- •Информационные системы в экономике
- •Тема 1 Информационные процессы в экономике
- •Автоматизированные информационные системы
- •Контрольные вопросы по теме 1
- •Тесты для проверки знаний по теме 1
- •Тема 2 Методика создания автоматизированных информационных систем в экономике
- •Носители (документы) исходной информации
- •Носители (документы) результатной информации
- •Контрольные вопросы
- •Тесты для проверки знаний по теме 2
- •Тема 4 Информационное обеспечение аис
- •4.2. Классификационное дерево
- •Использование электронного документа при решении задачи
- •Электронный документ в базе данных (журнале, реестре)
- •Создание электронного документа
- •Унифициро-ванная форма первичного документа
- •Формы вывода результатов обработки
- •Успеваемость (фрагмент)
- •Студенты финансового факультета ннгу им. Н.И. Лобачевского
- •Список клиентов
- •Список товаров
- •Список заказов
- •Информация о клиенте, нужная для оформления заказа
- •Информация о клиентах
- •Заявка на заказ
- •Сведения о товарах
- •Заказы клиентов
- •Банковский продукт
- •(Услуги, операции)
- •Документ
- •Пользователь
- •Финансовый инструмент
- •(Ценные бумаги)
- •Контрольные вопросы
- •Тесты для проверки знаний по теме 4
- •Тема 3 Техническое и технологическое обеспечение аис
- •Информационные интеллектуальные системы
- •Эксперты Мнение эксперта
- •Контрольные вопросы
- •Тесты для проверки знаний по теме 3
- •Тема 5 Автоматизированные информационные системы и технологии бухгалтерского учета и аудита
- •Класс бухгалтерских систем
- •Места возникновения бухгалтерских ошибок
- •Контрольные вопросы
- •Тесты для проверки знаний по теме 5
- •Тема 7 Автоматизированные информационные системы в банках
- •Основные признаки поколений абс
- •Контрольные вопросы
- •Тесты для проверки знаний по теме 7
- •Тема 8 Автоматизированные информационные технологии (аит) в финансовом менеджменте
- •Единая многоуровневая распределенная система управления финансами
- •Функциональная подсистема
- •Функциональная подсистема
- •Модуль реализации конкретной задачи
- •Технологический процесс (арм)
- •Технологический процесс (арм)
- •Технологический процесс (арм)
- •Модуль реализации конкретной задачи
- •Аис «Финансы»
- •Функциональные подсистемы
- •Доходная часть бюджета
- •Бюджетный процесс
- •Расходная часть бюджета
- •Государственное кредитование
- •Финансовый контроль бюджета
- •Финансирование отраслей национального хозяйства
- •Сводно-группировочные Расчеты по бюджету региона
- •Автоматизированная информационная система Составления и исполнения бюджета (ассиб)
- •Функциональные подсистемы
- •Составление и исполнение собственного бюджета
- •Аналитические расчеты
- •Отраслевые министерства и ведомства
- •Федеральная налоговая служба
- •Плательщики в федеральный бюджет
- •Счета гуфк по расходам и доходам федерального бюджета
- •Счета уфк по расходам и доходам федерального бюджета
- •Счета офк по расходам и доходам федерального бюджета
- •Счета подрядных организаций и поставщиков рбс
- •Счета плательщиков
- •Программное обеспечение казначейских органов, ориентированное на решение основных функциональных задач
- •Системное программное обеспечение
- •Проблемно-ориентированное Программное обеспечение
- •Специалистов
- •Сетевое ос
- •Учет доходов Федерального бюджета
- •Учет расходов федерального бюджета
- •Программный комплекс «Казна»
- •Программный комплекс «Смета»
- •Объект управления
- •Финансовые ресурсы
- •Финансовые отношения
- •Управляющая подсистема финансового менеджмента Объект управления
- •Контрольные вопросы
- •Тесты для проверки знаний по теме 8
- •Тема 13 Информационная безопасность экономических систем
- •Объективная сторона преступления по ст. 274
- •Отягчающие обстоятельства, предусмотренные ч.2 ст.272
- •Объективная сторона преступления по ст. 272
- •Перехват информации
- •Типы и субъекты угроз
- •Управление защитой информации
- •Контрольные вопросы
- •Тесты для проверки знаний по теме 13
- •Тема 6 Комплексные информационные системы управления предприятием
- •Контрольные вопросы
- •Тесты для проверки знаний по теме 6
Тема 4 Информационное обеспечение аис
Понятие экономической информации, ее виды и структура.
Понятие информационного обеспечения (ИО). Системы классификации и кодирования.
Проектирование документации и технология ее получения.
Внутримашинное информационное обеспечение.
Рис. 4.1. Структура экономической информации
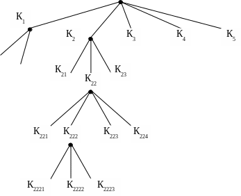
4.2. Классификационное дерево
X
X
X
X
Признак Г
Признак В
Признак Б
Признак А
Рис. 4.3. Структуру кода
б)
а)
10
X
XX
X
10
7
01
3
Номенклатурный
номер
Номенклатурный
номер
Склад
Склад № 3
Вид материалов
Строительные
материалы
Номер счета
Номер счета
Рис. 4.4. Структура кода (а) и пример кода (Б) для счета 10 «Материалы»
Ввод
ПечатьИспользование электронного документа при решении задачи
Электронный документ в базе данных (журнале, реестре)
Создание электронного документа
Унифициро-ванная форма первичного документа
Рис. 4.5. Схема создания электронного документа
Рис. 4.6. Автоматическое формирование электронных документов
Таблица 4.1
Типовая межотраслевая форма N М-4
Утверждена Постановлением
Госкомстата России
от 30.10.97 N 71а
ПРИХОДНЫЙ ОРДЕР N 13707 ┌────────┐
│ Коды │
├────────┤
Форма по ОКУД │ 0315003│
├────────┤
Организация ВМЗ по ОКПО │05757848│
└────────┘
Структурное подразделение СКМ ТЭСЦ-3
Склад покупного металла ТЭСЦ-3
Дата состав- ления |
Поставщик |
Страховая компания |
Корреспондирующий счет |
Номер документа |
|||
наимено- вание |
код |
сопрово- дитель- ного |
пла- теж- ного |
||||
счет, субсчет |
код анали- тического учета |
||||||
15-ДЕК-2004 |
ООО ОМК-СТАЛЬ |
10229 |
|
|
|
598040014Д |
|
Грузоотправитель: ОО ОМК-СТАЛЬ г. Москва
Материальные ценности |
Единица измерения |
Количество |
Учет-ная цена, руб. коп. |
Сумма по учетной цене, руб. коп. |
Сумма НДС, руб. коп. |
Всего с учетом НДС, руб. коп. |
Номер пас-порта |
Поряд-ковый номер по склад-ской карто- теке |
Номер поступления |
|||
по доку- менту |
при-нято |
|||||||||||
наимено-вание, сорт, размер, марка |
номен- клатурный номер, категория БДДС |
код |
Наиме-нование |
|||||||||
1 |
2 |
3 |
4 |
5 |
6 |
7 |
8 |
9 |
10 |
11 |
12 |
13 |
1770.0x6.0_20_ТУ 14-1-3579-83 |
071.003407 |
|
тонна |
63,800 |
63,800 |
14500,00 |
925100,00 |
|
|
|
|
10069 |
|
|
|
|
63,600 |
63,600 |
14500,00 |
922200,00 |
|
|
|
|
10110 |
|
|
|
|
62,900 |
62,900 |
14500,00 |
912050,00 |
|
|
|
|
10111 |
|
|
|
|
|
|
|
|
|
|
|
|
|
|
Штрипс рулонный |
|
|
|
|
|
|
|
|
|
||
|
Итого по позиции: |
190,300 |
190,300 |
|
2759350,00 |
|
|
|
|
|
||
|
|
|
|
|
|
|
|
|
|
|
||
Итого: |
190,300 |
190,300 |
|
2759350,00 |
|
|
|
|
|
|||
Принял _____________ ___________ _____________ Сдал ____________ ___________ ______________
должность подпись расшифровка должность подпись расшифровка
Ответственный УМТС ___________ ___________ _____________
должность подпись расшифровка
