- •4.4. Определение параметров функции тренда. Точечный прогноз
- •Исходные данные и параметры систем уравнений трендов
- •4.5. Интервальный прогноз
- •Значения a-процентных пределов ta,k в зависимости от k степеней свободы и заданного уровня значимости a для распределения Стьюдента
- •Пример 2.
- •Параметры для построения интервального прогноза
- •Построение интервального прогноза
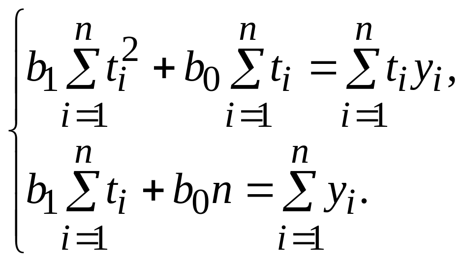
4.4. Определение параметров функции тренда. Точечный прогноз
Если вид функции тренда выбран, то параметры функции b0, b1 и др. можно рассчитать по методу наименьших квадратов. Ниже представлены системы уравнений для трех основных видов функций.
а) Линейный тренд y=b0+b1t. Параметры определяются из системы:
|
б) Параболический тренд y=b0+b1t+bа2t2. Параметры определяются из системы:
|
в) Показательный тренд y=b0·tb1.
Параметры определяются следующим образом:
→ z=c0
+ c1·v.
Параметры с0, с1 находятся как для линейной функции регрессии относительно логарифмов исходных данных t и y. Затем b0=ес0, b1= с1.
Поиск параметров уравнения можно упростить, если отсчет времени производить так, чтобы сумма показателей времени изучаемого ряда динамики была равна нулю. Для этого: |
|
при нечетном числе уровней ряда динамики, уровень, находящийся в середине ряда, принимается за условное начало отсчета времени (0). Даты, стоящие выше этого уровня, обозначаются (-1,-2, -3 и т.д.), а ниже – (+1, +2, +3 и т.д.).
при четном числе уровней ряда динамики, периоды времени верхней половины ряда (до середины) нумеруются -1,-3,-5 и т.д., а нижней +1,+3,+5, и т.д. Тогда ∑ti=0 будет равна нулю.
Пример 1. Рассмотрим аналитическое выравнивание ряда динамики объемов строительства жилья жилищно-строительными кооперативами в России. Исходные данные и расчет параметров систем уравнений линейного и параболического трендов представлены в таблице.
Таблица 1
Исходные данные и параметры систем уравнений трендов
Годы
|
Объемы строительства жилья, млн. кв.м |
Условные обозначения периодов
|
|
|
|
|
|
Выровненные уровни ряда, млн. кв. м прямая |
Выровненные уровни ряда, млн. кв. м прабола |
i |
yi |
ti |
yiti |
ti2 |
ti3 |
yiti2 |
ti4 |
|
|
1 |
2 |
3 |
4 |
5 |
6 |
7 |
8 |
9 |
10 |
2003 |
2,9 |
-2 |
-5,8 |
4 |
8 |
11,6 |
16 |
2,76 |
2,89 |
2004 |
2,4 |
-1 |
-2,4 |
1 |
1 |
2,4 |
1 |
2,49 |
2,43 |
2005 |
2,1 |
0 |
0 |
0 |
0 |
0 |
0 |
2,22 |
2,09 |
2006 |
1,9 |
+1 |
1,9 |
1 |
- |
1,9 |
1 |
1,95 |
1,89 |
2007 |
1,8 |
+2 |
3,6 |
4 |
-8 |
7,2 |
16 |
1,68 |
1,81 |
Итого |
11,1 |
0 |
-2,7 |
10 |
0 |
23,1 |
34 |
11,1 |
11,1 |
Колонки 3-8 таблицы 1 заполнены в соответствии с параметрами систем уравнений для линейного и параболического трендов, представленными на с. 1.
1) Используя итоги колонок 2-5, определим систему уравнений и параметры линейного тренда:
|
|
Таким
образом, тренд ряда динамики объемов
жилищного строительства может быть
представлен прямой:
.
Используя приведенное уравнение, рассчитаем для каждого года оценки фактических данных по тренду и заполним колонки 6, 7 и 8:
для
2003 г.
;
для
2004 г.
;
и т.д.
Для расчета прогнозной оценки на 2008 г. подставим в уравнение тренда соответствующее значение t, которое в данном случае будет равно 3:
для
2008 г.
.
2) Используя итоги колонок 2-8, определим систему уравнений и параметры параболического тренда:
|
|
|
b0=2,0914; b1=- 0,27; b2=0,0643.
Таким образом, динамика объемов жилищного строительства может быть представлена параболическим трендом:
.
Подставляя в данное уравнение значения t определим оценки фактических данных по параболическому тренду (выровненные уровни ряда динамики) и заполним колонку 10 таблицы 1.
Проверка правильности расчета уровней выравниваемого ряда динамики: сумма значений эмпирического ряда должна совпадать с суммой вычисленных уровней выровненного ряда (итоги колонок 2 и 9 для линейной функции и колонок 2 и 10 для параболы).
