- •1. Реалізація напрямів політики підвищення рівня енергетичної безпеки, надійності та ефективності енергопостачання; сталого розвитку галузей пек має забезпечуватися шляхом:
- •2. Оскільки у задачі йдеться про припинення енергопостачання із-за відмови першої електростанції (події несумістні, та складають повну групу подій) викорстаємо формулу Байеса.
- •Розв‘язання
- •Загальна кількість зафіксованих відхилень 200, отже, запишемо ряд статистичних ймовірностей.
- •Показники ремонтопридатності:
- •1. Фаза випадкового ппроцеса, в якому значення параметрів, визначаючих режим енергооб‘єкта, знаходяться у відомих межах або потсійне, називаєтсья станом.
- •2. Розв 'язання
- •2. Елементи блока (котел, турбіна, генератор) з‘єднані послідовно. Визначаємо результуючі показники надійності блока (ωδ,τδ) за формулами:
- •2. Повна втрата електропостачання споживачів с1 і с2 буде мати місце у наступних випадках:
- •2. Позначимо:
- •2. Попередньо знайдемо еквівалентний елемент 10, який утворюють паралельні елементи 4 і 5.
- •1. Енергетичний потенціал України складають органічні природничі ресурси, уран і водні ресурси, нетрадиційні джерела енергії.
- •2. Для послідовно з‘єднаних елементів визначимо параметр потоку відмов блока (частоту відмов) ωδ і середній час відновлення :
1. Реалізація напрямів політики підвищення рівня енергетичної безпеки, надійності та ефективності енергопостачання; сталого розвитку галузей пек має забезпечуватися шляхом:
здійснення структурних змін у виробництві та споживанні енергоресурсів з покращенням структури виробництва та зменшенням частки енергоємних виробництв;
оптимізації паливно-енергетичного балансу країни та контролю динаміки внутрішніх енергетичних ринків з дотриманням принципу диверсифікації внутрішнього енергоспоживання;
розроблення і впровадження високоефективних технологій та устаткування для виробництва, транспортування, розподілу і споживання енергоресурсів;
стимулювання енергозбереження та впровадження економічних санкцій щодо неефективного споживання паливно-енергетичних ресурсів;
• широке застосування систем обліку та засобів регулювання
споживання енергетичних ресурсів в усіх галузях економіки та в комунально-побутовій сфері;
формування енергозберігаючого світогляду у суспільстві;
забезпечення необхідного рівня державних стратегічних запасів ПЕР і затвердження порядку їх розподілу у випадку серйозних порушень в інфраструктурі забезпечення споживачів;
послідовне скорочення рівня витрат енергетичних ресурсів на базі використання високих технологій;
розвиток вітчизняного машинобудування та приладобудування, проектних і будівельно-монтажних комплексів ПЕК;
створення системи гарантій раціонального використання природних ресурсів »т
2. Позначимо через Р(А) імовірність паралельної роботи енергосистем.
Паралельна робота буде порушена, якщо бодай один з елементів зв‘язку відмовить.
Тобто
,
імовірність паралельної роботи
енергосистем визначаєтьтся як протилежна
подія:
по-іншому, імовірність паралельної роботи визначається, як одночасна робота елементів зв‘язку:
.
1. Структура представляється у вигляді замкнутого графа, що має один вхід й один вихід. Ребрами графа служать елементи, надійність яких відома. Задача пошуку мінімальних перерізів зводиться до побудови можливих дерев графа. Для цього до виходу графа послідовно приєднуються одна за іншою вершини, безпосередньо пов‘язані з попереднім деревом (не приєднується тільки одна вершина − вихід графа).
Алгоритм пошуку мінімальних перерізів приведемо для струтури, зображеної на малюнку.
|
Ребра, що |
Вершини |
з'єднані з |
|
вершиною |
а |
123 |
b |
146 |
с |
245 7 |
d |
358 |
е |
678 |
2. Складається масив M -дерев графа шляхом послідовного приєднання Мі+1 - дереву вершин, безпосередньо пов'язаних з однієї з вершин, що вже належать Мі -дереву.
Перше M1 -дерево - вершина а. До неї безпосередньо приєднуються вершини b, с, d, що утворять наступні М-дерева: ab, ас, ad. Наступний етап; до дерева ab приєднується вершина d, тому що вона пов'язана з однієї з вершин М2 дерева, вершиною а. Одержимо М3-дерево abd. Крім того до М2 -дерева приєднується вершина с і так далі, поки не будуть приєднані всі вершини, за винятком виходу графа (вершина е). Одержимо наступний масив М-дерев графа: a, ab, ас, ad, abc, abd, acd, abсd.
3. Для кожного Mі - дерева визначаються переріз. Пошук перерізів
проводиться по таблиці.
М-дерево |
а |
ab |
ас |
ad |
abe |
abd |
acd |
abed |
|
|
|
|
|
|
|
|
123 |
|
|
|
|
|
123 |
123 |
123 |
|
|
|
123 |
123 |
123 |
|
|
|
146 |
Ребра |
123 |
|
|
|
146 |
146 |
2457 |
|
|
146 |
2457 |
358 |
|
|
|
2457 |
|
|
|
|
|
|
2457 |
358 |
358 |
|
|
|
|
|
|
|
|
|
358 |
Переріз |
123 |
2346 |
13457 |
1258 |
3567 |
24568 |
1784 |
678 |
Ребра, що входять у сукупність ребер -Мі дерева парне число раз, виключається. Ребра, що залишилися, складові перерізу, записуються в нижній рядок таблиці.
З отриманих перерізів вибирають мінімальні: всі перерізи представляють у порядку зростання числа елементів й уточнюють, чи не існує в перерізах з більшим числом елементів перерізу із меншим числом елементів. У цьому випадку переріз з більшим числом елементів виключається. Дана структура має мінімальні перерізи: 123, 1478, 678, 2346, 3567, 13457, 24568, 1258.
Складаємо схему заміщення досліджуваної структури, знаходять показники надійності перерізів (як паралельне з'єднання елементів) і показники надійності всієї структури (як послідовне з'єднання мінімальних перерізів)- ωс,τс
2. Розв 'язання
Використовуючи теорему про суму ймовірностей для даного випадку маємо:
Р(А + В + С) = Р(А) + Р(В) + Р(С) - Р(АВ)- Р(АС) - Р(ВС) + Р(АВС).
Подія А - відмова першого трансформатора.
Подія В - відмова усіх паралельних ліній електропередачі.
Подія С - відмова другого трансформатора.
Подія А+В+С - припинення енергопостачання споживачів із-за вище приведених випадків.
Отже:
Відповідь:
надійність 0,9987.
1. Нинішній рівень енергетичної безпеки України за багатьма її складовими є незадовільним. Головними чинниками цього є:
надвисока енергоємність споживання енергетичних продуктів у галузях економіки і соціальній сфері;
значна частка імпорту в балансі енергоспоживання з переважною часткою імпорту із однієї країни природного газу, ядерного палива, нафти;
нераціональна структура паливно-енергетичних балансів (ПЕБ) країни;
зниження ефективності виробництва і транспортування енергетичних продуктів;
високий рівень шкідливого впливу об'єктів енергетики на навколишнє середовище.
2. Розв‘язання
Згідно із нормальним розподілом функція густини відхилення напруги
;
або функція
відхилення напруги.
При напрузі 105 кВ.
2.
Відповідь: 1. 0,2088; 2. 0.2743
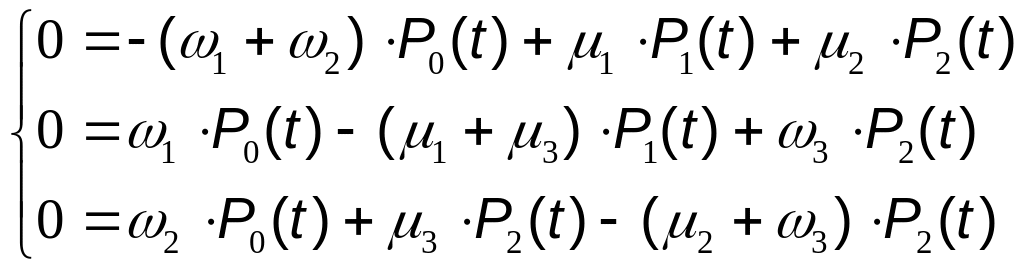
Використаємо апарат Марковських випадкових процесів для визначення ймовірностей наступних розглянутих станів схеми: робочий, неробочий, частково робочий.
Складаємо граф станів.
Перехід із основного стану в інші можливий при відмовах елементів схеми із частотами ω1,ω2,ω3 і при відновленні з частотами μ1,μ2,μ3.
Введемо позначення ймовірностей Р0(t) - система робоча. Р1(t) - система неробоча. Р2(t) – система частково робоча.
Запишемо систему диференціальних рівнянь, що описують перехід системи із одного стану в інший, при цьому знак «+»- перехід у сторону стану, що розглядається.
Порівняємо
і отримаємо:
Розв‘язком
якої буде шукані ймовірністі
2. Втрата енергопостачання споживача відбудеться, якщо якийсь з елементів блока вийде з ладу. Позначимо цю подію через А.
Тоді
імовірність події А (використаємо
теорему складання) визначиться:
.
Імовірність надійного електропостачання споживача, як протилежна подія, визначиться:
що
імовірність можна знайти і іншим шляхом
(використаємо теорему множення):
1.Для оцінки стану безпеки використовується система показників, яка повинна характеризувати як стан самої безпеки, так і зміни, які виникають внаслідок дії тих чи інших дестабілізуючих факторів. Слід зазначити, що охарактеризувати безпеку за допомогою одного показника неможливо, тому що один фактор, яким би важливим він не вважався, неможе компенсувати повністю вплив іншого на компоненти безпеки, Все це можна віднести і до однієї із важливих складових безпеки − енергетичної безпеки.
Для кількісної оцінки стану енергетичної безпеки необхідно проаналізувати наявні (підтверджені) як світові, так і національні обсяги ПЕР з урахуванням рівня їх видобутку, структури та ефективності використання. Беззаперечним є той факт, що існуючих запасів нафти та газу (які домінують у структурі споживання первинних енергоносіїв) вистачить на кілька десятиріч, вугілля та ядерного палива на кілька сторіч.
Одним із важливих кількісних індикаторів при оцінці стану енергетичної безпеки є R/Р індекс (Reserves/Production), тобто відношення підтверджених запасів енергетичних ресурсів до рівня видобутку та виробництва, що характеризує кількість років, на яку вистачить розвіданих запасів за умови збереження існуючого рівня видобутку:
,
де
,
− підтверджені
запаси та рівень видобутку (виробництва)
і –го енергоносія.
Так, за оцінками компанії ВР, загальносвітовий R/Р індекс за статистичними даними складає : для нафти близько 40 років (для України -26 років), природного газу 60 років (54 роки), вугілля близько 130 років (444 роки). Аналогічний показник характеризує обсяг розвіданих енергоносіїв в перерахунку на одну людину (N - кількість населення):
Як свідчать статистичні дані, Україна в порівнянні з країнами ЄС має кращі показники розвіданих запасів ПЕР, перш за все, достатні власні запаси вугілля, питома вага якого в структурі енергетичного балансу Іскладає 29%.
2. Розв‘язання
Подія А1 − відмова першого ланцюга лінії.
Подія А2 − відмова другого ланцюга лінії.
Подія А − припинення енергопостачання, або його дефіцит.
Відповідь:
ймовірність припинення та дефіциту
потсачання електроенергії у споживачів
відповадно
.
1. У XXI столітті проблема енергетичної безпеки набуває особливої актуальності, що обумовлено, з одного боку, виснаженням розвіданих запасів природних енергоресурсів а з іншого, постійним збільшенням споживання палива і різних видів енергії.
Проблема забезпечення енергетичної безпеки у світі в цілому і в Україні, зокрема, з кожним роком стає все більш актуальною. Для того щоб адекватно реагувати на загрози енергетичній безпеці, органам влади, приймаючи відповідні рішення, потрібно мати інформацію щодо рівня енергетичної безпеки на поточний період і на перспективу.
Енергетична безпека України є невід'ємною складовою національної та економічної безпеки і необхідною умовою існування та розвитку держави. Енергетична безпека - своєчасне, повне і безперебійне забезпечення якісним паливом та енергією матеріального виробництва, невиробничої сфери, населення, комунально-побутових та інших споживачів, запобігання шкідливому впливові на довкілля . транспортування, перетворення і споживання паливно-енергетичних ресурсів в умовах сучасних ринкових відносин, тенденцій та показників світового ринку енергоносіїв.
