- •Математика
- •Содержание
- •Введение
- •1 Инструкция по работе с учебно–методическим пособием
- •2 Программа дисциплины
- •Тема 1. Элементы линейной и векторной алгебры.
- •Вопросы для самоконтроля
- •Тема 2. Элементы аналитической геометрии
- •Вопросы для самоконтроля
- •Тема 3. Комплексные числа
- •Вопросы для самоконтроля
- •Тема 4. Введение в математический анализ.
- •Вопросы для самоконтроля
- •Тема 5. Дифференциальное исчисление
- •Вопросы для самоконтроля
- •3 Контрольные работы
- •4 Задания на контрольную работу
- •5 Содержание и оформление контрольных работ
- •6 Темы практических занятий
- •7 Вопросы для подготовки к экзамену (зачету)
- •8 Список рекомендуемой литературы
- •Математика
Тема 4. Введение в математический анализ.
Понятие функции. Предел функции. Односторонние пределы. Предел функции при х→∞. Бесконечно малые и бесконечно большие функции, связь между ними. Основные теоремы о пределах. Первый и второй замечательный пределы. Непрерывность функции. Свойства функций, непрерывных на отрезке. Точки разрыва и их классификация.
Литература: [1, гл.2 §2-11], [4, гл.4 §2-9].
Вопросы для самоконтроля
1. Что называется пределом функции.
2. Бесконечно малые и бесконечно большие функции.
3. Раскрытие неопределенностей 0/0 и ∞/∞.
4. Первый и второй замечательный пределы, их следствия.
5. Дать определение непрерывности функции.
6. Точки разрыва и их классификация.
Тема 5. Дифференциальное исчисление
Производная функции, ее геометрический смысл. Основные правила и формулы дифференцирования. Производная сложной, обратной функции. Производные высших порядков. Некоторые теоремы о дифференцируемых функциях. Приложения производной. Правило Лопиталя. Условия монотонности функций. Необходимое и достаточное условия экстремума. Выпуклость и вогнутость, точки перегиба графика функции. Асимптоты. Общая схема исследования функции.
Литература:[1, гл.3 §2-16, гл.5 §2-11], [4, гл.5 §1-7, гл.6 §2,4], [2, гл.7 §1,2].
Вопросы для самоконтроля
Дать определение производной функции, ее геометрический и физический смысл.
Сформулировать основные правила дифференцирования.
Основные приложения производной.
Как определить промежутки монотонности и экстремумы функции.
Сформулировать необходимое и достаточное условия экстремума.
Определение выпуклости и вогнутости, точек перегиба графика функции.
Нахождение асимптот графика функции.
3 Контрольные работы
Программой дисциплины «Математика» для студентов I курса в первом семестре предусмотрено выполнение одной контрольной работы.
При выполнении
контрольной работы необходимо изучить
элементы линейной и векторной алгебры,
аналитической геометрии на плоскости
и в пространстве, а также ознакомиться
с теорией кривых второго порядка и
комплексными числами. Необходимо
научиться вычислять основные типы
пределов - неопределенности
,
первый и второй замечательный пределы.
Изучить понятие непрерывности функции,
основы дифференциального исчисления
функции одной переменной, а также их
приложения к исследованию функции.
Ниже приведены примеры выполнения расчетов.
К заданиям 1-10
Пример. Доказать,
что векторы
линейно независимы и найти разложение
вектора
по векторам
.
Решение.
,
.
Покажем, что векторы
- некомпланарны. Для этого найдем их
смешанное произведение:
=
= 1 – 18 - 0 - 4 - 0- 3 = - 24.
Так как смешанное
произведение отлично от нуля, то векторы
линейно независимы. Найдем разложение
вектора
по векторам
,
т.е.
,
где
-
неизвестные величины; для нахождения
этих величин составим систему трех
уравнений:
=
.
Решим эту систему методом Гаусса. Первое уравнение оставим без изменения, для получения второго сложим два первых, а третье сложим с первым, умножим на (-2):
<=>
.
Первые два уравнения последней системы оставим без изменения, а третье сложим со вторым:
<=>
<=>
.
Таким образом,
.
Ответ: .
К заданиям 11-20 По координатам вершины пирамиды А1А2А3А4 найти:
длину ребра А1А2;
угол между ребрами А1А2 и А1А4;
площадь грани А1А2А3;
объем пирамиды;
уравнения плоскостей А1А2А3 и А1А2А4 ;
угол между плоскостями А1А2А3 и А1А2А4.
1) Если заданы точки A1(x1, y1, z1) , А2(x2, y2, z2), то координаты вектора:
тогда длина вектора
вычисляется по формуле
.
2) Из определения скалярного произведения следует, что угол между векторами вычисляется по формуле
.
3)
- площадь треугольника, построенного
на векторах
и
.
4) Учитывая
геометрический смысл смешанного
произведения векторов, получим формулу
вычисления объема пирамиды :
.
5) Если даны три точки А1(x1; y1; z1), А2(x2; y2; z2) и А3(x3; y3; z3), то уравнение плоскости, проходящей через три точки, находится по формуле
(1)
Например
Составить уравнение плоскости, проходящей через три точки А1 , А2 ,А3, если А1(-3, 2, 0), А2(-2, 0, 2), А3(0, 3, -1).
Решение: по формуле
(1) получим
,
Итак, уравнение плоскости имеет вид −4х+7у+7z-26=0, где нормаль имеет координаты N(-4; 7; 7).
6) Угол, образованный двумя плоскостями, находится по формуле
где
- нормали плоскостей.
К заданиям 21-30
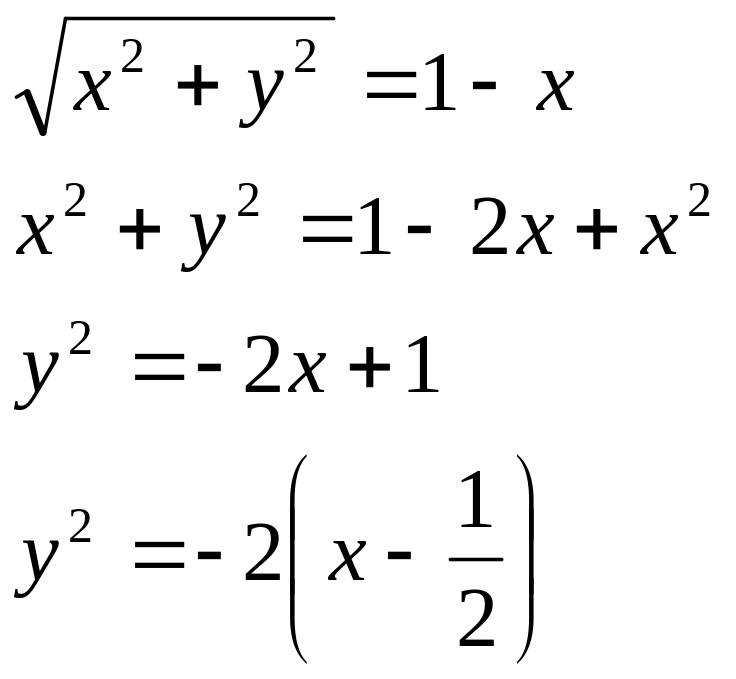
Пример. Найти
уравнение данной кривой в декартовой
системе координат, у которой начало
совпадает с полюсом, а положительная
полуось абсцисс – с полярной осью:
.
Связь между
полярными и прямоугольными координатами
точки устанавливаются формулами:
По условию
,
имеем
;
;
;
Это каноническое
уравнение параболы с вершиной в точке
.
К заданиям 31-40 Найти решение системы с помощью правила Крамера
Для систем трех уравнений с тремя неизвестными
правило
Крамера имеет вид:
,
где
Определитель третьего порядка, обозначаемый символом
∆=
,
вычисляется по правилу треугольника:
.
Например
Решение.
.
Ответ: (1, -2, 3).
Применение метода Гаусса приведено в примере к заданиям 1-10.
К заданиям 41 ‑ 50
Пример. Представить
число
в
алгебраической форме.
Решение.
.
Пример. Представить число 1+i в тригонометрической форме.
Решение
Вычислим модуль
.
Найдем аргумент из системы уравнений
Поделим второе уравнение на первое, получим
Системе уравнений
удовлетворяет значение
Следовательно, тригонометрическая
форма имеет вид
.
К заданиям 51-60
Вычислить пределы функций, не пользуясь правилом Лопиталя.
При
вычислении предела дробно-рациональной
функции
при
числитель и знаменатель дроби—величины
бесконечно большие, т.е. получаем
выражение
которое представляет собой неопределённость.
Для вычисления предела этой функции
нужно числитель и знаменатель дроби
разделить на наивысшую степень х.
Пример 1.
Решение.
Для вычисления предела этой функции
нужно числитель и знаменатель разделить
на
:
(при
слагаемые
—
величины бесконечно малые и, следовательно,
их пределы равны нулю).
В
том случае, когда при вычислении предела
дробно-рациональной функции при
числитель и знаменатель имеют предел,
равный нулю, т.е. имеем неопределенность
,
надо разделить
их на
и перейти к пределу. Если после деления
окажется, что при
числитель и знаменатель снова имеют
пределы, равные нулю, то надо
произвести повторное деление на
.
Пример 2.
.
Здесь мы имеем неопределенность вида . Домножим числитель и знаменатель дроби на выражение, сопряженное числителю (избавимся от иррациональности в числителе):
.
При вычислении пределов тригонометрических функций часто используется первый замечательный предел и его следствия:
Пример 3.
Решение. Преобразовав разность косинусов в произведение, получим
Если
в пределе получаем неопределенность
,
используем второй
замечательный предел
(2)
Пример 4.
Решение. Выполнив
преобразования и применив второй
замечательный предел, найдём
Пример 5.
Решение. Выполнив преобразования и применив формулу (2), найдём
К заданиям 61-70
Пример. Задана
функция
.
Найти точки разрыва и определить их
тип. Сделать схематический чертеж.
если
<1,
если
если >2.
Решение. Функции
,
непрерывны на всей числовой прямой,
поэтому данная функция может иметь
разрывы только в точках, где меняется
ее аналитическое выражение, т.е. в точках
и
.
Исследуем функцию
на непрерывность в этих точках, для чего
найдем соответствующие односторонние
пределы и значения функции. В точке
,
.
Таким образом,
.
Значит функция непрерывна в точке
.
В точке
,
.
Таким образом,
,
т.е. функция имеет разрыв Ι рода и
непрерывна слева. Скачок функции
в точке
равен ∆
.
График функции изображен на рисунке
К заданиям 71-80
При выполнении данного задания необходимо знать правила вычисления производной (производная суммы, произведения и частного дух функций), а также изучить таблицу производных.
Пример. Найти
производные
данных функций.
а).
б).
.
в).
.
г).
Прологарифмируем
обе части равенства
.
Тогда
,
т.е.
.
Теперь продифференцируем последнее
равенство
,
т.е.
или
.
Отсюда
.
Учитывая, что
,
имеем
.
д).
.
Дифференцируя обе
части уравнения и учитывая, что
-
есть функция от
(поэтому, например,
),
получим
или
Отсюда находим
:
или
т.е.
.
К заданиям 81-90
Пример. Применяя
формулу Тейлора с остаточным членом в
форме Лагранжа к функции
,
вычислить значение
с точностью до 0,0001. a=0,5.
Решение. Применив
разложение
,
получаем
.
Определим число
n
так, чтобы погрешность приближенного
равенства
не превышала 0,0001. Погрешность этого
равенства определяется суммой членов,
следующих после
в разложении
:
.
<
.
Просуммируем бесконечно убывающую геометрическую прогрессию в квадратных скобках:
<
.
Полагаем
,
тогда
<
,
т.е.
<
.
Путем подбора определяем, при каком
значении
будет выполняться
<0,0001.
Получаем, что при
<
,
<0,0001.
Итак, принимаем
.
.
К заданиям 91-100 и 101-110
Общая схема исследования функции и построения графика.
1. Найти область определения функции.
2. Определить тип функции (четность, нечетность).
3. Найти точки пересечения с осями координат и интервалы
знакопостоянства функции.
4. Найти асимптоты графика функции:
а) вертикальные; б) невертикальные (наклонные).
5. Найти точки возможного экстремума и интервалы возрастания и
убывания функции.
6. Найти точки перегиба и интервалы выпуклости, вогнутости функции.
7. Найти дополнительные точки.
8. Построить график функции, учитывая проведенные исследования.
Пример. Исследовать
функцию
и построить ее график.
Решение
1.
,
.
Область определения
функции:
.
Точки разрыва:
.
2.
.
Так как
,
то функция нечетная. Следовательно, ее
график симметричен относительно точки
О.
3.
.
|
|
|
0 |
|
|
знак |
+ |
- |
0 |
+ |
- |
Расположение графика |
Выше оси Ох |
Ниже оси Ох |
Пересекает ось Ох |
Выше оси Ох |
Ниже оси Ох |
4. а). Вертикальные асимптоты:
;
.
Следовательно,
- точка разрыва второго рода. По свойству
симметрии функции
.
Поэтому уравнения вертикальных асимптот
и
.
Других вертикальных асимптот график не имеет.
б). Наклонные
асимптоты
:
;
.
Итак,
- уравнение наклонной асимптоты графика
функции.
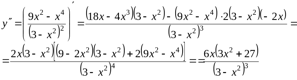
5.
.
,
,
- критические точки.
не существует при
,
поэтому
не является критическими точками.
X |
|
-3 |
|
|
0
|
|
|
3
|
|
|
- |
0 |
+ |
+ |
0 |
+ |
+ |
0 |
- |
|
|
4,5 min
|
|
|
Нет экст.
|
|
|
-4,5 max
|
|
6.
;
при
критическая точка.
не существует при
.
Следовательно, имеется одна критическая
точка
.
|
|
|
0
|
|
|
|
+ |
- |
0 |
+ |
- |
|
|
|
0 |
|
|
7. Дополнительные точки
|
0,5 |
1 |
1,5 |
2 |
3,5 |
4 |
|
0,05 |
0,5 |
4,5 |
-8 |
-4,6 |
-5 |
8.Строим график функции.
