Моделі товарного виробництва
Еволюція товарного виробництва разом з розвитком виробничих сил і суспільним поділом праці зумовлює різноманітність його видів, які можна представити такими моделями:
I. Модель простого товарного виробництва. Як об'єкт аналізу розглядається дрібне, засноване на власній праці виробництво.
II. Товарне виробництво вільної конкуренції. Це універсальніша модель, вона характеризується тим, що розвиток економіки не обмежено жодною монополією. Тут домінує наймана праця. Господарська діяльність товаровиробника здійснюється в умовах конкуренції, при цьому він спирається тільки на ринкову кон'юнктуру, виходить лише з власних інтересів.
III. Товарне виробництво організованого ринку. Модель економіки вищого рівня. Поглиблений поділ праці і спеціалізація ускладнюють господарські зв'язки й об'єктивно зумовлюють необхідність координації і регулювання економіки. На цьому етапі розвитку ринкове самоврядування доповнюється державним регулюванням, що перетворює товарне виробництво на організовано-ринкове. Для глибшого усвідомлення змісту і закономірностей розвитку товарно-грошових відносин необхідно розглянути основні категорії цих відносин — товар і гроші.
3 питання
Основні системи управління запасами - Система з фіксованим розміром замовлення
Само назва говорить про засадничий параметр системи. Це - розмір замовлення. Він строго зафіксований і не міняється ні за яких умов роботи системи. Визначення розміру замовлення є тому першим завданням, яке вирішується при роботі з цією системою управління запасами.
У вітчизняній практиці частенько виникає ситуація, коли розмір замовлення визначається з яких-небудь приватних організаційних міркувань. Наприклад, зручність транспортування або можливість завантаження складських приміщень. Між тим в системі з фіксованим розміром замовлення об'єм закупівлі має бути не лише раціональним, але і оптимальним, т. е. найкращим. Оскільки ми розглядаємо проблему управління запасами в логістичній системі окремої організації або економіки в цілому, то критерієм оптимізації має бути мінімум сукупних витрат на зберігання запасів і повторення замовлення. Цей критерій враховує три чинники, діючих на величину названих сукупних витрат:
- використовувана площа складських приміщень;
- витрати на зберігання запасів;
- вартість оформлення замовлення.
Ці чинники тісно взаємозв'язані між собою, причому само напрям їх взаємодії неоднаковий в різних випадках. Бажання максимально заощадити витрати на зберігання запасів викликає зростання витрат на оформлення замовлень. Економія витрат на повторення замовлення призводить до втрат, пов'язаних із змістом зайвих складських приміщень, і, крім того, знижує рівень обслуговування споживача. При максимальному завантаженні складських приміщень значно збільшуються витрати на зберігання запасів, вірогідніший ризик появи неліквідних запасів.
Використання критерію мінімізації сукупних витрат на зберігання запасів і повторне замовлення не мають сенсу, якщо час виконання замовлення занадто тривало, попит випробовує істотні коливання, а ціни на ті, що замовляються сировина, матеріали, напівфабрикати і інше сильно коливаються. У такому разі недоцільно економити на утриманні запасів. Це, найімовірніше, приведе до неможливості безперервного обслуговування споживача, що не відповідає меті функціонування логістичної системи управління запасами. У усіх інших ситуаціях визначення оптимального розміру замовлення забезпечує зменшення витрат на зберігання запасів без втрати якості обслуговування.
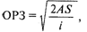
Оптимальний розмір замовлення за критерієм мінімізації сукупних витрат на зберігання запасу і повторення замовлення розраховується по формулі (вона називається формулою Вильсона) :
(7.1)
де ОРЗ - оптимальний розмір замовлення, шт.;
А - витрати на постачання одиниці продукту, що замовляється, крб.;
S — потреба в продукті, що замовляється, шт.;
i - витрати на зберігання одиниці продукту, що замовляється, крб./шт.
Витрати на постачання одиниці продукту (А), що замовляється, включають наступні елементи:
- вартість транспортування замовлення;
- витрати на розробку умов постачання;
- вартість контролю виконання замовлення;
- витрати на випуск каталогів;
- вартість форм документів.
Формула (7.1) є першим варіантом формули Вильсона. Він орієнтований на миттєве поповнення запасу на складі. У випадку якщо поповнення запасу на складі робиться за деякий проміжок часу, то формула (7.1) коригується на коефіцієнт, що враховує швидкість цього поповнення :
(7.2)
де k - коефіцієнт, що враховує швидкість поповнення запасу на складі.
Порядок розрахунку усіх параметрів системи управління запасами з фіксованим розміром замовлення приведений в таблицю. 7.1. Початкові дані для розрахунку параметрів системи наступні:
- потреба в продукті, що замовляється, шт.;
- оптимальний розмір замовлення, шт.;
- час постачання, дні;
- можлива затримка постачання, дні.
Гарантійний (страховий) запас дозволяє забезпечувати потребу на час передбачуваної затримки постачання. При цьому під можливою затримкою постачання мається на увазі максимально можлива затримка. Заповнення гарантійного запасу робиться в ході наступних постачань через використання другого розрахункового параметра цієї системи - порогового рівня запасу.
Пороговий рівень запасу визначає рівень запасу, досягши якого робиться чергове замовлення. Величина порогового рівня розраховується таким чином, що вступ замовлення на склад відбувається у момент зниження поточного запасу до гарантійного рівня. При розрахунку порогового рівня затримка постачання не враховується.
Третій основний параметр системи управління запасами з фіксованим розміром замовлення - максимальний бажаний запас. На відміну від попередніх двох параметрів він не чинить безпосередньої дії на функціонування системи в цілому. Цей рівень запасу визначається для відстежування доцільного завантаження площ з точки зору критерію мінімізації сукупних витрат. Графічна ілюстрація функціонування системи з фіксованим розміром замовлення приведена на мал. 7.9.
