- •Вариант №1
- •Вариант №2
- •Вариант №3
- •Вариант №4
- •Вариант №5
- •Вариант №6
- •Вариант №7
- •Вариант №8
- •Вариант №9
- •Вариант №10
- •Вариант №11
- •Вариант №12
- •Вариант №13
- •Вариант №14
- •Вариант №15
- •Вариант №16
- •Вариант №17
- •Вариант №18
- •Вариант №19
- •Вариант №20
- •Вариант №21
- •Вариант №22
- •Вариант №23
- •Вариант №24
- •Вариант №25
- •Вариант №26
- •Вариант №27
- •Вариант №28
- •Вариант №29
- •Вариант №30
Вариант №1
Создайте рабочую книгу под именем, содержащим вид работы, номер студенческой группы, вашу фамилию и номер варианта, например, РГР ПГС-101 Петров (в.12).
Используя табличный процессор MS Excel, выполните нижеследующие задания.
Задание 1
Вычислить значения выражений, указанных в таблице, по заданным расчетным формулам и наборам исходных данных. Исходные данные и результаты вычислений отобразить на рабочем листе Задача 1.
1.
2.
3.
|
4. 2 5.
6.
|
|
Задание 2
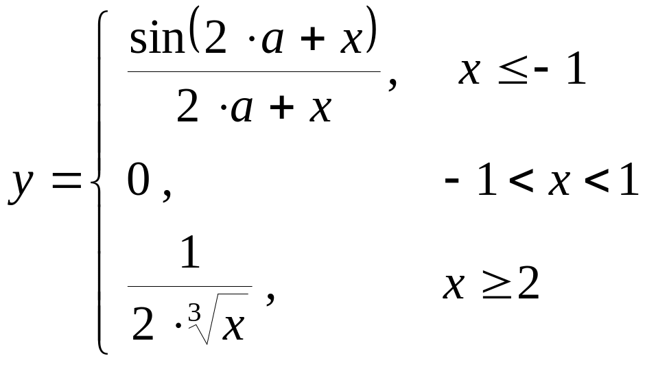
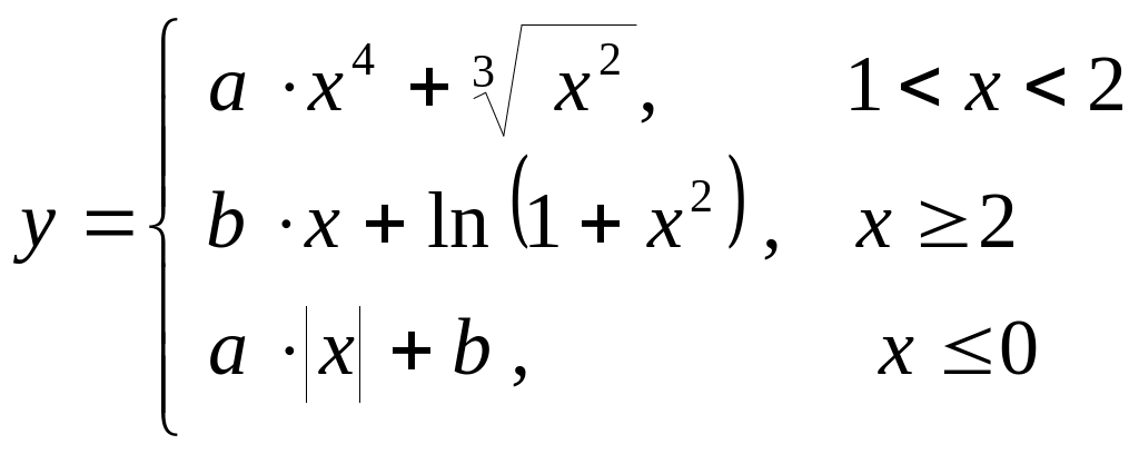
Построить таблицу значений функции y при изменении x в заданном диапазоне значений от хнач до хкон с шагом x. Представить график функции в виде точечной диаграммы. Исходные данные, результаты вычислений и диаграмму отобразить на рабочем листе Задача 2.
|
|
Задание 3
Определить, можно ли решить систему линейных уравнений.
Если решение существует, найти его, используя два средства MS Excel: матричные операции; средство Поиск решения. Результаты вычислений отобразить на рабочем листе Задача 3.
Задание 4
Решить транспортную задачу с помощью средства Поиск решения. Результаты вычислений отобразить на рабочем листе Задача 4.
Задача. Имеется три пункта поставки
однородного груза, пять пунктов
потребления этого груза. В пунктах
поставки находится груз в количествах
и
соответственно. В пункты потребления
необходимо доставить груз в количествах
соответственно
.
Издержки на транспортировку единицы
груза из пунктов поставки в соответствующие
пункты потребления сведены в таблицу
– матрицу издержек
.
Найти такой план закрепления потребителей
за поставщиками однородного груза,
чтобы общие затраты на перевозку были
минимальными.
|
|
|
Вариант №2
Создайте рабочую книгу под именем, содержащим вид работы, номер студенческой группы, вашу фамилию и номер варианта, например, РГР ПГС-101 Петров (в.12).
Используя табличный процессор MS Excel, выполните нижеследующие задания.
Задание 1
Вычислить значения выражений, указанных в таблице, по заданным расчетным формулам и наборам исходных данных. Исходные данные и результаты вычислений отобразить на рабочем листе Задача 1.
1.
2.
3.
|
4.
5.
6.
|
= 2,8 = –1,6 = –3,5 |
Задание 2
Построить таблицу значений функции y при изменении x в заданном диапазоне значений от хнач до хкон с шагом x. Представить график функции в виде точечной диаграммы. Исходные данные, результаты вычислений и диаграмму отобразить на рабочем листе Задача 2.
|
|
Задание 3
Определить, можно ли решить систему линейных уравнений.
Если решение существует, найти его, используя два средства MS Excel: матричные операции; средство Поиск решения. Результаты вычислений отобразить на рабочем листе Задача 3.
Задание 4
Решить транспортную задачу с помощью средства Поиск решения. Результаты вычислений отобразить на рабочем листе Задача 4.
Задача. Имеется три пункта поставки однородного груза, пять пунктов потребления этого груза. В пунктах поставки находится груз в количествах и соответственно. В пункты потребления необходимо доставить груз в количествах соответственно . Издержки на транспортировку единицы груза из пунктов поставки в соответствующие пункты потребления сведены в таблицу – матрицу издержек . Найти такой план закрепления потребителей за поставщиками однородного груза, чтобы общие затраты на перевозку были минимальными.
|
|
|

.
.