11)Задачи.
№1.
Высота цилиндра 6см, радиус основания 5см.
Найдите площадь сечения, проведенного параллельно оси цилиндра на расстоянии 4см от нее.
Дано: Н = 6см, R = 5см, ОЕ = 4см.
Найти: Sсеч.
Решение:
Sсеч.= КМ×КС,
ОЕ = 4 см, КС = 6 см.
Треугольник ОКМ − равнобедренный (ОК =ОМ = R= 5см),
треугольник ОЕК − прямоугольный.
Из треугольника ОЕК, по теореме Пифагора: ЕК =3
КМ = 2ЕК = 2×3 = 6,
Sсеч.= 6×6 = 36 см2.
Ответ: Sсеч.= 36 см2
№2.
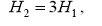
Объём первого цилиндра равен 12 куб. м. У второго цилиндра высота в три раза больше, а радиус основания — в два раза меньше, чем у первого. Найдите объём второго цилиндра. Ответ дайте в кубических метрах.
Решение:
Пусть
объём первого цилиндра равен:
объём второго:
R1,2 – радиусы оснований цилиндров;
H1,2 – высоты;
По условию:
Выразим объём второго цилиндра через объём первого:
Ответ: 9 куб.м.
№3.
Осевым сечением цилиндра является
квадрат, диагональ которого равна 6 см.
Найдите площадь поверхности цилиндра.
Дано: цилиндр,
АВСD -осевое сечение,
АВ = АD, ВD 6= см.
Найти: Sпов.цил
Решение:
Из
прямоугольного треугольника АВD по
теореме Пифагора:
=2*
, откуда сторона квадрата АВ=4(см). Поэтому
высота цилиндра АВ = 4 см, радиус цилиндра
ОА =2 см.
Площадь
боковой поверхности Sбок.ц = 2*
h
= 2*2*4 *
=
16
(см2).
Площадь
основания Sосн. = 2*
= 2*4 = 8
(см2).
Площадь полной поверхности Sпов.цил. = Sбок.ц + Sосн. = 16 + 8 = 24 (см2).
Ответ: 24 (см2).
№4.
Дано:
,
h=10
cм
Периметр осевого сечения цилиндра равен 32 см. Найдите площадь боковой поверхности цилиндра, если его высота равна 10 см.
Решение:
Осевое сечение цилиндра – это прямоугольник, 2 стороны которого – высоты цилиндра, в две другие – его диаметры. Т.к. его периметр равен 32 см, а высота цилиндра составляет 10 см:
,
то диаметр цилиндра равен 6 см.
Боковая поверхность цилиндра вычисляется, как произведение длины окружности основания на высоту и составит
Ответ:
12)Применение.
В быту:
Цилиндр в природе:
Цилиндр
в архитектуре:
13)Обратная связь.
Какая фигура называется цилиндром?
Почему цилиндр называют телом вращения?
Назовите виды цилиндров.
Назовите элементы цилиндра.
Назовите основные виды сечений цилиндра. Какая фигура получается в каждом случае?
Какую фигуру представляет собой развертка боковой поверхности цилиндра?
Может ли сечение цилиндра быть:
-прямоугольником
-квадратом
-трапецией
Какие из данных утверждений верны:
-любое сечение цилиндра плоскостью, перпендикулярной основанию есть окружность, равная окружности основания;
-плоскость, перпендикулярная оси цилиндра, пересекает его по кругу, равному основанию цилиндра;
-сечением цилиндра могут быть круг, прямоугольник, эллипс.
