- •Контрольная работа № 1 (ок-7, опк-1) по модулю «Элементы линейной алгебры и аналитической геометрии» Вариант 1.
- •Вариант 2.
- •Вариант 3.
- •Вариант 4.
- •Вариант 5.
- •Вариант 6.
- •Вариант 7.
- •Вариант 8.
- •Вариант 9.
- •Вариант 10.
- •Вариант 11.
- •Вариант 12.
- •Вариант 13.
- •Вариант 14.
- •Вариант 15.
- •Вариант 16.
- •Вариант 17.
- •Вариант 18.
- •Вариант 19.
- •Вариант 20.
- •Вариант 21.
- •Вариант 22.
- •Вариант 23.
- •Вариант 24.
- •Вариант 25.
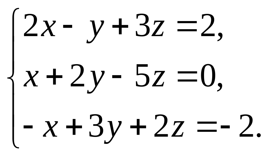
Контрольная работа № 1 (ок-7, опк-1) по модулю «Элементы линейной алгебры и аналитической геометрии» Вариант 1.
Даны матрицы А и В, найдите: a) A+3B; b) АС
Решите систему линейных уравнений методом Крамера
Для векторов
,
найдите:
скалярное произведение
;векторное произведение
;смешанное произведение
На плоскости заданы три точки А(-1,-3), В(5,-2), С(1,4), найдите:
уравнение и длину стороны АВ;
расстояние от точки С до стороны АВ.
Приведите уравнение кривой к каноническому виду, определите ее тип и выполните чертеж
.Даны вершины тетраэдра А(1,3,6), В(2,2,1), С(-1,0,1), D(- 4,6,-3). Найдите:
уравнение ребра AD;
уравнение плоскости АВС;
расстояние от точки D до плоскости ABC.
Вариант 2.
Даны матрицы А и В, найдите: a) A+3B; b) АС
Решите систему линейных уравнений методом Крамера
Для векторов
,
найдите:
скалярное произведение ;
векторное произведение ;
смешанное произведение
На плоскости заданы три точки А(-2,-4), В(-4,-8), С(0,1), найдите:
уравнение и длину стороны АВ;
расстояние от точки С до стороны АВ.
Приведите уравнение кривой к каноническому виду, определите ее тип и выполните чертеж
.Даны вершины тетраэдра А(-4,2,6), В(2,-3,0), С(-10,5,8), D(- 5,2,-4). Найдите:
уравнение ребра AD;
уравнение плоскости АВС;
расстояние от точки D до плоскости ABC.
Вариант 3.
Даны матрицы А и В, найдите: a) A+3B; b) АС
Решите систему линейных уравнений методом Крамера
Для векторов
,
найдите:скалярное произведение ;
векторное произведение ;
смешанное произведение
На плоскости заданы три точки А(0,4), В(8,2), С(6,4), найдите:
уравнение и длину стороны АВ;
расстояние от точки С до стороны АВ.
Приведите уравнение кривой к каноническому виду, определите ее тип и выполните чертеж
.Даны вершины тетраэдра А(7,2,4), В(7,-1,-2), С(3,3,1), D(-4,2,1). Найдите:
уравнение ребра AD;
уравнение плоскости АВС;
расстояние от точки D до плоскости ABC.
Вариант 4.
Даны матрицы А и В, найдите: a) A+3B; b)АС
Решите систему линейных уравнений методом Крамера
Для векторов
,
найдите:
скалярное произведение ;
векторное произведение ;
смешанное произведение
На плоскости заданы три точки А(-3,1), В(5,-2), С(1,4), найдите:
уравнение и длину стороны АВ;
расстояние от точки С до стороны АВ.
Приведите уравнение кривой к каноническому виду, определите ее тип и выполните чертеж
.Даны вершины тетраэдра А(2,1,4), В(-1,5,-2), С(-7,-3,2), D(-6,-3,6). Найдите:
уравнение ребра AD;
уравнение плоскости АВС;
расстояние от точки D до плоскости ABC.
Вариант 5.
Даны матрицы А и В, найдите: a) A+3B; b) АС
Решите систему линейных уравнений методом Крамера
Для векторов
,
найдите:скалярное произведение ;
векторное произведение ;
смешанное произведение
На плоскости заданы три точки А(1,3), В(-1,2), С(3,-4), найдите:
уравнение и длину стороны АВ;
расстояние от точки С до стороны АВ.
Приведите уравнение кривой к каноническому виду, определите ее тип и выполните чертеж
.Даны вершины тетраэдра А(-1,-5,2), В(-6,0,-3), С(3,6,-3), D(-10,6,7). Найдите:
уравнение ребра AD;
уравнение плоскости АВС;
расстояние от точки D до плоскости ABC.
