- •Функцій.
- •8.1. Похідна від тригонометричних функцій.
- •8.2. Похідна логарифмічної функції.
- •8.3. Похідна складної функції.
- •8.4. Похідна функції, заданої неявно.
- •8.5. Похідна степеневої і показникової функцій.
- •8.6. Поняття оберненої функції та її похідна.
- •8.7. Похідні обернених тригонометричних функцій.
Розділ 8. ПОХІДНІ ОСНОВНИХ ЕЛЕМЕНТАРНИХ
Функцій.
8.1. Похідна від тригонометричних функцій.
Теорема
8.1.
Якщо
,
то
.
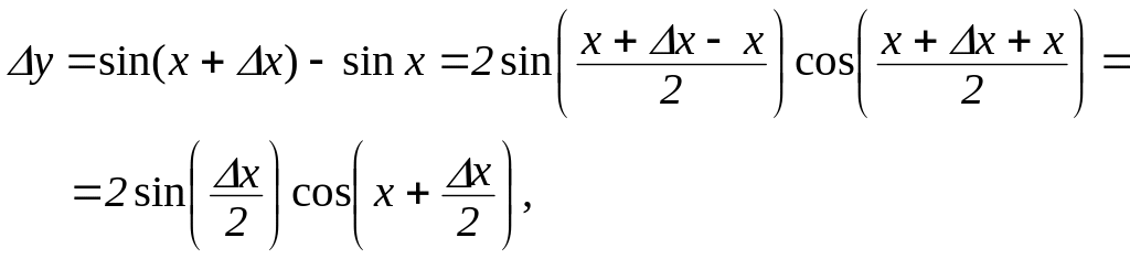
Доведення.
Дамо
аргументові х
приріст
.
Тоді можна записати
.
Обчислюючи
дві останні границі, ми використали
першу “чудову” границю і те, що функція
неперервна.
Таким
чином,
cos
x
і теорему доведено
Теорема
8.2.
Якщо
,
то
.
Доведення. Аналогічно попередній теоремі маємо
,
,
,
тобто
Теорема
8.3.
Якщо
,
то
.
Доведення. Використаємо теорему 7.4, тобто формулу про похідну від відношення двох функцій:
.
Таким
чином,
Теорема
8.4.
Якщо
,
то
Доведення. Аналогічно попередній теоремі отримуємо
,
таким
чином
8.2. Похідна логарифмічної функції.
Теорема
8.5.
Якщо
,
то
.
Доведення. Надамо аргументові х приріст . Тоді
,
,
,
.
В
останньому перетворенні ми використали
неперервність функції
.
Введемо нову змінну
.
Очевидно, що
при
.
Тоді з наслідку 4.2.2 до другої “чудової”
границі, де
і
можна записати:
Наслідок.
8.5.
Якщо
,
то
Дійсно,
при а=е
маємо
Теорема
8.6.
Якщо
,
то
.
Доведення.
а) Якщо x>0,
то
і
,
тому
;
б)
Нехай x<0,
тоді
і
.
Зауважимо, що
при x<0.
Таким чином, для функції
одержуємо
;
.
Далі аналогічно доведенню теореми 8.5 дістаємо
.
Таким
чином, для від’ємних значень х
також справджується рівність
,
тобто теорему доведено для будь-яких
.
При х=0
функція
невизначена
8.3. Похідна складної функції.
Розглянемо
складну функцію
,
тобто функцію, яку можна подати у вигляді:
де
;
або
Тут
,
– відповідно внутрішня
і зовнішня
функція,
u
– проміжний
аргумент.
Виведемо правило диференціювання складної функції.
Теорема
8.7.
Якщо
функція
має
в
деякій точці
х
похідну
,
а
функція
має
за
відповідного значення
похідну
,
то
складна функція
в
точці
х
має
похідну
.
Іншими словами, похідна складної функції дорівнює добутку похідної зовнішньої функції по проміжному аргументу на похідну проміжного аргументу по незалежній змінній.
Після обчислення похідної в останній вираз замість u потрібно підставити функцію .
Доведення.
Для значень аргументу х
і
маємо
тобто
приросту
відповідає приріст
,
якому в свою чергу відповідає приріст
.
Зауважимо, що при
вирази
і
теж прямують до нуля, так як
і
диференційовані функції
За умовою теореми
.
Тому за теоремою 3.1 можна записати:
або
,
де
при
.
Розділимо обидві частини останньої
рівності на
і перейдемо до границі при
:
Таким
чином,
і теорему доведено
Приклад
8.1.
Знайти похідну функції
.
Розв’язування.
Запишемо задану функцію у вигляді
,
де
.
Тоді за теоремою 8.7 отримаємо
.
Приклад
8.2.
Знайти похідну функції
.
Розв’язування.
Аналогічно попередньому прикладу маємо
(
):
.
8.4. Похідна функції, заданої неявно.
Нехай залежність між двома змінними х і у задана деяким рівнянням, яке символічно можна записати у вигляді
.
(8.1)
Розглянемо
функцію
,
визначену в деякому інтервалі
.
Якщо рівняння (8.1) при підстановці в
ньому замість змінної у
виразу
перетворюється в тотожність, то воно
є неявним заданням функції
і його інколи записують у вигляді
.
Наприклад:
1)
;
2)
.
В
першому прикладі можна перейти від
неявно заданої функції до явно заданої:
.
Покажемо на прикладі як обчислюється похідна від функції заданої неявно.
Нехай
задана функція
,
де
,
тобто
.
Продиференціюємо останню рівність, враховуючи, що cos(y(x)+x) складна функція:
або
.
З
останньої рівності виражаємо похідну
:
або
.
