- •Основные теоретические вопросы дисциплины
- •Практические задания - сетевое планирование
- •1.1 Построение сетевых моделей
- •1.1. Теоретическое введение
- •1.2. Методические рекомендации по построению сетевых моделей
- •Задача №1.01
- •Решение
- •Задача №1.02
- •Решение
- •2. Расчет и анализ сетевых моделей
- •2.1. Теоретическое введение
- •2.2. Методические рекомендации Задача №2.01
- •Решение
- •Задача №2.02
- •Общие рекомендации
- •Решение
- •I. Поиск критических путей
- •II. Поиск резервов работ
- •Правило №1
- •3. Регрессионный и корреляционный анализ
- •3.1. Теоретическое введение
- •3.2. Методические рекомендации
- •3.2.1. Линейная регрессия
- •Вспомогательная таблица для линейной функции
- •Задача №3.01
- •Исходные данные задачи №3.01
- •Решение
- •3.2.2. Нелинейная регрессия
- •Гипербола
- •Экспонента
- •Парабола
- •4. Методы скользящего среднего и экспоненциального сглаживания
- •4.1. Теоретическое введение
- •Метод скользящего среднего
- •4.2. Методические рекомендации Задача №4.01
- •Исходные данные задачи №9.01
- •Решение
- •5. Основные модели управления запасами
- •5.1. Теоретическое введение
- •5.1.1. Модель Уилсона
- •Формулы модели Уилсона
- •5.1.2. Модель планирования экономичного размера партии
- •Формулы модели экономичного размера партии
- •5.2. Методические рекомендации
- •Задача №5.01
- •Решение
- •Задача №5.02
- •Решение
- •6. Модель управления запасами, учитывающая скидки
- •6.1. Теоретическое введение
- •6.2. Методические рекомендации
- •Задача №6.01
- •Решение
- •Задача №6.02
- •Решение
- •Методические рекомендации и задания к контрольной работе
- •1.1. Цель работы
- •1.2. Порядок выполнения работы
- •1.3. Теоретическая часть
- •Постановка задачи
- •Построение модели
- •2.3.2. Графический анализ оптимального решения на чувствительность
- •2.3.3. Анализ оптимального решения на чувствительность в Excel
- •3. Коэффициенты цф.
- •3.1. Цель работы
- •3.2. Порядок выполнения работы
- •3.3. Теоретическая часть
- •3.3.1. Стандартная модель транспортной задачи (тз)
- •Общий вид транспортной матрицы
- •3.3.2. Пример построения модели тз
- •Транспортные расходы по доставке муки (руб./т)
- •Определение переменных
- •Проверка сбалансированности задачи
- •Построение сбалансированной транспортной матрицы
- •Транспортная матрица задачи
- •Задание цф
- •Задание ограничений
- •3.4. Варианты Постановка задачи
- •4.1. Цель работы
- •4.2. Порядок выполнения работы
- •4.3. Теоретическая часть
- •Исходные параметры модели двухиндексной общей рз
- •Искомые параметры модели рз
- •Этапы построения модели
- •Модель двухиндексной общей рз
- •Этапы решения рз
- •4.4. Постановка задачи распределения производственных мощностей
- •4.5. Построение и решение рз лп Построение распределительной модели
- •4.6. Варианты
- •Экзаменационные вопросы
2. Расчет и анализ сетевых моделей
2.1. Теоретическое введение
Календарное планирование предусматривает определение моментов начала и окончания каждой работы и других временных характеристик сетевого графика. Это позволяет проанализировать сетевую модель, выявить критические работы, непосредственно определяющие срок выполнения проекта, провести оптимизацию использования ресурсов (временных, финансовых, исполнителей).
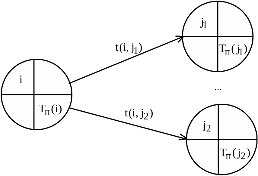
Расчет сетевой модели начинают с временных параметров событий, которые вписывают непосредственно в вершины сетевого графика (рис.2.1):
–
ранний
срок наступления события i,
минимально необходимый для выполнения
всех работ, которые предшествуют событию
i;
–
поздний
срок наступления события i,
превышение которого вызовет аналогичную
задержку наступления завершающего
события сети;
–
резерв
события i,
т.е. время, на которое может быть отсрочено
наступление события i
без нарушения сроков завершения проекта
в целом.
Рис.2.1. Отображение временных параметров событий на сетевом графике
Ранние сроки свершения событий рассчитываются от исходного (И) к завершающему (З) событию следующим образом:
для исходного события И
;для всех остальных событий I
,
где
максимум берется по всем работам
,
входящим в событие i;
–
длительность работы (k,i)
(рис.2.2).
Рис.2.2. Расчет раннего срока свершения события i
Поздние сроки свершения событий рассчитываются от завершающего к исходному событию:
для завершающего события З
;для всех остальных событий
,
где
минимум берется по всем работам
,
выходящим из события i;
–
длительность работы (k,i)
(рис.2.3).
Рис.2.3. Расчет позднего срока свершения события i
Временные параметры работ определяются на основе ранних и поздних сроков событий:
–
ранний
срок начала работы;
–
ранний
срок окончания работы;
–
поздний
срок окончания работы;
–
поздний
срок начала работы;
–
полный
резерв работы показывает максимальное
время, на которое можно увеличить
длительность работы
или отсрочить ее начало, чтобы не
нарушился срок завершения проекта в
целом;
–
свободный
резерв работы показывает максимальное
время, на которое можно увеличить
продолжительность работы
или отсрочить ее начало, не меняя ранних
сроков начала последующих работ.
Путь – это последовательность работ в сетевом графике (в частном случае это одна работа), в которой конечное событие одной работы совпадает с начальным событием следующей за ней работы. Полный путь – это путь от исходного до завершающего события. Критический путь – максимальный по продолжительности полный путь. Работы, лежащие на критическом пути, называют критическими. Критические работы имеют нулевые свободные и полные резервы. Подкритический путь – полный путь, ближайший по длительности к критическому пути.
Для
проведения анализа временных параметров
сетевой модели
используют
график привязки,
который отображает взаимосвязь
выполняемых работ во времени. По
вертикальной оси графика привязки
откладываются коды работ, по горизонтальной
оси – отрезки, соответствующие
длительностям работ (раннее начало и
раннее окончание работ). График
привязки можно построить на
основе данных о продолжительности
работ. При этом необходимо помнить, что
работа
может выполняться только после того
как будут выполнены все предшествующие
ей работы
.
