- •4. Детерминированные и квазидетерминированные процессы, их описание в рамках теории случайных процессов, выражения для n-мерных плотностей вероятности.
- •1)Постановка задачи
- •41. Формулировка задачи оптимального обнаружения сигнала на фоне шума при дискретных наблюдениях. Отношение правдоподобия. Понятие достаточной статистики.
- •1)Постановка задачи
- •6.Многомерная характеристическая функция случайного процесса и ее основные свойства.
- •2)Статистическая независимость
- •3)Характеристики совокупности случайных процессов
- •4)Определение некоррелированности случайных процессов
- •20 Понятия стационарности, эргодичности, гауссовости совокупности двух случайных процессов. Разобрать пример двух стационарных, но нестационарно связанных случайных процессов
- •1) Симметричность
- •Ограниченность по модулю:
- •2) Положительная определенность:
- •Ограниченнность по модулю:
- •22. Свойства корреляционной функции стационарного случайного процесса.
- •29. Преобразование спектральной плотности энергии и функции корреляции случайных сигналов I-ой группы при прохождении их через линейные сист.
- •Основные свойства Гауссовых случайных процессов.
- •Опр. 1(стационарность в узком смысле(строгая)):
- •Основные характеристики:
- •Опр. 2: (стационарность в широком смысле)
- •Вывод: Все квазидетерминированные случайные процессы порожденные периодическими функциями с равномерно распределенным по периоду началом, стационарны, по крайней мере, в широком смысле.
- •Эргодичность по отношению к среднему значению случайного процесса.
- •Необходимое и достаточное условие эргодичности:
- •Достаточное условие эргодичности Слуцкого:
Основные свойства Гауссовых случайных процессов.
1) Гауссовский случайный процесс исчерпывающим образом определяется средним значением и ковариационной функцией
m(t)=<x(t)>;
B(t1,t2)=<x(t1)x(t2)> - <x(t1)><x(t2)>=K[t1,t2] - <x(t1)><x(t2)>
2) Для гауссова случайного процесса некоррелированность тождественна стат. независимости
В=0K[t1,t2]= <x(t1)><x(t2)>
;
В результате любого линейного преобразования гауссовых случайных процессов получаются гауссовы случайные процессы.
любая лин. комбинация с.г.п. есть с.г.п.
z(t)=αx(t)+βy(t)
любая усл. плотность вер-ти с.г.п. имеет гаусовск. форму
с помощью лин. преобразований корр.(завис.) значений с.г.п x(t) можно преобразовать в систему стат. незав.(некорр.) г.с.величин
x(t)- с.г.п.
Любые моментные функции гауссовых случайных процессов выражаются через его m(tk) и B(tk,tl)
предположим <x(t)>=mx(t)=0
<x(t1),x(t2)>=α2(t1,t2)=Bx[t1,t2]
α4(t1,t2,t3,t4)= Bx[t1,t2] Bx[t3,t4]+ Bx[t1,t3] Bx[t2,t4]+ Bx[t1,t4] Bx[t2,t3]
α2m(t1,…,t2m)=(2m-1)!!{ Bx[t1,t2] Bx[t3,t4]… Bx[t2m-1,t2m]}
№13 Стационарные случайные процессы. Понятия стационарности в узком и широком смысле, их взаимоотношение
Опр. 1(стационарность в узком смысле(строгая)):
Случайный процесс x(t) стационарен в узком смысле, если все его n-мерные плотности вероятности инвариантны относительно сдвига во времени, т.е.
W(x1,t1;…;xn,tn)= W(x1,t1+;…;xn,tn+)
для стац. процесса
n=1 W(x,t) = W(x,t+) , W(x,t) = W(x)
n=2 W(x1,t1;x2,t2) = W(x1,t1- t1;x2,t2- t1)= W(x1,0;x2,t2- t1)= W(x1,x2,t2- t1),
т.е. зависит только от разностей моментов времени.
Основные характеристики:
Среднее значение равно константе
<x(t)>=
Дисперсия равна константе
Корреляционная функция
Ковариационная
функция
Нормированная ковариационная функция
Опр. 2: (стационарность в широком смысле)
Случайный процесс x(t) стационарен в широком смысле, если
<x(t)>=const, а Kx[t1,t2]= Kx[t1-t2]=Kx[]
Для с.г.п. стац. в шир. и в узк. смысле совпадают т.к у них определены только ср. знач. и ковар. ф-ция.
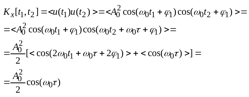
№14. Стационарность квазидетерминированных случайных процессов (рассмотреть на примерах X(t) = A0cos(0t + ); X(t) = S(t +0), где и 0 - случайные величины, S(t) - периодическая детерминированная функция).
Квазидетерминированный случайный процесс
x(t)=A0cos(0t+) , - случайная величина
Среднее значение
<x(t)>= < A0cos(0t+)>= A0<cos(0t+)>=
=A0<cos(0t)cos - sin(0t)sin>=A0[cos(0t)<cos> - sin(0t)<sin>]
=0
Следовательно, <x(t)>=0, т.е. не зависит от времени
Корреляционная функция
зависит только от t2-t1=
n(…) инвариантны по времени, т.е. можно доказать инвариантность в широком смысле.
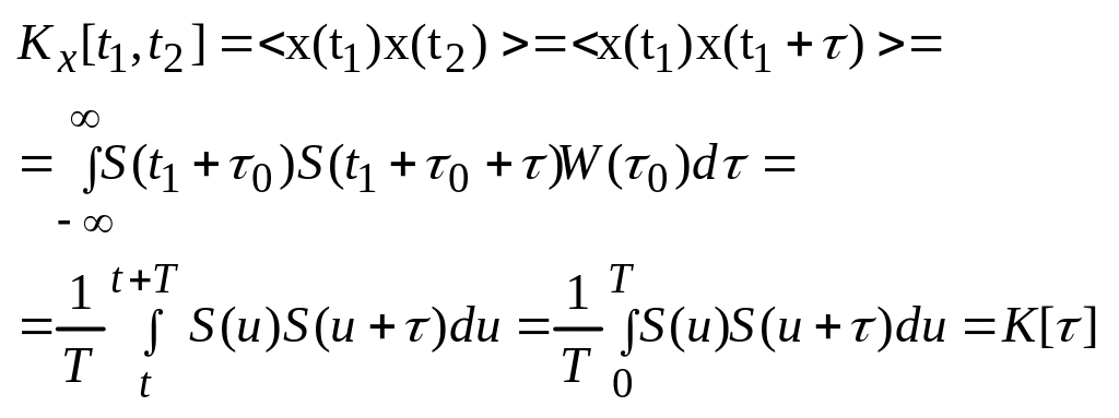
Квазидетерминированный случайный процесс со случайной начальной величиной 0. x(t)=S(t+0), S(t)- детерминированная функция с периодом Т
W
(0)=
Среднее значение
<x(t)>=<S(t+0)>=
,
т.е. не зависит от времени
Корреляционная функция
т.е. зависит только от t2-t1=
Вывод: Все квазидетерминированные случайные процессы порожденные периодическими функциями с равномерно распределенным по периоду началом, стационарны, по крайней мере, в широком смысле.
№15 Эргодичность случайных процессов. Вывод необходимых и достаточных условий эргодичности по отношению к среднему значению .
Эргодичность по отношению к среднему значению случайного процесса.
x(t) – стационарный случайный процесс.
Вопрос: как найти среднее значение по одной реализации?
-
среднее по времени от "к"-й реализации.
,
или нет?
(<x>
- средний по стат. ансамблю.)
(*)
Для гарантии сходимости (*) для всех "к" к значению <x>, рассмотрим случайную величину
(2.6.3)
Определение: Говорят, что случайный процесс x(t) обладает эргодическим свойством относительно среднего значения, если среднее по времени (2.6.3) при T → ∞ сходится к среднему по стат. ансамблю.
-
оценка
среднего статистического значения.
(2.6.4)
Сам процесс называется эргодическим.
Вопрос: Каким дополнительным условиям должен удовлетворять стационарный случайный процесс, чтобы быть эргодическим по отношению к среднему в среднеквадратическом смысле.
;
={
}=
={
} {якобиан обратных преобразований
равен 1}=
(2.6.5)
(дисперсиная оценка функции ),
-
симметричная функция.
Из (2.6.5) следует:
