- •1.3. Потенциалы электромагнитного поля.
- •О роли лоренцевой калибровки в уравнениях электродинамики
- •Случай плоских однородных гармонических волн в вакууме.
- •Общее решение уравнений классической электродинамики.
- •Проводящая однородная изотропная среда в отсутствие сторонних электрических зарядов.
- •Потенциал Герца магнитного типа.
- •Комплексные силовые составляющие и потенциалы электромагнитного поля.
- •Потенциалы Дебая.
1.3. Потенциалы электромагнитного поля.
(1)
(2)
(3)
(4)
(5)
(6)
(7)
(8)
(9)
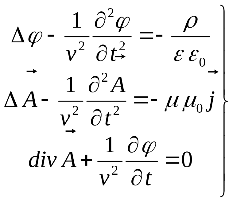
потребуем (пока формально)
(10)
результат
(11)
(12)
(13)
(14)
Градиентная инвариантность потенциалов электромагнитного поля.
(15)
(16)
(17)
(18)
(19)
(20)
(21)
пример использования градиентной инвариантности
(22)
(23)
(24)
(25)
пример Калибровка Лоренца
(26)
(27)
(28)
