- •Допуск к защите
- •Содержание:
- •Аннотация
- •Алгебра матриц;
- •Решение систем линейных уравнений;
- •Нахождение собственных значений и собственных векторов матрицы;
- •Решение.
- •Решение.
- •Решение.
- •Решение.
- •Решение.
- •Решение.
- •Решение.
- •Решение.
- •Интегрирование обыкновенных дифференциальных уравнений с помощью интерполяционой ( неявной) формулы Милна /1,10,22/.
- •Многошаговые методы решения обыкновенных дифференциальных уравнений
- •Исследование аппроксимации и устойчивости разностной схемы системы обыкновенных дифференциальных уравнений
- •Интегрирование обыкновенных дифференциальных уравнений. Метод прогонки
- •Интегрирование обыкновенных дифференциальных уравнений. Разностная схема 4 порядка.
- •Неявная разностная схема
- •Разностная схема повышенной точности.
- •Разностная схема - ’’ крест ’’ /6,7,10,13,18,20/.
- •Продольно-поперечная разностная схема /6,7,10,13,18,20/.
Интегрирование обыкновенных дифференциальных уравнений. Метод прогонки
Численно проинтегрировать дифференциальное уравнение:
с точностью
на интервале
.
Параметр
Граничные условия:
Для решения подобрать устойчивую разностную схему 2 порядка точности (выбор схемы обосновать).
Численно вычислить порядок сходимости.
Решение:
Рассмотрим применение метода прогонки на примере разностного аналога граничной задачи для дифференциального уравнения второго порядка:
с двухточечными краевыми условиями
где
известные функции и, в нашем случае:
Предположим, что функции p(x), q(x), f(x) непрерывны на данном отрезке.
Для решения задачи разностным методом
разобьём отрезок на
равных частей и введём обозначения:
Для внутренних узлов сетки будем использовать разностное уравнение:
где
Перепишем разностное уравнение в виде:
Пусть:
Отсюда будем иметь:
Предположим, что:
,
отсюда
Тогда уравнение примет вид:
Для определения
и
получим рекуррентные формулы:
Пользуясь трехчленными формулами, из первого краевого условия и уравнения получаем:
Исключая из этих двух уравнений значение
,
находим:
где
С другой стороны имеем
Тогда:
По известным значениям
и
последовательно определяются коэффициенты
и
до
и
включительно. Это прямой ход прогонки.
Обратный ход начинается с определения
.
Используя второе краевое условие и
формулы (2), взятые при
и
,
получим систему трёх уравнений
Решая эту систему относительно , будем иметь
Теперь по формулам
последовательно находим
.
Это обратный ход метода прогонки.
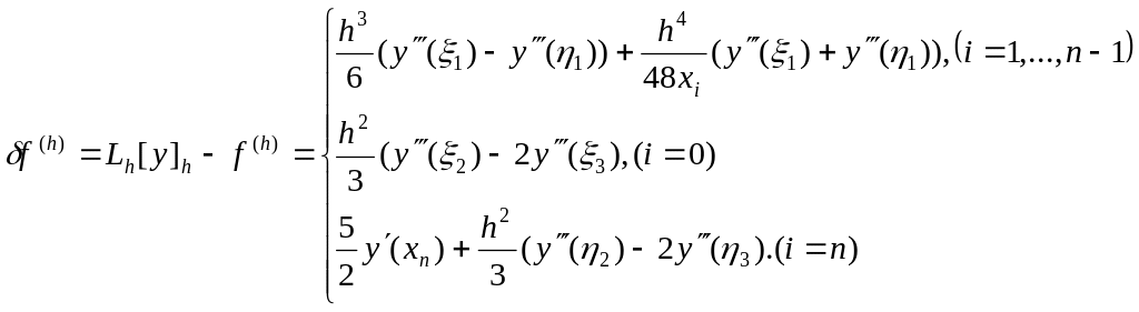
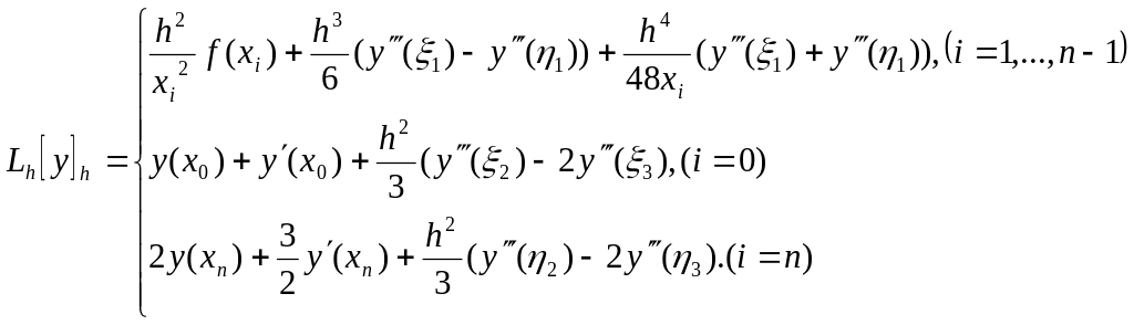
Исследуем аппроксимацию полученной разностной схемы:
Для этого, как обычно, напишем четыре члена ряда Тейлора для всех функций из разностной схемы:
,
,
,
,
,
.
Где
,
,
и
,
,
.
Подставим эти выражения:
Получим невязку для нашей разностной схемы:
Заключаем, что схема имеет второй порядок аппроксимации.
Полученные результаты заносим в итоговую таблицу:
Шаг h=0.01
xi |
Точное значение |
Вычисленное значение |
Погрешность |
1 |
2.1887225213 |
2.1851375953 |
3.5849260401e-3 |
1.01 |
2.2580538321 |
2.2545270768 |
3.5267552804e-3 |
1.02 |
2.3287442374 |
2.3252736205 |
3.470616952e-3 |
… |
… |
… |
… |
1.98 |
24.9741539576 |
24.970804948 |
3.3490095706e-3 |
1.99 |
25.481247787 |
25.4778591309 |
3.3886561336e-3 |
2 |
25.9963614221 |
25.9929322717 |
3.4291504553e-3 |
Шаг h=0.001
xi |
Точное значение |
Вычисленное значение |
Погрешность |
1 |
2.1887225213 |
2.1886864535 |
3.6067828296e-5 |
1.001 |
2.1955963596 |
2.1955603507 |
3.6008898701e-5 |
1.002 |
2.2024831985 |
2.2024472483 |
3.5950180365e-5 |
… |
… |
… |
… |
1.998 |
25.8926931278 |
25.8926572524 |
3.5875379549e-5 |
1.999 |
25.9444868023 |
25.9444508828 |
3.591942215e-5 |
2 |
25.9963614221 |
25.9963254586 |
3.5963554893e-5 |
Порядок сходимости p=1.9973602
Вывод: Порядок сходимости полностью совпал с теоретическим значением. При наличии под рукой справочника, с формулами для коэффициентов по данной теме, метод прогонки становится хорошим инструментом для решения ОДУ.
Задание №19
