- •Визначення економетрії як науки, її природа. Приклади використання економетричних моделей для розв’язування економічних задач.
- •Роль економетричних досліджень в економіці.
- •3. Предмет, цілі, задачі курсу — Економетрика.
- •4.Взаємозв’язки курсу із суміжними дисциплінами.
- •Основні типи економетричних моделей. Змінні та рівняння в економетричних моделях.
- •6. Етапи економетричного моделювання економічних процесів та явищ.
- •7. Загальний вигляд лінійної економетричної моделі та етапи її побудови
- •8. Специфікація економетричної моделі
- •12. Поняття адекватності і точності економетричної моделі
- •13. Перевірка значущості оцінок параметрів економетр моделі, статистичні критерії.
- •14. Перевірка статистичної значущості економ моделі в цілому, статистичні критерії.
- •15. Дисперсійний аналіз лінійної регресії.
- •16. Інтервальний прогноз залежної змінної на основі економетричної моделі. Стандартні помилки та надійність прогнозу
- •17. Проста лінійна регресія. Структура моделі та основні припущення при її побудові
- •18. Коефіцієнт детермінації.
- •26. Моделі, які зводяться до моделі простої (множинної мне кажется тут опечатка) лінійної регресії. Приклади застосування простої лінійної регресії.
- •27. Множинна лінійна регресія. Структура моделі та основні припущення при її побудові. Оцінка моделі.
- •28. Моделі, які зводяться до моделі множинної лінійної регресії.
- •29. Виділення сезонних коливань
- •30. Економетрична лінійна модель на основі нормалізованих даних
- •31. Регресійні залежності довільного типу
- •32.Модель Коба-Дугласа та її оцінка
- •33. Інтерпретація коефіцієнтів регресії. Порівняння факторів за ступенем їх впливу. Економічний зміст коефіцієнтів регресії.
- •34. Поняття мультиколінеарності, її природа.
- •35. Методи визначення мультиколінеатності та способи її усунення.
- •Засоби усунення мультиколінеарності. Метод головних компонентів
- •36. Поняття гомо- й гетероскедастичності, природа гетероскедастичності.
- •37. Метод перевірки гетероскедастичності на основі тесту Голдфелда-Квондта
- •3. Незалежність збурень:
- •4. Незалежність збурень та регресорів:
- •42. Методи визначення автокореляції
- •43. Критерій Дарбіна Уотсона
- •44. Метод Дарбіна
- •45. Узагальнений метод найменших квадратів у випадку відомої кореляційної матриці збурень.
- •46. Авторегресія першого порядку
- •47.Оцінювання моделі з автокорельованими збуреннями у випадку невідомої кореляційної матриці збурень.
- •48. Системи одночасних структурних рівнянь. Перехід до зведеної форми, їх взаємозв’язок.
- •49.Приклади систем одночасних рівнянь на макрорівні.
- •50. Поняття ідентифікації. Строго ідентифікована, неідентифікована і надідентифікована системи рівнянь
- •51. Проблеми оцінювання параметрів системи, загальна характеристика методів.
- •52.Непрямий метод найменших квадратів оцінювання параметрів строго ідентифікованих рівнянь системи.
- •53. Розрахунок параметрів системи економетричних рівнянь попиту і пропозиції непрямим мнк.
- •Для систем таких рівнянь потрібно застосовувати спеціальні методи оцінювання, оскільки в них регрес ори корельовано зі збуреннями.
- •54. Двоетапний мнк. Алгоритм.
- •55. Порядок аналізу часових рядів. Адитивна та мультиплікативна моделі
- •56. Лаговий оператор.
- •57. Міри точності прогнозів
- •58. Стаціонарність часових рядів
- •59. Метод усереднення
- •60. Метод експоненціального згладжування: звичайне, подвійне, потрійне
42. Методи визначення автокореляції
Оскільки автокореляція є негативним явищем, потрібно вміти його тестувати. Найбільш відомим і поширеним тестом перевірки моделі на наявність автокореляції залишків є тест Дарбіна-Уотсона. Цей тест використовується для авторегресійних схем 1-го порядку і має наступний алгоритм Алгоритм тесту Дарбіна - Уотсона
Крок
1.
Виходячи з відсутності автокореляції
залишків на основі методу найменших
квадратів будується економетрична
модель і обчислюються її залишки
.
Крок 2. Розраховується статистика (критерій) Дарбіна-Уотсона за наступною залежністю :
(7.8)
Крок 3. Задаючись рівнем значимості , для числа факторів моделі m і числа спостережень n за статистичними таблицями DW - розподілу Дарбіна-Уотсона, визначаються два значення dL , і dU.
Крок 4. Будуються зони автокореляційного зв’язку, які схематично можна представити в наступному вигляді:
Рис. 7.2 - Зони автокореляційного зв’язку
Крок 5. На основі розрахункового значення критерію DW роблять висновок щодо наявності або відсутності автокореляції залишків :
якщо
- це свідчить про наявність позитивної
автокореляції залишків ;якщо
- це свідчить про наявність негативної
автокореляції залишків;якщо
- неможливо зробити висновок ні про
наявність, ні про відсутність автокореляції
залишків ;якщо
- автокореляція залишків відсутня .
Узагальнений метод найменших квадратів.
Будемо вважати, що для регресії
y =Xβ+v (1)
кореляційна матриця Σ відома.
Введемо наступні позначення:
Σstepen'(- ½) y = y* ,
Σstepen'(- ½)X=X*,
Σstepen'(- ½) v= ε.
З урахуванням уведених позначень маємо:
y*=X*β + ε (2).
Оцінкою узагальненого МНК коефіцієнтів моделі (1) називається оцінка
звичайного МНК, знайдена за моделлю (2).
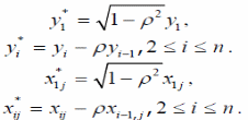
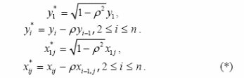
Процес авторегресії першого порядку AR(1).
v i = ρvi-1+ εi ,i= 1,n.
У випадку AR(1)–збурень кореляційна матриця Σ записується у вигляді
Це дає можливість знайти змінні для узагальненого методу найменших
квадратів у явному вигляді:
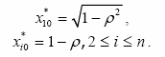
Якщо у вихідній моделі є постійний доданок, то перетворена модель не
матиме константи. Замість неї з’явиться змінна x* 0
, значення якої дорівнюють
Оцінка параметра ρ .
Вибірковий коефіцієнт кореляції залишків методу найменших квадратів
Оцінка Дарбіна-Уотсона.
Метод Дарбіна.
Формула (*) записується у вигляді
тобто y t −1 включається в число регресорів, а ρ – в число параметрів, що
оцінюються. Для цієї регресії за допомогою звичайного МНК знаходяться
оцінки ˆ ρ та ˆ θj параметрів ρ та ρβj відповідно. В якості оцінки ˆ
βj беруть ˆ θj / ˆ ρ.
Можна покращити якість оцінок ˆ βj , підставивши отримане значення ˆ ρ до (*), і знайти нові МНК-оцінки параметрів ˆ βj.
Метод Кочрейна-Оркатта.
Ітеративно обраховуються формули (*),
залишки
за узагальненим методом
найменших квадратів, поки не буде досягнуто необхідної точності.
Метод Хілдрета-Лу.
Обчислюється модель при всіх ρ з інтервалу від -1 до 1 з кроком 0.01.
Вибирається те значення, при якому сума квадратів відхилень в узагальненому
Методі найменших квадратів мінімальна.
