- •Билет 1
- •1)Объекты управления
- •Объекты с самовыравниванием:
- •Объекты без самовыравнивания.
- •Объекты с запаздыванием.
- •2. Критерий устойчивости Гурвица
- •Билет 3
- •1) Классификация сау.
- •2) Передаточные функции систем различной структуры
- •Последовательное соединение звеньев.
- •Параллельное включение звеньев.
- •Билет 4
- •Принцип управления по возмущению (принцип компенсации, принцип Понселе).
- •2) Преобразование структурных схем
- •Билет 5
- •Принцип обратной связи (принцип управления по отклонению контролируемой функции от входного воздействия, принцип Ползунова-Уатта)
- •2) Теоремы а.М. Ляпунова. Теорема 1.
- •Теорема 2.
- •Критерии устойчивости сау.
- •Билет 2
- •1)Типовая структурная схема 3-х-координатной сау
- •2. Методика анализа устойчивости сау.
2) Передаточные функции систем различной структуры
Последовательное соединение звеньев.
Пусть
тогда
а
При последовательном соединении звеньев передаточная функция системы равна произведению передаточных функций звеньев, входящих в систему.
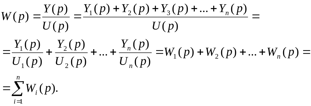
Параллельное включение звеньев.
Определим
передаточную функцию системы:
Билет 4
Принцип управления по возмущению (принцип компенсации, принцип Понселе).
Сущность принципа Понселе заключается в том, что возмущение измеряется и формируется управляющее воздействие по каналу возмущения на объект так, чтобы скомпенсировать влияние возмущения на регулируемую координату.
Регулирующий орган управляется только в функции внешних воздействий F(р) и R(р). Фактическое изменение регулируемой функции у на работу регулятора влиять не будет, т.е. управление осуществляется по разомкнутому циклу.
Y(p)=Yr(p)+Yf(p)=Wp(p)Wor(p)R(p)+[Wkf(p)Wp(p)Wor(p)-Wof(p)]F(p);
при выполнении условия Wp(p)Wor(p)=1 и Wkf(p)Wp(p)Wor(p) -Wof(p)=0 ,
Y(p)=R(p).
Достоинства:
Возможна полная компенсация действия возмущения.
Компенсирующее устройство не влияет на устойчивость.
Простота регулятора.
Недостатки:
Необходимо сравнительно точно измерять возмущающие воздействия, что не всегда может быть выполнено, так как возмущающие силы обычно не поддаются точному измерению.
Реализация регулятора в общем случае невозможна, так как в передаточной функции Wp(p)=1/Wor(p) порядок числителя, как правило, выше порядка знаменателя.
Регулирование по возмущению может быть использовано лишь для объектов устойчивых.
Компенсируется только измеренное возмущение.
Приборы для измерения возмущений сложные и дорогие.
Такие системы применяются в тех случаях, когда не требуется высокая точность выполнения алгоритма функционирования объекта.
2) Преобразование структурных схем
Используется для упрощения анализа и синтеза САУ, составления передаточных функций и дифференциальных уравнений. Преобразования схем проводят так, чтобы контуры не пересекались, а чтобы один контур входил внутрь другого. Закон изменения выходного сигнала не должен изменяться в результате эквивалентного преобразования структуры.
Исходная структура системы |
Эквивалентная структура системы |
Уравнение выходной координаты:
|
Wф(p) - фиктивная передаточная функция |
Уравнение выходной координаты:
|
|
|
|
|
|
|
|
|
|

Перенос
точки суммирования сигналов со входа
на выход.
Перенос
точки суммирования сигналов с выхода
звена на его вход.
Перенос
точки съема сигнала со входа звена
на его выход.
Перенос
точки съема сигнала с выхода на вход
звена.
Перестановка
сумматоров.