- •Линейная алгебра и аналитическая геометрия Контрольная работа №1
- •Контрольная работа №2
- •Математический анализ Контрольная работа №1
- •Контрольная работа №2
- •Контрольная работа №3
- •Контрольная работа №4
- •Теория вероятностей и математическая статистика Контрольная работа
- •Методы оптимальных решений Контрольная работа
- •Варианты задания
- •Вариант 1 Вариант 2 Вариант 3
- •Вариант 10
- •Варианты задания Вариант 1
- •Вариант 2
- •Вариант 3
- •Вариант 4
- •Вариант 5
- •Вариант 6
- •Вариант 7
- •Вариант 8
- •Вариант 9
- •Теория игр Контрольная работа
- •Вариант № 1.
- •Вариант № 2.
- •Вариант № 3.
- •Вариант № 4.
- •Вариант № 5.
- •Вариант № 6.
- •Вариант № 7.
- •Вариант № 8.
- •Вариант № 9.
- •Вариант № 10.
- •Статистические методы обработки экспериментальных данных Контрольная работа
- •Методические указания
- •Задание 3. Принятие решений в условиях неопределенности Вариант № 1.
- •Вариант № 2.
- •Вариант № 3.
- •Вариант № 4.
- •Вариант № 5.
- •Вариант № 6.
- •Вариант № 7.
- •Вариант № 8.
- •Вариант № 9.
- •Вариант № 10.
- •Задание 4. Системы массового обслуживания (смо) Вариант № 1.
- •Вариант 2.
- •Вариант 3.
- •Вариант 4.
- •Вариант 5.
- •Вариант 6.
- •Вариант 7.
- •Вариант 8.
- •Вариант 9.
- •Вариант 10.
Федеральное государственное бюджетное образовательное
учреждение высшего профессионального образования
«Брянская государственная инженерно-технологическая
академия»
Муравьев А.Н., Котова И.А.,
Балухтина В.И.
СБОРНИК
КОНТРОЛЬНЫХ РАБОТ
ПО МАТЕМАТИЧЕСКИМ ДИСЦИПЛИНАМ ДЛЯ СТУДЕНТОВ ЗАОЧНОЙ ФОРМЫ ОБУЧЕНИЯ
(направления «Экономика», «Менеджмент»)
Брянск 2013
Федеральное государственное бюджетное образовательное
учреждение высшего профессионального образования
«Брянская государственная инженерно-технологическая
академия»
Кафедра математики
Утверждены
Научно-методическим
Советом БГИТА
Протокол №___от________
СБОРНИК
КОНТРОЛЬНЫХ РАБОТ
ПО МАТЕМАТИЧЕСКИМ ДИСЦИПЛИНАМ
ДЛЯ СТУДЕНТОВ ЗАОЧНОЙ ФОРМЫ
ОБУЧЕНИЯ
(направления «Экономика», «Менеджмент»)
Брянск 2013
Составители: доц. Муравьев А.Н., Котова И.А., Балухтина В.И.
Компьютерный набор: Муравьев А.Н.
Рецензент: к.ф.- м. н. профессор Евтюхов К.Н.
Рекомендованы:
Учебно-методической
комиссией механического факультета
протокол №_______от__________
Линейная алгебра и аналитическая геометрия Контрольная работа №1
Задание
1.
Найти матрицу С=
.
1.
2.
3.
4.
5.
6.
7.
8.
9.
10.
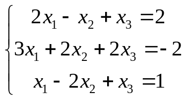
Задание 2. Решить систему линейных алгебраических уравнений двумя способами: 1) методом Крамера; 2) с помощью обратной матрицы.
1.
2.
3.
4.
5.
6.
7.
8.
9.
10.
Задание 3. Решить систему методом Гаусса.
1.
2.
3.
4.
5.
6.
7.
8.
9.
10.
Задание
4. Найти
собственные числа и собственные векторы
матрицы
.
1.
2.
3.
4.
5.
6.
7.
8.
9.
10.
Контрольная работа №2
Задание
1.
Даны координаты вершин пирамиды
.
Требуется найти: 1) длину ребра
;
2) угол между ребрами
и
;
3) угол между ребром
и гранью
;
4) площадь грани
;
5) объем пирамиды; 6) уравнения прямой
;
7) уравнение плоскости
;
8) уравнения высоты, опущенной из вершины
на грань
.
Сделать чертеж.
1.
2.
3.
4.
5.
6.
7.
8.
9.
10.
Задание 2.
Написать уравнения сторон треугольника АВС, если задана его вершина
и уравнения двух медиан
и
Сделать чертеж.Написать уравнения сторон треугольника, зная одну его вершину
,
а также уравнения высоты
и медианы
,
проведенных из различных вершин. Сделать
чертеж.Найти внутренние углы треугольника, если даны уравнения его сторон AB:
и AC:
,
и основание
высоты AD.
Сделать чертеж.Две стороны параллелограмма заданы уравнениями
и
.
Диагонали его пересекаются в начале
координат. Написать уравнения двух
других сторон параллелограмма и его
диагоналей. Сделать чертеж.Найти вершины прямоугольного равнобедренного треугольника, если дана вершина прямого угла
и уравнение гипотенузы
Сделать чертеж.Даны две вершины треугольника
и
и точка пересечения высот
.
Найти третью вершину С.
Сделать чертеж.Стороны АВ и ВС параллелограмма заданы уравнениями
и
,
диагонали его пересекаются в точке
.
Найти длины его высот. Сделать чертеж.Вычислить координаты вершин ромба, если известны уравнения двух его сторон:
и
,
и уравнение одной из его диагоналей:
.
Сделать чертеж.Составить уравнения сторон треугольника, зная одну его вершину
,
и уравнения высот BM:
и
,
где М-точка
пересечения высот. Сделать чертеж.В треугольнике АВС даны уравнение стороны AB:
,
уравнение высоты BM:
,
уравнение высоты AM:
,
где М-точка
пересечения высот. Написать уравнения
сторон АС,
ВС и высоты
СМ.
Сделать чертеж.
Задание 3.
Написать уравнение кривой, каждая точка которой находится на одинаковом расстоянии от точки
и от оси
.
Сделать чертеж.Написать уравнение кривой, сумма квадратов расстояний от каждой точки которой до точек
и
равна 50. Сделать чертеж.Написать уравнение кривой, расстояние от каждой точки которой до точки
вдвое меньше расстояния до точки
.
Сделать чертеж.Написать уравнение кривой, модуль разности расстояний, от каждой точки которой до точек
и
равен 4. Сделать чертеж.Написать уравнение кривой, каждая точка которой находится на одинаковом расстоянии от точки
и от оси
.
Сделать чертеж.Написать уравнение кривой, каждая точка которой отстоит от точки
вдвое дальше, чем от прямой
.
Сделать чертеж.Написать уравнение кривой, для каждой точки которой расстояние от точки
вдвое меньше расстояния от прямой
.
Сделать чертеж.Написать уравнение кривой, сумма расстояний, от каждой точки которой до точек
и
равна 2
.
Сделать чертеж.Написать уравнение кривой, сумма квадратов расстояний, от каждой точки которой до точек
и
равна 27. Сделать чертеж.Составить уравнение кривой, для каждой точки которой расстояния от начала координат и от точки
относятся как 3:2. Сделать чертеж.
Задание
4. Дана
функция
на отрезке
.
Требуется:
1)
построить график функции в полярной
системе координат по точкам, давая
значения через промежуток
,
начиная от
;
2)
найти
уравнение линии в прямоугольной
декартовой системе координат, начало
которой совпадает с полюсом, а положительная
полуось абсцисс - с полярной осью; 3)
по полученному уравнению определить,
какая это будет линия; 4)
сделать чертеж.
1.
2.
3.
4.
5.
6.
7.
8.
9.
10.
Задание
5.
Дано комплексное число
.
Требуется: 1) записать число
в алгебраической и тригонометрической
формах; 2) найти все корни уравнения
.
1.
2.
3.
4.
5.
6.
7.
8.
9.
10.
