Автотербелмелі тізбектер және гармоникалық тербелістердің генерациясы
Жоспар
I.Кіріспе
Автотербеліс дегеніміз не?
II.Негізгі бөлім:
1.Автотербелмелі жүйелерге жалпы шолу.
2.Жоғарыжиілікті генераторлардың жұмыс режимдері.
3.Гармоникалық тербелістердің генерациясы.
4.LC және RC-генераторлар.
5.Амплитуда және фаза баланстары.
6.Автогенератордағы жиіліктің модуляциясы.
III.Қорытынды
Автотербеліс туралы жалпы түсінік.
1-сурет.Автотербелмелі тізбектер
Автотербеліс дегеніміз - сырттан энергия алмастан жүйенің ішіндегі энергия шығыны осы жүйедегі активті элемент есебінен толықтырылғанда жүйеде пайда болатын өшпейтін тербеліс. Автотербелістің жиілігі және амплитудасы жүйенің өзіне тән қасиеттері бойынша анықталады. Шамды және транзисторлық генератордағы тербелістер осы автотербелістерге жатады. Нақты тербелмелі жүйедегі тербеліс энергиясы біртіндеп жылу энергиясына айналады да, еркін тербелістер өшеді. Тербеліс өшпеу үшін энергия шығынын толықтырып отыру керек. Мұның екі жолы бар:
1.Тербелмелі жүйеге периодты түрде сырттан әсер етіп, энергияны толықтырып отыру яғни еріксіз тербелітер.
2. Автотербелістер— еріксіз тербелістерден сыртқы периодты әсерді қажет етпейтінімен ерекшеленеді.
2-cурет. Автотербелістер
Негізгі бөлім:
Автотербелмелі жүйелер
Автотербелістер — сыртқы периодты күштердің әсерінсіз жуйеде жүретін өшпейтін тербелістер екенін жоғарыда айтып өттік. Енді автотербелмелі жүйелерге тоқталайық. Автотербелістердің жиілігі мен амплитудасы тербелмелі жүйенің құрылысына байланысты. Кез келген автотербелмелі жүйе мынадай бөліктерден тұрады: энергия көзі, тербелмелі бөлік және клапан. Клапан (кілт) тербелмелі бөлікке оның тербелістеріне сәйкес керек уақытта энергия көзінен келетін энергияны жіберіп, не жауып отырады. Бұл процесті тербелмелі жүйенің өзі автоматты түрде реттеп тұрады. Электрлік автотербелістердің мысалы ретінде транзисторлы генераторды қарастырайық. Ол тербелмелі контурдан энергия көзінен және транзистордан тұрады. Транзистор дегеніміз — өткізгіштігі әр түрлі үш жартылай өткізгіштен — эмиттерден, базадан және коллектордан тұратын триод екені баршамызға белгілі. Транзисторлы генератор жоғары жиіліктегі (МГц) тербелістерді шығарады, сондықтан кілт өте тез жұмыс істеуі керек және ол инерциясыз болуы тиіс. Транзистор бұл шарттарды толық қанағаттандырады. Енді генератордьщ жұмысын қарастырайық. Тербелмелі контурдағы энергия шығынын толықтыру үшін оған тұрақты кернеу көзін қосады. Егер ол тербелмелі контурға үнемі қосулы тұрса, периодтың жартысында (кернеу көзінің оң полюсіне конденсатордың оң зарядталған астары қосулы тұрған кезде) конденсаторды үстемелеп зарядтайды да, ал периодтың екінші жартысында конденсатор астарларындағы зарядтың таңбасы өзгеріп, конденсатор разрядталады. Басқаша айтқанда, тербеліс периодының бірінші жартысында энергия контурға берілсе, екінші жартысында кернеу көзіне қайта беріледі. Әрине бұл жағдайда кернеу көзі энергия шығынын толтыра алмайды. Ал, егер кернеу көзі тербелмелі контурға периодты түрде, конденсатордың оң полюске қосылған астары оң зарядталып тұрған уақытта ғана қосылса, конденсатор тек кана үстемелеп зарядталып отырады. Онда тербелістер өшпейді. Кілтті (транзисторды) осылайша қолдану үшін кері байланыс қажет. Ол үшін индуктивтік катушканы пайдалануға болады. Генератордың жұмыс істеу принципін түсіну үшін оның схемасын карастырайық. Тұрақты кернеу көзі тербелмелі контурға транзистор арқылы қосылған. Транзистордың Б базасы n-типті жартылай өткізгіш, ал К коллектор мен Э эмиттер р-типті жартылай өткізгіштен жасалған болсын. Эмиттерге оң, коллекторға теріс потенциал берілген. Эмиттер — база-өтуі тура, ал база — коллектор-өтуі кері болады да, тізбекте ток жүрмейді. Тізбекті тұйықтау үшін базаға эмиттермен салыстырғанда теріс потенциал беру керек және осы кезде конденеатор үстемелеп зарядталу үшін оның үстіңгі астары оң зарядталуы тиіс. Конденсатордың үстіңгі астары теріс зарядталып тұрған кезде тізбектегі токтың болмауы шарт. Ол үшін эмиттермен салыстырғандағы базаның потенциалы оң болуы қажет. Сонымен, тербелмелі контурдағы конденсаторды қажет кездерде үстемелеп зарядтап, энергия шығынын толықтыру үшін эмиттерлік кернеу контурдағы кернеудің тербелістеріне сәйкес таңбасын периодты түрде өзгертіп отыруы керек. Жоғарыда айтылған кері байланыс, міне, осы үшін қажет. L2 индуктивтілік катушка эмиттерлік өтуге қосылған. Бұл катушка тербелмелі контурдың L1 катушкасымен индуктивтік байланыста. Электромагниттік индукцияның нәтижесінде L1 катушканың магнит өрісінің тербелістері Ь2 катушкадағы кернеудің тербе- лістерін тудырады, сондыктан эмиттерлік өтуде кернеудің тербелістері пайда болады. Тізбек керек кезінде тұйықталып түру үшін эмиттерлік өтудегі кернеу тербелістерінің фазасын дұрыс реттеп алу керек. Контурдағы энергия шығыны энергия көзінен келіп түскен энергиямен теңгерілгенше тербеліс амплитудасы өсе береді. Нәтижесінде өшпейтін стационар тербелістер режимі орнайды. Тербеліс жиілігі Томсон формуласымен анықталады:
.
Қорыта келе автотербелмелі жүйенің негізгі элементтерін атап көрсетейік:
өшпейтін тербелістерді сүйемелдейтін энергия көзі;
тербелмелі жүйе;
клапан, яғни тербелмелі жүйеге көзден келетін энергияны
реттейтін бөлік.
3-сурет. Автотербеліс жүйесі
Жоғарыжиілікті автогенераторлардың жұмыс режимдері.
Автогенератор - тұрақты ток көзінің қуатын пайдаланып, өздігінен қозатын, белгілі жиіліктегі және амплитудадағы гармоникалық тербелістерді немесе белгілі бір ұзақтығы мен амплитудасы бар импульстік сигналдарды тудыратын электрондық схема.
4-сурет.Жоғары жиілікті генератордың блок схемасы.
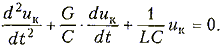
Төмендегі суретте L, С және G элементтерінен тұратын параллельді тербелмелі контур берілген. Кирхгофтың бірінші заңы бойынша :
iC + iG + iL = 0
Екі жақ бөлікті де С-ға бөлу арқылы уақыт бойынша дифференциялдық теңдеуді мына түрде аламыз:
Контур кедергісі R =1/G > 2p немесе G < l/(2p) болған жағдайда бұл процесс тербелмелі сипатқа ие болады.
Автогенератордағы тербелістің пайда болуын қарастырайық. Немесе мұны генератордың өздігінен қозу механизмі және тербелістің белгілі амплитудада болуы деп қарастыруға да болады. Генератордың стационарлы жұмыс режимі.
Тербелістің пайда болу себебі реалды схема элементіндегі ток флуктациясы болып табылады. Контурдан ағып өтетін iК ток флуктуациясы контурдағы кернеу флуктуациясын uК шақырады. Осы кездейсоқ келіспеушіліктің спектрі ең кең және барлық жиіліктің құраушыларынан аспайды. uК кернеуі жиілікпен көбірек амплитудаға ие болады. Резонансты жиілік – де контурдың комплекстік эквивалентті кедергісінің модулі көбірек және RO – ге тең болады. Трансформатордың кірісіне uК кернеу беріледі. Бұл кернеу коллекторлық ток iК –ның үлкеюіне алып келеді. Және өз кезегінде контурдағы кернеудің uК де ұлғаюына алып келеді. Осыған орай кері байланыстың кернеуі uос де үлкейеді. Демек коллекторлық ток және контурдағы кернеу де үлкейеді және т.с.с. Осылайша, резонансқа жақын жиілікте автогенератордың тұйықталған тізбегінде жиіліктің тербелісі өздігінен қозады. Сонда тербелістің негізгі себебі ретінде фазалық кернеу болуы керек, және ол кернеудің үлкеюі коллекторлық токтың ұлғаюына сеп болатындай болуы қажет. Бұл шарт фаза балансы шарты болып табылады. Баланс шартына трансфотматорды дұрыс қоса білу немесе дұрыс жалғай білу арқылы қол жеткіземіз. Егер оны басқалай қосатын болсақ, ондағы контурдың кернеуінің өсуі керісінше коллекторлық токтың азаюына алып келуі мүмкін. Егер фаза балансы орындалмаса, өздігінен қозу да болмайды. Баланс шарты орындалатын кері байланыс оң деп аталады, ал керісінше жағдайда кері байланыс теріс болады. Автогенератордың өздігінен қозуы оң кері байланыс болғанда ғана орын алады. Контурдағы тербелістің өздігінен қозу процесі энергетикалық көзқарас бойынша былай түсіндіріледі. Қорек көзі транзистор көмегімен резисторлық кедергіге кететін энергияға қарағанда контурдағы тербелістің бір периодынан алынатын энергия көбірек болады. Амплитудалық кернеу uБЭ аз болған уақытта жұмыс транзистордың ВЛХ аймағында өтеді. Амплитудалық тербелістің үлкеюіне орай контурдағы кері байланыс кернеуі uкб де өседі. Міне ақыр соңында үлкен амплитуданың жеткілікті мәнінде коллекторлық ток өсуін тоқтатады. Сонымен қатар контурдағы кернеу де және кері байланыс кернеуі де, кіріс кернеуі де өз өсуін тоқтатады, тұрақтанады. Автогенераторда тербелістің тұрақты амплитудасында стационарлы динамикалық режим орнайды. Осылайша автогенератордағы тербелістің тұрақтылығы транзистордың ВЛХ бейсызықтығы арқылы жүзеге асады. Стационарлы режимде контурға келіп түсетін энергия контурдың эквивалентті резистивті жеткізулеріне (проводимости) таралады.
