- •1.2. Розрахунок комплексів опорів і провідностей кола.
- •2.Метод вузлових і контурних рівнянь та метод контурних струмів.
- •2.1. Метод вузлових і контурних рівнянь.
- •2.1.1.Складання системи рівнянь.
- •2.1.2.Розв’язання системи вузлових і контурних рівнянь.
- •2.2.4. Приклад розрахунку згідно вихідним даним.
- •2) Визначення струмів:
- •3.Методи вузлових потенціалів та суперпозиції (накладання).
- •3.1. Метод вузлових потенціалів.
- •3.2. Метод суперпозиції (накладання).
- •4.Метод еквівалентного генератора.
- •4.1. Визначення струму у вітці з опором :
- •4.2. Визначення струму вітці з опором :
- •4.3. Визначення струму вітці з опором :
- •4.5. Визначення комплексів спадів напруг та потужностей .
- •4.6. Визначення балансу потужностей:
Л. 5. Методи розрахунку однофазних лінійних електричних кіл синусоїдного змінного струму при наявності двох і більше джерел живлення.
(Л.1, с.70...95)
Навчальні питання
1.Застосування символічного методу при розрахунку Іф
кіл СЗС при наявності двох і більше джерел живлення.
2.Методи вузлових і контурних рівнянь та контурних струмів.
3.Методи вузлових потенціалів (двох вузлів) та суперпозиції .
4.Метод еквівалентного генератора.
1.Застосування символічного методу при розрахунку Іф кіл СЗС з декількома джерелами ЕРС.
Як ми відмітили вище, тільки символічний метод представлення параметрів Іф. Кіл СЗС дає можливість застосувати усі розрахункові методи постійного струму. Ми вже розглянули метод прямого використання законів Ома і Кірхгофа при розрахунку Іф. кіл СЗС з 1 джерелом ЕРС, де можна також застосувати й метод провідностей, який буде розглянуто в наступній лекції. При розрахунку кіл з декількома джерелами ЕРС, де необхідно застосувати розрахункові методи кіл постійного струму, використовується тільки символічний метод.
1.1. Загальний підхід до розрахунку розглянемо на прикладі схеми з 2 джерелами і 3 вітками.
1.1.1.Схема заміщення електричного кола надана на рис. 1:
Р
ис.
1. Вихідна схема заміщення до і після
спрощення.
1.1.2. Вихідні дані завдання мають наступні значення.
Завдання полягає у виконанні наступних операцій:
Визначення комплексних величин: а) струмів
б) спадів напруг
в) потужностей
в алгебраїчній, тригонометричній та
показниковій формах
5 методами:
вузлових і контурних рівнянь; контурних
струмів; двох вузлів; суперпозиції та
еквівалентного генератора.
Визначення миттєвих значень струмів, спадів напруг та електрорушійних сил.
1.1.3. Загальний підхід до розрахунку Іф. кіл СЗС полягає в наступному.
1) Приведення розрахункової схеми до найпростішого виду, що передбачає визначення комплексів опорів і провідностей в алгебраїчній та показниковій формі в кожній вітці .
.
2) Застосування одного із 5 відомих методів розрахунку кіл постійного струму для розрахунку кіл змінного струму символічним методом за допомогою комплексних чисел, складаючи відповідні рівняння с комплексними параметрами аналогічно рівнянням кіл постійного струму.
3)
Перетворення результатів розрахунку
у комплексному вигляді, тобто у вигляді
символів параметрів, до оригіналів
струмів, тобто до їх миттєвих значень
,
де
4) Визначення комплексів потужностей та перевірка їх балансу.
1.2. Розрахунок комплексів опорів і провідностей кола.
1.2.1. Визначення реактивних опорів:
1)
2)
3)
4)
5)
1.2.2. Визначення комплексів опорів та провідностей:
1)
де
тоді
2)
де
тоді
3)
де
а
Тоді
4)
2.Метод вузлових і контурних рівнянь та метод контурних струмів.
2.1. Метод вузлових і контурних рівнянь.
Цей метод полягає в складанні на основі законів Кірхгофа системи вузлових і контурних рівнянь, що містять невідомі величини струмів, які протікають у вітках кола, та розв’язання цієї системи рівнянь шляхом підстановок або за допомогою матриць та формул Крамера.
2.1.1.Складання системи рівнянь.
Вузлові рівняння складаються згідно першому закону Кірхгофа в кількість на одиницю менше кількості вузлів схеми. Розглянемо типову схему заміщення з двома джерелами ЕРС (рис.1).
Очевидно, для цієї схеми необхідно скласти одне вузлове рівняння, яке згідно прийнятих напрямків струмів має вигляд:
(2.1)
Слід відмітити, що напрямки струмів, що вибираються довільно при структурному аналізі, можуть бути вибрані для деяких струмів неправильно, тоді при розрахунку буде отримано для тих струмів негативне значення, що буде вказувати на те, що ці струми в дійсності мають протилежний напрямок.
Контурні
рівняння складаються згідно другому
закону Кірхгофа для найбільш простих
контурів в кількості, що дорівнює
кількості невідомих струмів мінус число
вузлових рівнянь. Для приведеної типової
схеми, де кількість невідомих струмів
рівна 3 та складено одне вузлове рівняння,
кількість контурних рівнянь, очевидно,
дорівнює двом
.
Для наведеної типової розрахункової схеми контурні рівняння складаються для 2 суміжних контурів I і II при обході контурів за вказаними на схемі напрямками:
для I
контура:
(2.2)
для II
контура:
(2.3)
Система складених вище вузлових та контурних рівнянь являє собою систему трьох рівнянь першої степені з трьома невідомими струмами І1, І2, І3 та має вигляд:
(2.4)
Цю систему рівнянь можна записати у матричному вигляді:
(2.5)
2.1.2.Розв’язання системи вузлових і контурних рівнянь.
Розв’язання системи вузлових і контурних рівнянь здійснюється шляхом підстановок, або матричним способом. Розглянемо порядок розв’язання цієї системи рівнянь (1.4) шляхом підстановок та застосування законів Ома і Кірхгофа на прикладі типової схеми (рис. 1).
1) Із рівняння (1.1) визначимо струм: І3=І1+І2;
2)
Складемо
рівняння (1.2) та (1.3) та підставимо І3=І1+І2
в (1.6):
+
(2.6)
Тоді
отримаємо:
або
звідси:
(2.7)
3)
Підставляючи (1.7) в (1.2), отримаємо
звідси:
.
(2.8)
4)
Підставляючи (1.7) в (1.3), отримаємо:
,
звідси:
.
(2.9)
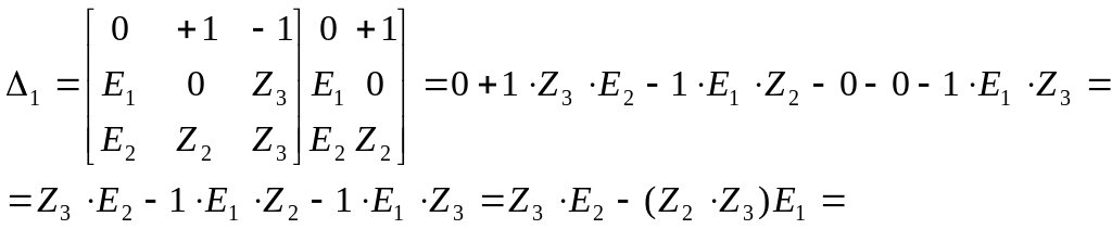
2.1.3.Розв’язання системи вузлових і контурних рівнянь матричним способом за формулами Крамера:
Визначаємо визначник матриці (1.5):
(2.10)
визначаємо часткові визначники (алгебраїчні доповнення):
а)
(2.11)
б)
(2.12)
в)
(2.13)
Визначимо значення величин струмів:
(2.14)
2.1.4. Приклад розрахунку згідно вихідним даним.
1) Складання системи рівнянь та їх запис у матричному вигляді:
В матричному вигляді:
2) Визначення величин струмів:
а)Отримання величини визначника матриці коефіцієнтів (опорів):
б) Визначення алгебраїчних доповнень:
в) Визначення величин струмів:
Позначка « - » у
значення
вказує на те, що напрямок струму
має протилежну
спрямованість.
г)Перевірка за 1 –им законом Кірхгофа:
,
або
2.2. Метод контурних струмів.
Метод контурних струмів полягає в складанні за другим законом Кірхгофа контурних рівнянь в суміжних контурах, де в спільній вітці протікають та складаються струми від декількох джерел, з якими з’єднана ця вітка, що дає можливість виключити необхідність складання вузлового рівняння.
Цей метод фактично є частковим варіантом попереднього методу, де також складається система тільки контурних рівнянь. Він також застосовується при наявності декількох джерел живлення. Розглянемо особливості його використання на прикладі типової розрахункової схеми (рис.1).
2.2.1. Складання системи рівнянь:
При складанні системи рівнянь для суміжних контурів необхідно врахувати, що в спільній вітці ав діють 2 контурних струми І1 та І2, які при складанні створюють струм І3.
Складання рівнянь контурних струмів:
1) для
контура І:
(2.15)
2) для
контура II:
(2.16)
Об’єднання рівнянь в систему :
(2.17)
або в матричній формі:
(2.18)
2.2.2. Розв’язання системи рівнянь шляхом підстановок:
1) Із (1)
отримаємо
(2.19)
2) Підставивши І2 в рівняння (2), отримаємо:
або
звідси:
3) Підставивши І1 в (1.19), отримаємо І2.
4)
Визначення струму
.
2.2.3. Розв’язання системи рівнянь матричним способом.
1) Визначення визначник матриці коефіцієнтів:
(2.20)
2) визначення алгебраїчних доповнень:
(2.21)
(2.22)
3) визначення величин струмів:
