- •7. 090603 “Електротехнічні системи електроспоживання”
- •7. 090603 “Електротехнічні системи електроспоживання”
- •1. Загальні вказівки до виконання розрахунково-графічної роботи
- •2. Використання апарату теорії імовірностей в практичних задачах енергетики
- •3. Завдання на розрахунково-графічну роботу Завдання №1
- •Завдання №2
- •Завдання № 3
- •Завдання №4.
МІНІСТЕРСТВО ОСВІТИ І НАУКИ УКРАЇНИ
ЧЕРКАСЬКИЙ ДЕРЖАВНИЙ ТЕХНОЛОГІЧНИЙ УНІВЕРСИТЕТ
МЕТОДИЧНІ ВКАЗІВКИ
до виконання розрахунково-графічної роботи з дисципліни
“МАТЕМАТИЧНІ ЗАДАЧІ В ЕЛЕКТРОЕНЕРГЕТИЦІ”
для студентів спеціальності
7. 090603 “Електротехнічні системи електроспоживання”
усіх форм навчання
Черкаси ЧДТУ
МІНІСТЕРСТВО ОСВІТИ І НАУКИ УКРАЇНИ
ЧЕРКАСЬКИЙ ДЕРЖАВНИЙ ТЕХНОЛОГІЧНИЙ УНІВЕРСИТЕТ
МЕТОДИЧНІ ВКАЗІВКИ
до виконання розрахунково-графічної роботи з дисципліни
“МАТЕМАТИЧНІ ЗАДАЧІ В ЕЛЕКТРОЕНЕРГЕТИЦІ”
для студентів спеціальності
7. 090603 “Електротехнічні системи електроспоживання”
усіх форм навчання
Затверджено
на засіданні кафедри
електротехнічних систем,
протокол № від . .200_ р.
та Методичною радою ЧДТУ,
протокол № від
Черкаси ЧДТУ
Методичні вказівки до виконання курсової роботи з дисципліни “Математичні задачі в електроенергетиці” для студентів спеціальності 7.090603 “Електротехнічні системи електроспоживання” усіх форм навчання / Укл. К.М. Ключка, М.М. Федосенко, О.С. Гавриш, О.О. Ситник. - Черкаси: ЧДТУ, 200_. - __ с.
Укладачі: Ключка К.М.
Федосенко М.М., к.т.н., доцент
Гавриш О.С., к.ф.-м.н.
Ситник О.О., к.т.н., доцент
1. Загальні вказівки до виконання розрахунково-графічної роботи
Методичні вказівки складені відповідно до програми курсу “Математичні задачі в електроенергетиці” для студентів спеціальності 7.090603 “Електротехнічні системи електроспоживання”. Сформульовано завдання на розрахунково-графічну роботу (РГР) та наведені варіанти індивідуальних вихідних даних для обчислень.
Метою РГР є закріплення та поглиблення знань з лекційного курсу “Математичні задачі в електроенергетиці” і одержання навичок їх використання для розв’язку реальних задач енергетики.
В результаті виконання РГР необхідно розв’язати 4 задачі з наступних тем:
випадкові величини в енергетиці та визначення їх числових характеристик; розрахунок параметрів рівняння регресії;
системи випадкових величин та їх числові характеристики;
критерій згоди Пірсона;
моделювання нормального закону розподілу.
Варіанти індивідуальних завдань наведені в розділі 3.
РГР оформлюється на аркушах формату А4, або у зошиті об’ємом 12 аркушів. Необхідно переписати текст задачі і вихідні дані згідно з індивідуальним варіантом, який визначається викладачем. Визначити придатні формули для розрахунків і виконати обчислення за допомогою мікрокалькулятора або ПЕОМ. Побудувати необхідні графіки, які можуть бути розміщені за текстом, або на окремих аркушах у пояснювальній записці. Навести список літератури, яка використовувалася при виконанні РГР. Посилання в тексті пояснювальної записки на першоджерела здійснюється в квадратних дужках з обов’язковим вказування номера сторінки, наприклад [2, стор. 47]. Загальний об'єм ПЗ становить близько 12-16 стор.
Робота повинна бути цілком оформлена і здана на перевірку не пізніше 14-го учбового тижня.
2. Використання апарату теорії імовірностей в практичних задачах енергетики
Наведемо деякі прийоми застосування теорії імовірностей у задачах енергетики, викладаючи їх на конкретних прикладах.
Завдання №1. Виписати 20 значень випадкової величини x і 20 значень випадкової величини y (n=20).
x |
14 |
96 |
87 |
36 |
80 |
13 |
86 |
66 |
85 |
73 |
94 |
43 |
26 |
91 |
64 |
14 |
08 |
37 |
93 |
03 |
y |
00 |
36 |
75 |
02 |
55 |
55 |
29 |
05 |
84 |
63 |
77 |
61 |
54 |
14 |
15 |
00 |
78 |
76 |
74 |
36 |
Для випадкової величини знайти:
математичне сподівання (m(x), m(y))
дисперсію (Д(x), Д(y))
середнє квадратичне відхилення ((x), (y))
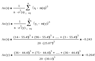
асиметрію (As(x), As(y))
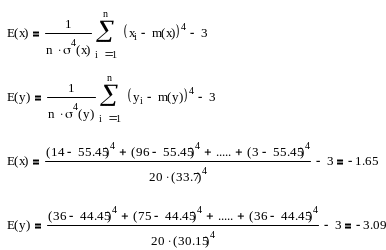
ексцес (E(x), E(y))
Визначити максимум кожної випадкової величини з імовірністю =0,95 (t=1,643)
Визначити для випадкової величини довірчі інтервали з довірчою імовірністю =0,95 (t'=1,96) оцінку математичного сподівання
Оцінка дисперсії
Визначити тісноту і наявність кореляційного зв'язку випадкових величин, кореляційний момент K(x,y)
Коефіцієнт кореляції r(x,y)
-стійкий
слабкий кореляційний зв'язок.
Побудувати розподіл (xi, yi), i=1...20
20
2
7
14
15
8
4
16
1
53.36
12
18
13
6
9
5
10
17
11
19
3
y=0.2x+33.36
Побудувати параметри рівнянь регресії для 2-х випадків
лінійна функція: Y(x)=Ax+B
парабола: Y(x)=Ax2+Bx+C
y=ax+b
-
x
0
100
y
36.36
53.36
Знаходимо значення коефіцієнтів a, b, c
Завдання №2. Навантаження вузлів Ij (j=1,2,3,4,5) схеми, наведеної на рис.2.1, розподілені за нормальним законом.
Визначити розрахункові навантаження вузлів Iрj (j=1...5) та розрахункові сумарні навантаження Iр1-2, Iр3-5, Iр. Визначити значення коефіцієнтів одночасності (коефіцієнтів попиту) Ко для знайдених розрахункових сумарних навантажень Iр1-2, Iр3-5, Iр.
Рисунок 2.1
-
1
2
3
4
5
1
1
0.47
0. 215
0.13
0. 455
2
1
0.32
0.07
0.04
3
1
0. 185
0. 465
4
1
0. 015
5
1
Ipj=mij+tij t=1. 643
-
mij
140
960
870
360
800
ij
39
258
198
255
219
Ipj
204.08
1383. 9
1195. 3
778.96
1159. 8
Завдання №3. У залежності від номера варіанта і номера групи з таблиці випадкових чисел виписати n=100 значень із двухзначної випадкової величини по 2 цифри з таблиці на кожне значення випадкового величини.
За допомогою критерію згоди Пірсона (2) перевірити правдоподібність гіпотези про відповідність отриманого розподілу закону рівномірної щільності з параметрами =0, =100.
14 |
96 |
87 |
36 |
80 |
13 |
86 |
66 |
85 |
73 |
94 |
43 |
26 |
91 |
||
64 |
14 |
08 |
37 |
93 |
03 |
00 |
36 |
75 |
02 |
55 |
55 |
29 |
05 |
||
84 |
63 |
77 |
61 |
54 |
14 |
15 |
00 |
78 |
76 |
74 |
36 |
41 |
67 |
||
96 |
59 |
57 |
53 |
27 |
64 |
91 |
09 |
06 |
65 |
15 |
21 |
65 |
69 |
||
36 |
62 |
81 |
30 |
55 |
88 |
46 |
09 |
55 |
84 |
16 |
75 |
50 |
05 |
||
51 |
12 |
44 |
29 |
83 |
53 |
58 |
01 |
23 |
47 |
22 |
27 |
00 |
18 |
||
78 |
89 |
13 |
32 |
32 |
79 |
55 |
43 |
13 |
39 |
07 |
21 |
68 |
09 |
||
86 |
51 |
|
|||||||||||||
Розбиваємо діапазон різних значень на 10 однакових інтервалів m=10, pi=1/m=0.1, nxpi=100x0. 1=10
|
0-10 |
10-20 |
20-30 |
30-40 |
40-50 |
50-60 |
60-70 |
70-80 |
80-90 |
90-100 |
ni* |
14 |
11 |
9 |
9 |
6 |
14 |
11 |
9 |
11 |
6 |
pi* |
0.1 |
0.1 |
0.1 |
0.1 |
0.1 |
0.1 |
0.1 |
0.1 |
0.1 |
0.1 |
Проводимо інтерполяцію:
Отже гіпотеза правдоподібна.
Розбиваємо діапазон можливих значень на 5 однакових інтервалів.
m=5, pi=1/m=0.2, pixn=100x0. 2=20
т.е. для х2=1.9, r=3, p>0.1 - гіпотеза правдоподібна
Завдання №4. Використовуємо метод моделювання нормально розподілених чисел шляхом підсумовування k=9 рівномірно розподілених чисел одержати 25 значень випадкового величини Х.
i |
Ri,j |
|
i |
xi |
||||||||
1 |
2 |
3 |
4 |
5 |
6 |
7 |
8 |
9 |
|
|
|
|
1 |
14 |
96 |
87 |
36 |
80 |
13 |
86 |
66 |
85 |
5.63 |
1.305 |
333.96 |
2 |
73 |
94 |
43 |
26 |
91 |
64 |
14 |
08 |
37 |
4.5 |
0 |
240 |
3 |
93 |
03 |
00 |
36 |
75 |
02 |
55 |
55 |
29 |
3.48 |
-1.778 |
111.984 |
4 |
05 |
84 |
63 |
77 |
61 |
54 |
14 |
15 |
00 |
3.73 |
0.889 |
175.992 |
5 |
78 |
76 |
74 |
36 |
41 |
67 |
96 |
59 |
57 |
5.84 |
1.57 |
353.04 |
6 |
53 |
27 |
64 |
91 |
09 |
06 |
65 |
15 |
21 |
3.51 |
-1.143 |
157.704 |
7 |
65 |
69 |
36 |
62 |
81 |
30 |
55 |
88 |
46 |
5.32 |
0.947 |
308.184 |
8 |
09 |
55 |
84 |
16 |
75 |
50 |
05 |
51 |
12 |
3.57 |
-1.074 |
162.672 |
9 |
44 |
29 |
83 |
53 |
58 |
01 |
23 |
47 |
22 |
3.6 |
-1.039 |
165.192 |
10 |
27 |
00 |
18 |
78 |
89 |
13 |
32 |
32 |
79 |
3.68 |
-0.947 |
171.816 |
11 |
55 |
43 |
13 |
39 |
07 |
21 |
68 |
09 |
86 |
3.41 |
-1.259 |
149.352 |
12 |
51 |
59 |
07 |
95 |
66 |
15 |
56 |
63 |
34 |
4.46 |
0.866 |
302.352 |
13 |
56 |
55 |
81 |
23 |
32 |
69 |
18 |
60 |
33 |
4.27 |
-0.266 |
220.848 |
14 |
93 |
42 |
50 |
29 |
92 |
24 |
88 |
95 |
55 |
5.68 |
1.363 |
338.136 |
15 |
37 |
58 |
41 |
68 |
64 |
21 |
63 |
85 |
18 |
4.55 |
0.058 |
244.176 |
16 |
13 |
89 |
67 |
33 |
18 |
17 |
26 |
64 |
86 |
4.13 |
-0.427 |
209.256 |
17 |
52 |
24 |
71 |
71 |
88 |
05 |
98 |
93 |
42 |
5.44 |
1.085 |
318.152 |
18 |
67 |
24 |
80 |
90 |
82 |
72 |
58 |
79 |
30 |
5.82 |
1.524 |
349.746 |
19 |
00 |
89 |
68 |
87 |
84 |
16 |
27 |
58 |
99 |
5.28 |
0.900 |
304.849 |
20 |
95 |
28 |
94 |
37 |
75 |
78 |
02 |
52 |
45 |
5.06 |
0.647 |
286.559 |
21 |
24 |
24 |
99 |
33 |
34 |
68 |
39 |
35 |
91 |
4.47 |
-0.035 |
237.506 |
22 |
64 |
11 |
38 |
67 |
76 |
77 |
39 |
75 |
26 |
4.73 |
0.266 |
259.122 |
23 |
27 |
25 |
66 |
64 |
47 |
53 |
80 |
70 |
06 |
4.38 |
-0.139 |
230.023 |
24 |
07 |
04 |
82 |
58 |
21 |
34 |
80 |
31 |
77 |
3.94 |
-0.647 |
193.441 |
25 |
51 |
20 |
12 |
31 |
19 |
03 |
16 |
87 |
11 |
2.5 |
-2.009 |
73.718 |
