- •4.7. Правило лопіталя
- •Приклади розв'язування задач
- •4.8. Дослідження функції
- •Приклади розв'язування задач
- •4.9. Застосуванння похідних в економічних розрахунках
- •1. Економічних зміст похідної
- •2. Граничні показники в мікроекономіці.
- •3. Еластичність попиту і пропозиції.
- •Властивості еластичних функцій
- •Приклади розв'язування задач
- •Задачі для аудиторної і самостійної роботи
РОЗДІЛ IV
ДИФЕРЕНЦІАЛЬНЕ ЧИСЛЕННЯ ФУНКЦІЇ
ОДНІЄЇ ЗМІННОЇ
Похідною
функції
по фрагменту
називають границю відношення приросту
функції до приросту аргументу, коли
приріст аргумента прямує до нуля і
позначають:
,
,
,
,
тобто
4.1. ОСНОВНІ ПРАВИЛА ДИФЕРЕНЦІЮВАННЯ
,
де
наслідок:
,
де
.
4.2. ПОХІДНА СКЛАДНОЇ ФУНКЦІЇ
Нехай
,
а
,
тоді
складна функція. В цьому випадку
4.3. ТАБЛИЦЯ ПОХІДНИХ
1)
|
6)
|
2)
|
7)
|
2')
|
8)
|
3)
|
9)
|
3')
|
10)
|
4)
|
11)
|
5)
|
|
ПРИКЛАДИ РОЗВ'ЯЗУВАННЯ ЗАДАЧ
Знайти похідні функцій:
Приклад 1.
Приклад 2.
Приклад 3
4.4. ПОХІДНА НЕЯВНО ЗАДАНОЇ ФУНКЦІЇ
Нехай
змінні
та
зв’язані між собою деяким рівнянням
,
тобто функція
задано
неявно. Для того щоб знайти похідну
неявно заданої функції необхідно знайти
похідну від лівої і правої частини по
,
враховуючи, що
є
функцією
,
а потім виразити
.
Розглянемо це на прикладі:
ПРИКЛАДИ РОЗВ'ЯЗУВАННЯ ЗАДАЧ
Приклад 1.
. Знайти :
1)
2)
4.5. ПОХІДНІ ВИЩИХ ПОРЯДКІВ
Похідну
від першої похідної називають похідною
другого
порядку
або другою
похідною
і позначають
.
Похідною
го
порядку від функції
називають похідну від похідної
го
порядку і позначають
.
4.6. ДИФЕРЕНЦІАЛ ФУНКЦІЇ
Диференціалом
функції
називають величину пропорційну
нескінченно малому приросту аргумента
,
яка відрізняється від відповідного
приросту функції на нескінченно малу
величину більш високого порядку, ніж
.
Таким
чином, якщо функція
має похідну
,
то добуток цієї похідної на
і є диференціалом функції:
.
Властивості диференціалу:
1)
;
2)
;
3)
;
4)
.
4.7. Правило лопіталя
Нехай
та
- дві неперервні на відрізку
і диференційовані всередині нього
функції, причому
не перетворюється в нуль всередині
відрізка і нехай
,
тобто перетворюється на нуль при
.
Тоді, якщо існує границя відношення
при
,
то існує і границя відношення
при
,
причому
.
Наслідки:
1) Якщо і задовольняють тим же умовам, які накладались на і , то
.
2) Теорема має місце і в тому випадку, коли і не визначені при , але
і
.
3) правило Лопіталя можна застосовувати і в тому випадку, коли
і
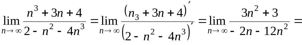
Приклади розв'язування задач
Приклад 1.
За правилом Лопіталя знайти границі.
а)
б)
в)
4.8. Дослідження функції
Достатня умова зростання функції.
Якщо
функція
неперервна на відрізку
і диференційована на інтервалі
,
при цьому
для будь-яких
,
то функція зростає на
.
Достатня умова спадання функції.
Якщо
функція
неперервна на відрізку
і диференційована на інтервалі
,
при цьому
для всіх
,
то функція спадає на відрізку
Функція
в т.
має мінімум,
якщо значення функції в цій точці менша
ніж значення функції в деякому околі
цієї точки.
Функція в т. має максимум, якщо значення функції в цій точці більше ніж значення функції в деякому околі цієї точки.
Точки максимуму та мінімуму називають точками екстремуму функції.
Точки, в яких перша похідна дорівнює нулю або не існує називають критичними точками.
Достатня умова існування екстремуму.
Нехай функція неперервна на деякому інтервалі, який містить критичну точку , і диференційована в усіх точках цього інтервалу за винятком, можливо, самої точки . Тоді
1) якщо при переході зліва на право через точку перша похідна змінює знак «+» на «-», то в цій точці функція має максимум;
2) якщо при переході зліва на право через точку перша похідна змінює знак «-» на «+», то в цій точці функція має мінімум;
3) якщо при переході через точку похідна не змінює знаку, то в даній точці екстремуму не має.
Опуклості та вгнутість кривої.
Криву називають вгнутою (або повернутою опуклістю вниз) на інтервалі , якщо всі точки кривої лежать вище будь-якої її дотичної на цьому інтервалі.
Криву називають опуклою (або повернутою опуклістю вгору) на інтервалі , якщо всі точки кривої лежать нижче ніж будь-яка її дотична на цьому інтервалі.
Точки, які відділяють вгнуту частину кривої від опуклої називають точками перетину.
Умова опуклості функції.
Якщо в усіх точках інтервалу друга похідна функції від’ємна , то крива на цьому інтервалі опукла.
Умова вгнутості функції.
Якщо в усіх точках інтервалу друга похідна функції додатня, то крива на цьому інтервалі вгнута.
Достатня умова існування точок перегину.
Нехай
неперервна в точці
крива визначена рівнянням
.
Якщо
,
або
не існує, а при переході через точку
похідна
змінює знак, то точка кривої із абсцисою
є точкою перегину.
Асимптоти кривої.
Пряму
називають асимптотою кривої, якщо
відстань від змінної точки
кривої до даної прямої при віддаленні
точки
в нескінченність прямує до нуля.
Асимптоту, паралельну осі ординат називають вертикальною.
Щоб знайти вертикальну асимптоту, необхідно знайти таке значення , для якого буде виконуватися одна із рівностей
;
;
;
.
Тоді буде вертикальною асимптотою.
Похилою асимптотою будемо називати асимптоту не паралельну осі ординат. Шукають похилі асимптоти у вигляді
.
Для
відшукання коефіцієнтів
і
необхідно обчислити границі
,
.
Визначивши , можна знайти із відповідних рівностей.
та
Загальна схема дослідження функції.
1) знаходимо область визначення функції;
2) знаходимо точки перетину графіка функції з осями координат;
3) знаходимо інтервали зростання та спадання функції, а також точки максиму та мінімуму функції;
4) знаходимо інтервали опуклості та вгнутості графіка, а також точки перетину;
5) знаходимо вертикальні та похилі асимптоти;
6) за одержаними результатами будуємо графік функції.
