- •Вопрос 1. Что такое скаляр? Приведите примеры.
- •Вопрос 4
- •Вопрос 5 Что такое орт. Приведите примеры.
- •Вопрос 6.
- •Вопрос 8 Дайте определение производной. Приведите примеры.
- •Вопрос 9 Каковы свойства производной. Приведите примеры.
- •Вопрос 11 Что называют определенным интегралом функции? Приведите примеры. Определенный интеграл Римана.
- •Определенный интеграл Дарбу.
- •Определенный интеграл Ньютона-Лейбница.
- •Вопрос 12 Напишите формулу Ньютона-Лейбница и объясните смысл всех ее величин.
- •Вопрос 14 Каков геометрический смысл производной.
- •Виды механического движения
- •Геометрия движения
- •Связь со скоростью и нормальным ускорением
- •Вопрос 19 какое движение называют равномерным? Каковы его свойства?
- •50. Закон Сохранения Механической Энергии
- •68, 69, 70 Изохорный процесс
- •79. Что называют электрическим зарядом?
- •87. Что называют потенциалом электростатического поля?
- •88.Какую поверхность называют эквипотенциальной?
- •89. Напишите и объясните выражение напряжённости однородного электрического поля.
- •90. Чему равна работа электрического поля по перемещению заряда из одной точки поля в другую?
- •92. Какие вещества называют диэлектриками?
- •93. Что такое диэлектрическая проницаемость?
- •94. Что называют электрическим током?
- •Формула 2 — Радиус окружности движения заряда
Вопрос 8 Дайте определение производной. Приведите примеры.
В этой статье дадим основные понятия, на которых будет базироваться вся дальнейшая теория по теме производная функции одной переменной.
Путь x –
аргумент функции f(x) и
-
малое число, отличное от нуля.
(читается
«дельта икс») называют приращением
аргумента функции.
На рисунке красной линией показано
изменение аргумента от значения x до
значения
(отсюда
видна суть названия «приращение»
аргумента).
При
переходе от значения аргумента
к
значения
функции изменяются соответственно
от
до
при
условии монотонности функции на
отрезке
.
Разность
называют приращением
функции f(x),
соответствующем данному приращению
аргумента. На рисунке приращение функции
показано синей линией.
Рассмотрим эти понятия на конкретном примере.
Возьмем,
к примеру, функцию
.
Зафиксируем точку
и
приращение аргумента
.
В этом случае приращение функции при
переходе от
к
будет
равно
Отрицательное
приращение
говорит
об убывании функции на отрезке
.
Графическая иллюстрация
Определение производной функции в точке.
Пусть
функция f(x) определена
на промежутке (a;
b),
и
-
точки этого промежутка.Производной
функции f(x) в
точке
называется
предел отношения приращения функции к
приращению аргумента при
.
Обозначается
.
Когда последний предел принимает конкретное конечное значение, то говорят о существовании конечной производной в точке. Если предел бесконечен, то говорят, чтопроизводная бесконечна в данной точке. Если же предел не существует, то и производная функции в этой точке не существует.
Функцию f(x) называют дифференцируемой в точке , когда она имеет в ней конечную производную.
Если
функция f(x) дифференцируема
в каждой точке некоторого промежутка (a;
b),
то функцию называют дифференцируемой
на этом промежутке. Таким образом, любой
точке x из
промежутка (a;
b) можно
поставить в соответствие значение
производной функции в этой точке
,
то есть, мы имеем возможность определить
новую функцию
,
которую называют производной
функции f(x) на
интервале (a;
b).
Операция нахождения производной называется дифференцированием.
Проведем разграничения в природе понятий производной функции в точке и на промежутке: производная функции в точке – это есть число, а производная функции на промежутке – это есть функция.
Пример.
Найти
производную функции
в
точке
,
используя определение.
Решение.
Так
как мы ищем производную функции в точке,
то в ответе должно быть число. Запишем
предел отношения приращения функции к
приращению аргумента и воспользуемся
формулами тригонометрии:
Осталось
применить первый
замечательный предел для
получения конечного результата:
Ответ:
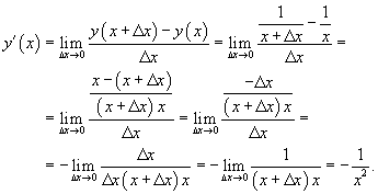
Пример
2
Используя
определение, найти производную функции
.
Решение.
По
определению производной
Вопрос 9 Каковы свойства производной. Приведите примеры.
|
1.
Постоянный множитель можно вынести
за знак производной:
2.
Производная алгебраической суммы
функций равна алгебраической сумме
производных этих функций
3.
Производная произведения
4.
Производная дроби (производная
частного)
5.
Производная сложной функции
|
Вопрос
10
Что называют неопределенным
интегралом функции? Приведите
примеры.
Если функция является
первообразной для , то выражение называется
неопределённым интегралом от функции.
Определение. Функция
F(x) называется первообразной для функции
f(x)(дифференциала f(x)dx) на отрезке [a,b],
если F’(x) = f(x) для
.
Нетрудно
видеть, что функция
является
первообразной для функции cos3x.
Действительно,
.
Докажем
несколько свойств первообразных.
Теорема
1.
Если F(x) – первообразная для функции
f(x), то F(x) + C, где C- некоторая константа,
также является первообразной
для f(x).
Доказательство. Действительно,
(F(x) + C)’ = F’(x) + C’ = f(x). Теорема
доказана.
Теорема
2.
Если F(x) и Ф(x) две первообразные одной и
той же функции, то их разность F(x) – Ф(x)
есть константа на [a,b].
Следствие. Любые
две первообразные одной и той же функции
связаны соотношением Ф(x) = F(x) +
C.
Определение. Множество
всех первообразных функции f(x)
(дифференциала f(x)dx) называется
неопределенным интегралом от этой
функции и обозначается
.
Свойства
неопределенного
интеграла:
1.
;
2.
;
3.
;
4.
;
5.
Свойства
3 и 4 означают линейность операции
интегрирования. Свойство 5 следует из
инвариантности формы первого дифференциала
и лежит в основе нахождения интеграла
с помощью замены переменной.
Используя
свойства 1-5 и свойства дифференциалов,
сводят вычисление интегралов к так
называемым табличным интегралам
