Львівський національний університет імені Івана Франка
«
Н Кафедра механіки
ЛАБОРАТОРНА РОБОТА № 8
ВИЗНАЧЕННЯ ГОЛОВНИХ НАПРУЖЕНЬ В ДЕФОРМОВАНОМУ
ТІЛІ ЗА ДОПОМОГОЮ РОЗЕТКИ ТЕНЗОДАВАЧІВ
Виконав(ла) студент(ка) групи Мх___
__________________________________
Перевірив_________________________
Львів – 2010
§1. Вихідні співвідношення
ПОЛОЖЕННЯ ПРО РОЗЕТКУ
При практичному тензометруванні довільних конструкцій, коли напрямки головних осей деформацій заздалегідь невідомі, використовуються одночасно декілька тензодавачів, які розміщені, як правило, дуже близько один біля одного під певними кутами. Таке розміщення тензодавачів називається розеткою. На даний час в тензометрії широко використовуються розетки двох типів.
Перший тип розетки - передбачає розміщення тензодавачів під кутами 0, 45°, 90° (рис. 1а) і таку розетку називають прямокутною.
а) прямокутна розетка б) дельта-розетка
Рис. 1
В другому
типі розетки - тензодавачі розміщують
під кутами 0, 60° і 120° (рис. 1б) і цей тип
розетки називають дельта-розеткою,
за подібністю її зовнішнього вигляду
до грецької літери
.
Варіантом дельта-розетки є
-дельта
розетка,
що містить четвертий тензодавач, який
розміщений перпендикулярно до одного
із трьох тензодавачів
-
розетки. Цей тензодавач може бути
використаний, як для визначення головних
деформацій, так і для перевірки точності
результатів, які визначаються по трьох
інших тензодавачах.
Зауважимо, як показала практика, у випадку малих кутів між осями тензодавачів при вирахуванні головних деформацій та їх напрямків виникають великі похибки.
Покажемо, як знаючи значення деформацій в трьох напрямках, визначити величину і напрямок головних напружень на поверхні деталі.
§2. Визначення головних напружень у двомірному випадку
Осі
декартової системи координат
направимо по головних осях деформації
в даній точці, напрямки яких нам наперед
невідомі. Компоненти вектора переміщення
точки вздовж осей координат позначимо
відповідно через
і
.
Розглянемо дві точки на поверхні тіла
і
.
Нехай віддаль між ними буде визначати
відрізок
,
що утворює кут
з віссю
(рис.
2).
Рис.2
Після
деформування тіла, точки
і
займуть положення
,
з координатами відповідно:
,
,
,
.
Знайдемо
довжину відрізка
:
(1)
Формула (1) отримана з урахуванням величин тільки першого порядку малості.
Беручи
до уваги (1), можемо знайти величину
деформації в напрямку
:
.
(2)
Як видно
з рис.2:
,
,
тому:
,
.
(3)
Підставляючи (3) в (2), отримаємо:
,
(4)
де
і
- головні компоненти деформації.
Для прямокутної розетки рис. 3, на основі формули (4), можемо записати:
(5)
.
Рис.3. Прямокутна розетка
Користуючись формулами (5), знаходимо напрямок і величину головних деформацій:
,
,
,
,
,
(6)
,
(7)
.
Для -розетки рис. 4:
Рис. 4. Дельта-розетка
,
,
.
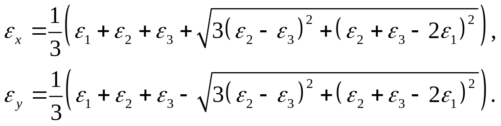
З попередніх співвідношень знаходимо величину і напрямок головних деформацій:
,
(8)
(9)
Враховуючи, що напрямки головних деформацій і напрямки головних напружень в пружному тілі співпадають, то користуючись (8) і (6), ми знаходимо і напрямки головних напружень. Величини головних напружень знайдемо, користуючись законом Гука:
,
,
(10)
де
- модуль Юнга,
-коефіцієнт Пуасона. Якщо скористатись
залежностями (9) і (7), то на основі (10)
можемо записати кінцеві формули для
знаходження напружень у випадку
прямокутної розетки:
,
,
і -розетки:
(11)
Зауважимо, що розетки любого виду для визначення деформацій (напружень) дають точні результати тільки в тому випадку, коли деформації на площадці, що займає розетка, є незмінними. Для ділянок, в границях яких існує великий градієнт деформацій, результати, отримані з допомогою розетки, будуть тим більш неточними чим більша площа, яку займає розетка. Тому для визначення головних деформацій на ділянках з великим градієнтом напружень, розетка повинна займати якнайменшу площу, для чого використовуються тензодатчики з малою базою в 5мм і навіть 1.5 мм.
