно прямої
4х+у-64=0.
Обчислити кут між площинами:
2х-у+2z-1=0 і х-у+2=0.
Знайти координати точки перетину площини XOY з прямою
х=2t-1, y=t+2, z=t-2.
Знайти координати проекції точки (-1;-1;3)на площину
2х+2у-z-2=0.
8. Записати рівняння прямої в канонічному вигляді:
Знайти направляючий вектор прямої
5х-2у-10=0.
Знайти направляючі косинуси нормального вектора площини
7х+4у+4z-5=0.
Варіант 14
Розв’язати рівняння AX+2В=С, де
,
,
.
У відповіді вказати значенняАх12.
Розв’язати систему методом Гауса
Знайти координати точки перетину двох прямих:
3х+у+2=0 і 9х+2у+9=0.
Знайти координати точки К, яка симетрична точці N(-10;3) відносно прямої
х-3у=1.
Обчислитиі відстань від точки (1;0;-2) до площини
2х-2у+z+6=0.
Знайти координати точки перетину площини YOZ з прямою
.
Знайти координати проекції точки (3;1;-1)на площину
3х+у+z-20=0.
Записати рівняння прямої в канонічному вигляді:
Знайти направляючий вектор прямої
2х-у-6=0.
Знайти орт нормального вектора площини
4х-7у+4z+11=0.
Варіант 15
Розв’язати рівняння ХА-В=2С, де
,
,
.
У відповіді вказати значення Ах12.
Розв’язати систему методом Гауса
Знайти координати точки перетину двох прямих:
x-5у+4=0 і х+4у=5.
Знайти координати точки К, яка симетрична точці N(-1;2) відносно прямої
3х+2у=27.
Обчислити кут між площинами:
х+у-2=0 і х+2у+2z-3=0.
Знайти координати точки перетину площини XOZ з прямою
Знайти координати проекції точки (3;1;-4)на площину
х+2у-3z+3=0.
Записати рівняння прямої в канонічному вигляді:
Знайти направляючий вектор прямої
2х+7у-14=0.
Знайти направляючі косинуси нормального вектора площини
7х-4у-4z-1=0.
Варіант 16
Розв’язати рівняння АХ=В, де
,
.
У відповіді вказати значення Ах12.
Розв’язати систему методом Гауса
Знайти координати точки перетину двох прямих:
2х-5у+3=0 і -4 х+3у=20.
Знайти координати точки К, яка симетрична точці N(-1;2), відносно прямої
3х+2у=27.
Знайти відстань від точки М (-2;-2;-1) площини
2х+у-2z+1=0
Знайти координати точки перетину прямої
з
площиною ю XOY.
Пряма, що проходить крізь точку M (-1; 4; 2), перпендикулярна до площини –3х+12у+z+6=0. Знайти ординату точки перетину прямої і площини.
Привести до каноничног вигляду рівняння прямої
Знайти направляючий вектор прямої
2х+у+3=0.
Знайти направляючі косинуси нормального вектора площини
3х+2у+6z+2=0.
Варіант 17
Розв’язати рівняння ХА=В, де
,
.
У відповіді вказати значення Ах12.
Розв’язати систему методом Гауса
Знайти координати точки перетину двох прямих:
2х-у+2=0 і -2 х+у=2.
Знайти координати точки К, яка симетрична точці N(-10;-3), відносно прямої
х+3у=1.
Знайти кут між площинами
4х-у-4z-2=0 і 4х+4y+3z-1=0.
Знайти координати точки перетину прямої
з площиною ZOY.
Пряма, що проходить крізь точку M (5;-2; -1), перпендикулярна до площини 3х-3у+2z+3=0. Знайти абсцису точки перетину прямої і площини.
Привести до канонічного вигляду рівняння прямої
