- •По дисциплине «Средства коммутации в системах подвижной радиосвязи»
- •1.2 Расчет пропускной способности каналов
- •19 Дюймовый конструктив 2u;
- •4.2 Шлюз Avaya g650
- •5.2 Комплектация шлюза AvayaG650
- •2400 И 6400, а также пульты оператора 302c/302d и Callmaster IV, V и VI.
- •5.2 Комплектация маршрутизатора Cisco 12000 gsr
Министерство образования и науки Российской Федерации Государственное образовательное учреждение
высшего профессионального образования
Омский государственный технический университет
Кафедра «Средства связи и информационная безопасность»
Пояснительная записка к курсовому проекту по дисциплине
«Средства коммутации в системах подвижной радиосвязи»
На тему: Проектирование мультисервисной сети
Шифр проекта КП-210402-ЗРП-510-СКвСПРС-14
Специальность 210402 “Средства связи с подвижными объектами “
Руководитель проекта _____________________ Е.Д. Бычков
(подпись, дата)
Разработал студент _____________________ Ю.А. Иванов
(подпись, дата)
Омск 2015
ГОУ ВПО «Омский государственный технический университет»
Кафедра «Средства связи и информационная безопасность»
Специальность______________________________________________________________________
Задание
на расчётную работу
По дисциплине «Средства коммутации в системах подвижной радиосвязи»
Студент ____________________________________________________ группа ________________
(Ф.И.О. полностью)
Тема проекта ____________________________________________________________________
__________________________________________________________________________________
__________________________________________________________________________________
Срок сдачи студентом законченного проекта_________________________________________
Исходные данные к проекту_______________________________________________________
__________________________________________________________________________________
__________________________________________________________________________________
__________________________________________________________________________________
Содержание проекта (работы): _____________________________________________________
Разделы пояснительной записки (перечень подлежащих разработке вопросов)
__________________________________________________________________________________
__________________________________________________________________________________
__________________________________________________________________________________
__________________________________________________________________________________
__________________________________________________________________________________
__________________________________________________________________________________
Перечень графического материала (с указанием обязательных чертежей):
__________________________________________________________________________________
__________________________________________________________________________________
5. Основная рекомендуемая литература: 1) Лившиц Б.С., Пшеничников А.П., Харкевич А.Д. Теория телетрафика. -М.: Связь, 1979.-224с 2) Баркун М.А., Ходасевич О.Р. Цифровые системы синхронной коммутации. -М.: Эко-Трендз, 2001.-187с. 3) Абилов А.В. Сети связи и системы коммутации.- М.: Радио и связь, 2004. – 288 с 4) Берлин А. Н. Коммутация в системах и сетях связи.- М.: Эко-Трендз, 2006.- 344 с. 5) Вишневский В.М. Теоретические основы проектирования компьютерных сетей.- М.: Техносфера, 2003. – 512 с.
6. Дата выдачи задания ___________________________________________________________
Зав. кафедрой ___________________________________________________________________
(подпись, дата)
Руководитель ________________________________________________________
(подпись, дата)
Студент ________________________________________________________________________
(подпись, дата)
2
Оглавление
Введение 4
Исходные данные 5
1 Расчет оборудования шлюзов 6
2 Расчет оборудования гибкого коммутатора 12
3 Расчет оборудования транспортной пакетной сети 14
4 Выбор оборудования сети и параметров подключения 18
5 Комплектация проектируемого оборудования 22
Заключение 24
Список использованных источников 25
Приложение 1 26
Приложение 2 27
3
Введение
современных условиях развития любой сферы деятельности возникает вопрос построения сетей связи и от того как они построены и насколько отвечают современным требованиям, технологиям, зависит очень много. Уже никто не сомневается, что если выбрать не правильный принцип построения, не рассматриваемый вариантов на перспективу, то в дальнейшем это очень скажется не в лучшую сторону.
настоящее время построение мультисервисных сетей с интеграцией различных услуг является одним из наиболее перспективных направлений развития сетей. Основная задача мультисервисных сетей заключается в обеспечении сосуществования и взаимодействия разнородных коммуникационных подсистем в единой транспортной среде, когда для передачи обычного трафика (данных) и трафика реального времени (голоса и видео) используется единая инфраструктура.
При создании мультисервисной сети достигается:
Сокращение расходов на каналы связи;
Сокращение расходов на администрирование и поддержание работоспособности сети, уменьшение совокупной стоимости владения;
Возможность проведения единой административно-технической политики в области информационного обмена;
Увеличение конкурентоспособности оператора за счет введения в
операционную деятельность новых сервисов и приложений.
Прародителем понятия "мультисервисная сеть" можно считать, пожалуй,
концепцию сетей ISDN (Integrated Services Digital Network), появившуюся в конце
60-х и активно внедрявшуюся в 90-е годы. Сети ISDN – это дальнейшее развитие телефонной связи, предоставляющие возможность передачи как голоса, так и данных по коммутируемым цифровым каналам пропускной способностью 64 Кбит, причем каждый канал устанавливается на необходимый промежуток времени, но это на данном этапе уже в прошлом и не удовлетворят той потребности которую требую современные запросы.
Современные мультисервисные сети сейчас обладают способностью передавать по одному каналу данные, голос и видео. Скоростная передача данных в сетях данного типа осуществляется на большие расстояния без существенной потери пакетов, то есть без потери качества данных для пользователей.
Именно по этому при построении таких сетей важно учитывать перспективы и быстрые перемены, и при правильном расчёте это даст минимум затрат и максимум производительности.
4
Исходные данные
Вариант № 14.
|
Зона проектирования |
1 |
2 |
3 |
4 |
|
|||||
|
|
|
|
|
|
|
|||||
Число аналоговых абонентов NPTSN |
5000 |
1000 |
3000 |
2000 |
|
||||||
|
|
|
|
|
|
|
|||||
Число цифровых абонентов N1SDN |
300 |
100 |
200 |
150 |
|
||||||
|
|
|
|
|
|
|
|||||
Число |
Аналоговые абоненты |
4500 |
2000 |
1500 |
3000 |
|
|||||
|
|
|
|
|
|
||||||
|
|
|
|
|
|
|
|||||
|
Цифровые абоненты |
200 |
100 |
150 |
250 |
|
|||||
|
|
|
|
|
|
|
|||||
|
IР-телефоны |
1000 |
2000 |
3000 |
2500 |
|
|||||
|
|
|
|
|
|
|
|||||
Число |
Аналоговые абоненты NPTSN |
800 |
700 |
750 |
500 |
|
|||||
|
|
|
|
|
|
|
|||||
|
Цифровые абоненты NISDN |
100 |
90 |
75 |
0 |
|
|||||
|
|
|
|
|
|
|
|||||
Число пользователей LAN, NLAN |
1000 |
1500 |
700 |
0 |
|
||||||
|
|
|
|
|
|
||||||
Используемый кодек |
|
|
|
|
|
||||||
|
|
* |
* |
* |
* |
|
|||||
Доля обслуживаемых вызовов данным |
0,5 |
0,6 |
0,4 |
0,7 |
|
||||||
кодеком |
|
|
|
|
|
|
|||||
|
|
|
|
|
|
|
|||||
* – выбрать самостоятельно |
|
|
|
|
|
||||||
Топология сети № 2 |
|
|
|
|
|
||||||
-
1
2
-
3
4
5
NK
PBX
1.1 Расчет нагрузки на оборудование шлюзов и АТС Введем следующие переменные:
NPTSN - число абонентов, использующих подключение по аналоговой абонентской линии,
NISDN - число абонентов, использующих подключение по базовому доступу ISDN; NSHM - число абонентов с терминалами SIP, Н.323, использующих подключение по Ethernet-интерфейсу;
NLAN - число LAN, подключаемых к Ethernet-маршрутизатору на уровне шлюза доступа или маршрутизатора;
Ni IAN - число абонентов, подключаемых к LANi, где i - номер LAN; NPBX - число УПАТС, подключаемых к шлюзу;
- число пользовательских каналов в интерфейсе подключения УПАТС k
(число потоков Е1), где k - номер УПАТС. Нагрузка, поступающая на УПАТС:
-
M
B
YУПАТС 0,1 N m _ PSTN
0, 2Nb _ ISDN
(1)
m 1
b1
Нагрузка, поступающая на IP-АТС:
(2)
Нагрузка, создаваемая абонентами шлюза:
(3)
Для определения внутристанционной нагрузки, замыкаемой на уровне УПАТС, IР-АТС и шлюза, необходимо сначала вычислить долю возникающей нагрузки для каждого узла от общей возникающей нагрузки сети по формулам (4) - (6) соответственно:
(4)
где п - число зон проектирования на сети связи.
6
По полученным из выражений (4) - (6) значениям ηвн, для каждого рассчитываемого узла определяется процент внутристанционного сообщения Kвнi
Расчет внутристанционных нагрузок для УПАТС каждой зоны проектирования выполняется по формуле:
Исходящая нагрузка для УПАТС определяется выражением:
По полученной исходящей нагрузке от УПАТС по первой формуле Эрланга рассчитывается число соединительных линий между УПАТС и шлюзом:
где р - потери по вызовам (р =0.01 для каналов местной связи и р — 0.001 для каналов междугородней связи);
Y - расчетное значение поступающей нагрузки; V - число линий пучка;
EV(Y) - краткая условная форма записи первой формулы Эрланга для пучка из
V линий и нагрузки Y.
Расчет числа соединительных линий можно провести с использованием графиков, построенных по формуле (9) и приведенных на рисунке 1. Затем следует рассчитать количество потоков Е1, учитывая, что один поток Е1 содержит 30 соединительных линий. Общая нагрузка, поступающая на шлюз, рассчитывается по следующей формуле:
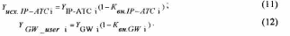
Исходящая нагрузка для IP-АТС и шлюза определяется выражениями:
7
Произведём расчета нагрузок по формуле 1-12 Нагрузка, поступающая на УПАТС (1):
YУПАТС1 0,1 800 0, 2 100 80 20 100 Эрланг; YУПАТС 2 0,1 700 0, 2 90 70 18 88 Эрланг; YУПАТС3 0,1 750 0, 2 75 75 15 90 Эрланг; YУПАТС 4 0,1 500 0, 2 0 50 0 50 Эрланг;
Нагрузка, поступающая на IP-АТС (2):
YIP _ АТС1 0,1 4500 0, 2 200 0, 2 1000 450 40 200 690 Эрланг; YIP _ АТС 2 0,1 2000 0, 2 100 0, 2 2000 200 20 400 620 Эрланг; YIP _ АТС 3 0,1 1500 0, 2 150 0, 2 3000 150 30 600 780 Эрланг; YIP _ АТС 4 0,1 3000 0, 2 250 0, 2 2500 300 50 500 850 Эрланг;
Нагрузка, создаваемая абонентами шлюза (3):
YGW1 0,1 5000 0, 2 300 500 50 560 Эрланг,
YGW 2 0,1 1000 0, 2 100 100 20 120 Эрланг,
YGW 3 0,1 3000 0, 2 200 300 40 340 Эрланг,
YGW 4 0,1 2000 0, 2 150 200 30 230 Эрланг,
Для дальнейших расчѐтов (4-6) найду суммы предыдущих значений, которые потребуются в вычислениях.
YУПАТСn 100 88 90 50 328 Эрланг
YIP _ АТСn 690 620 780 850 2940 Эрланг; YGWn 560 120 340 230 1250 Эрланг,
Определение внутристанционной нагрузки (4-6):
|
|
|
|
|
|
100 |
|
|
100% |
100 |
|
|
100% 2, 2% |
|
|||||||||||||||||||||
|
|
|
|
|
|
|
|
|
|
|
|
|
|||||||||||||||||||||||
УПАТС1 |
1250 |
2940 328 |
|
4518 |
|
|
|
|
|||||||||||||||||||||||||||
|
|
|
|
|
|
||||||||||||||||||||||||||||||
|
|
|
88 |
|
|
100% |
88 |
|
|
100% |
1,9% |
|
|||||||||||||||||||||||
|
|
|
|
|
|
|
|
|
|
||||||||||||||||||||||||||
|
|
|
|
|
|
|
|
|
|
||||||||||||||||||||||||||
УПАТС 2 |
1250 |
2940 328 |
|
4518 |
|
|
|
||||||||||||||||||||||||||||
|
|
|
|
|
|||||||||||||||||||||||||||||||
|
|
|
|
90 |
|
|
100% |
90 |
|
|
100% |
1,9% |
|
||||||||||||||||||||||
|
|
|
|
|
|
|
|
|
|
||||||||||||||||||||||||||
|
|
|
|
|
|
|
|
|
|
||||||||||||||||||||||||||
УПАТС 3 |
1250 |
2940 328 |
|
4518 |
|
|
|
|
|||||||||||||||||||||||||||
|
|
|
|
|
|
||||||||||||||||||||||||||||||
|
|
|
|
|
50 |
|
|
100% |
50 |
|
|
100% |
1,1% |
|
|||||||||||||||||||||
|
|
|
|
|
|
|
|
|
|
||||||||||||||||||||||||||
|
|
|
|
|
|
|
|
|
|
||||||||||||||||||||||||||
УПАТС1 |
1250 |
2940 328 |
|
4518 |
|
|
|
|
|||||||||||||||||||||||||||
|
|
|
|
|
|
||||||||||||||||||||||||||||||
8
|
|
|
|
|
|
|
|
|
|
690 |
|
|
|
|
|
|
100% |
690 |
|
|
100% 15,3% |
|
|||||||||||||||||||||||||||||||||
IP _ АТС1 |
|
|
|
|
|
|
|
|
|
|
|
|
|
|
|
|
|
|
|
||||||||||||||||||||||||||||||||||||
|
1250 |
2940 328 |
|
|
4518 |
|
|
|
|||||||||||||||||||||||||||||||||||||||||||||||
|
|
|
|
|
|
|
|
|
|
|
|||||||||||||||||||||||||||||||||||||||||||||
|
|
|
|
|
|
|
|
620 |
|
|
|
|
|
|
100% |
620 |
|
|
100% 13,7% |
|
|||||||||||||||||||||||||||||||||||
IP _ АТС 2 |
|
|
|
|
|
|
|
|
|
|
|
|
|
|
|
|
|
|
|
||||||||||||||||||||||||||||||||||||
|
1250 |
2940 328 |
|
|
4518 |
|
|
||||||||||||||||||||||||||||||||||||||||||||||||
|
|
|
|
|
|
|
|
|
|
||||||||||||||||||||||||||||||||||||||||||||||
|
|
|
|
|
|
|
|
780 |
|
|
|
|
|
|
100% |
780 |
|
|
100% 17,3% |
|
|||||||||||||||||||||||||||||||||||
IP _ АТС 3 |
|
|
|
|
|
|
|
|
|
|
|
|
|
|
|
|
|
|
|
||||||||||||||||||||||||||||||||||||
|
1250 |
2940 328 |
|
|
4518 |
|
|
|
|||||||||||||||||||||||||||||||||||||||||||||||
|
|
|
|
|
|
|
|
|
|
|
|||||||||||||||||||||||||||||||||||||||||||||
|
|
|
|
|
|
|
|
850 |
|
|
|
|
|
|
100% |
850 |
|
|
100% 18,8% |
|
|||||||||||||||||||||||||||||||||||
IP _ АТС 4 |
|
|
|
|
|
|
|
|
|
|
|
|
|
|
|
|
|
|
|
||||||||||||||||||||||||||||||||||||
|
1250 |
2940 328 |
|
|
4518 |
|
|
||||||||||||||||||||||||||||||||||||||||||||||||
|
|
|
|
|
|
|
|
|
|
||||||||||||||||||||||||||||||||||||||||||||||
|
|
|
|
|
|
560 |
|
|
|
100% |
560 |
|
|
100% 12, 4% |
|
||||||||||||||||||||||||||||||||||||||||
|
|
|
|
|
|
|
|
|
|
|
|
|
|
|
|
|
|
|
|
||||||||||||||||||||||||||||||||||||
GW 1 |
|
1250 2940 328 |
|
|
|
|
4518 |
|
|
|
|
|
|
|
|||||||||||||||||||||||||||||||||||||||||
|
|
|
|
|
|
|
|
|
|
|
|
|
|
||||||||||||||||||||||||||||||||||||||||||
|
|
|
|
|
|
120 |
|
|
|
100% |
|
120 |
|
|
100% 2,7% |
|
|||||||||||||||||||||||||||||||||||||||
GW 2 |
|
1250 2940 328 |
4518 |
|
|
||||||||||||||||||||||||||||||||||||||||||||||||||
|
|
|
|
|
|
|
|
|
|
|
|
|
|||||||||||||||||||||||||||||||||||||||||||
|
|
|
|
|
|
|
|
|
|
|
|
|
|
||||||||||||||||||||||||||||||||||||||||||
|
|
|
|
|
|
340 |
|
|
|
100% |
|
340 |
|
|
100% 7,5% |
|
|||||||||||||||||||||||||||||||||||||||
GW 3 |
|
1250 2940 328 |
4518 |
|
|
||||||||||||||||||||||||||||||||||||||||||||||||||
|
|
|
|
|
|
|
|
|
|
|
|
|
|||||||||||||||||||||||||||||||||||||||||||
|
|
|
|
|
|
|
|
|
|
|
|
|
|
||||||||||||||||||||||||||||||||||||||||||
|
|
|
|
|
|
230 |
|
|
|
100% |
|
230 |
|
|
100% 5,1% |
|
|||||||||||||||||||||||||||||||||||||||
GW 4 |
|
1250 2940 328 |
4518 |
|
|
||||||||||||||||||||||||||||||||||||||||||||||||||
|
|
|
|
|
|
|
|
|
|
|
|
|
|||||||||||||||||||||||||||||||||||||||||||
|
|
|
|
|
|
|
|
|
|
|
|
|
|
||||||||||||||||||||||||||||||||||||||||||
kУПАТС1 |
|
5,3% , kIP _ АТС1 |
41,31% , kGW 1 |
35,9% |
|
||||||||||||||||||||||||||||||||||||||||||||||||||
kУПАТС 2 |
|
|
4,6% , kIP _ АТС 2 |
36,9% , kGW 2 |
7,83% |
|
|||||||||||||||||||||||||||||||||||||||||||||||||
kУПАТС3 |
|
|
4,6% , kIP _ АТС3 |
46,71% , kGW 3 |
21,8% |
|
|||||||||||||||||||||||||||||||||||||||||||||||||
kУПАТС 4 |
|
|
2,6% , kIP _ АТС 4 |
50,76% , kGW 4 |
14,8% |
|
|||||||||||||||||||||||||||||||||||||||||||||||||
Расчет внутристанционных нагрузок для УПАТС каждой зоны (7):
YвнУПАТС1 |
|
5,3 100 |
5,3 |
|
|
YвнУПАТС 2 |
|
|
4,6 88 |
|
4,05 |
|
|
|
|
|||||||||||||||||||||||||||||||||||||||||||||||||||||||
|
|
|
|
|
|
|
|
Эрланг; |
|
|
|
|
|
|
|
|
Эрланг; |
|
|
|||||||||||||||||||||||||||||||||||||||||||||||||||
|
|
|
100% |
|
|
100% |
|
|
|
|||||||||||||||||||||||||||||||||||||||||||||||||||||||||||||
|
|
|
|
|
|
|
|
|
|
|
|
|
|
|
|
|
|
|
|
|
|
|
|
|
|
|
|
|
||||||||||||||||||||||||||||||||||||||||||
YвнУПАТС 3 |
|
|
|
|
4,6 90 |
|
4,1 |
|
|
|
YвнУПАТС 4 |
|
|
2,6 50 |
1,3 Эрланг; |
|
|
|
||||||||||||||||||||||||||||||||||||||||||||||||||||
|
|
|
|
|
|
|
|
Эрланг; |
|
|
|
|
|
|
|
|
|
|
|
|
||||||||||||||||||||||||||||||||||||||||||||||||||
|
|
|
100% |
|
|
|
100% |
|
|
|
|
|
||||||||||||||||||||||||||||||||||||||||||||||||||||||||||
|
|
|
|
|
|
|
|
|
|
|
|
|
|
|
|
|
|
|
|
|
|
|
|
|
|
|
|
|
|
|||||||||||||||||||||||||||||||||||||||||
YвнIP _ АТС1 |
|
|
41,31 690 |
285 |
Эрланг; YвнIP _ АТС 2 |
|
36,9 620 |
228 |
|
|
|
|||||||||||||||||||||||||||||||||||||||||||||||||||||||||||
|
|
|
|
|
|
|
|
|
|
|
|
|
Эрланг; |
|
||||||||||||||||||||||||||||||||||||||||||||||||||||||||
100% |
|
|
|
100% |
|
|||||||||||||||||||||||||||||||||||||||||||||||||||||||||||||||||
|
|
|
|
|
|
|
|
|
|
|
|
|
|
|
|
|
|
|
|
|
|
|
|
|
|
|
|
|
||||||||||||||||||||||||||||||||||||||||||
YвнIP _ АТС 3 |
|
|
|
46,71 780 |
364 |
Эрланг; YвнIP _ АТС 4 |
|
|
50,76 850 |
431 |
|
|
||||||||||||||||||||||||||||||||||||||||||||||||||||||||||
|
|
|
|
|
|
|
|
|
|
|
|
|
|
Эрланг; |
|
|||||||||||||||||||||||||||||||||||||||||||||||||||||||
100% |
|
|
|
100% |
|
|
||||||||||||||||||||||||||||||||||||||||||||||||||||||||||||||||
|
|
|
|
|
|
|
|
|
|
|
|
|
|
|
|
|
|
|
|
|
|
|
|
|
|
|
|
|
||||||||||||||||||||||||||||||||||||||||||
YвнGW 1 |
|
35,9 560 |
201 |
|
|
YвнGW 2 |
|
7,83 120 |
9 Эрланг; |
|
|
|
||||||||||||||||||||||||||||||||||||||||||||||||||||||||||
|
|
|
|
|
|
|
|
|
|
Эрланг; |
|
|
|
|
|
|
|
|
|
|
|
|
|
|||||||||||||||||||||||||||||||||||||||||||||||
|
|
|
100% |
|
|
|
100% |
|
|
|
|
|
||||||||||||||||||||||||||||||||||||||||||||||||||||||||||
|
|
|
|
|
|
|
|
|
|
|
|
|
|
|
|
|
|
|
|
|
|
|
|
|
|
|
||||||||||||||||||||||||||||||||||||||||||||
YвнGW 3 |
|
|
|
21,8 340 |
74 |
Эрланг; YвнGW 4 |
14,8 230 |
34 Эрланг; |
|
|
|
|||||||||||||||||||||||||||||||||||||||||||||||||||||||||||
|
|
|
|
|
|
|
|
|
|
|
|
|
|
|
|
|
|
|
|
|
|
|
||||||||||||||||||||||||||||||||||||||||||||||||
|
|
|
100% |
|
|
|
|
|
100% |
|
|
|
|
|
||||||||||||||||||||||||||||||||||||||||||||||||||||||||
|
|
|
|
|
|
|
|
|
|
|
|
|
|
|
|
|
|
|
|
|
|
|
|
|
|
|
|
|
||||||||||||||||||||||||||||||||||||||||||
9
Исходящая нагрузка для УПАТС (8):
YисхУПАТС1 100 (1 0,053) 94,7 Эрланг; YисхУПАТС 2 88 (1 0,046) 83,9 Эрланг; YисхУПАТС3 90 (1 0,046) 85,9 Эрланг;
YисхУПАТС 4 50 (1 0,026) 48,7 Эрланг;
Исходящая нагрузка для IP-АТС и шлюза (11-12):
YисхIP _ АТС1 690 (1 0, 41) 407 Эрланг; YисхIP _ АТС 2 620 (1 0,37) 390,6 Эрланг; YисхIP _ АТС3 780 (1 0, 46) 421 Эрланг; YисхIP _ АТС 4 850 (1 0,51) 416,5 Эрланг; YисхGW1 560 (1 0,35) 364 Эрланг; YисхGW 2 120 (1 0,08) 110 Эрланг; YисхGW 3 340 (1 0, 21) 268,6 Эрланг; YисхGW 4 230 (1 0,15) 195,5 Эрланг;
