- •Ряды. Дифференциальные уравнения.
- •Критерий Коши сходимости ряда.
- •Следствие 1
- •Следствие 2
- •Достаточные признаки сходимости знакопостоянных рядов. Признаки сравнения.
- •2) Предельный
- •Признак Даламбера.
- •Доказательство:
- •Признак Коши (радикальный).
- •Доказательство:
- •Признак сравнения 3.
- •Признак Куммера.
- •Признак Гауса. (без доказательства)
- •Интегральный признак. (Коши-Маклорена)
- •Знакопеременные ряды
- •Признак Лейбница.
- •Функциональные ряды
- •Равномерная сходимость функциональной последовательности и функционального ряда.
- •Признак равномерной сходимости.
- •1) Признак Вейерштрасса (мажорантный признак)
- •2) Признак Абеля – Дирихле.
- •Теорема о непрерывности суммы функционального ряда.
- •Теорема об интегрировании функционального ряда.
- •Дифференцирование функциональных рядов
- •Доказательство (на основании теоремы об интегрировании функционального ряда):
- •Степенные ряды
- •Ряды Тейлора
- •Ряды Тейлора для основных элементарных функций
- •Тригонометрические ряды Фурье
- •Дифференциальные уравнения
- •Пример 2:
- •Пример 3:
- •Пример 4:
- •Пример 5:
- •Пример 7:
- •Основные тины дифференциальных уравнений
- •Линейное дифференциальное уравнение 1-го порядка.
- •Пример:
- •Дифференциальное уравнение n-ного порядка
- •Линейные дифференциальные уравнения
- •Линейная зависимость функций
- •Определитель Вронского.
- •Фундаментальная система решений линейного однородного уравнения
- •Линейное однородное дифференциальное уравнение с постоянными коэффициентами
- •Решение неоднородного линейного дифференциального уравнения n-го порядка
- •Метод вариации постоянных
- •Метод неопределенных коэффициентов для нахождения частного решения неоднородного дифференциального уравнения с постоянными коэффициентами.
- •Решение систем линейных дифференциальных уравнений с постоянными коэффициентами
Знакопеременные ряды
Пусть
и
ряд
сходятся одновременно, то А также и при
этом говорят, что ряд A
сходится абсолютно.
Если
сходится,
– расходится, то А сходится условно.
Признак Лейбница.
(монотонно
стремится к 0), тогда A
сходится.
Доказательство:
Т.к.
.
,
,
то есть последовательность частичных
сумм A2n
убывает, а A2n+1
возрастет.
Каждая из последовательностей A2n и A2n+1 ограничена и
Следовательно,
.
Заметим, что:
.
Пример:
Ряд
Лейбница:
сходится условно (неабсолютно), так
как гармонический ряд
расходится.
Пример (расходящийся знакочередующийся ряд):
не
монотонно:
расходится.
Вообще, если ряд представим в виде суммы рядов:
Если оба ряда сходятся, то их сумма сходится.
Если один из рядов сходится, а другой расходится, то их сумма расходится.
Признак Дирихле.
Пусть дан ряд:
тогда
сходится.
Доказательство:
По
критерию Коши:
.
по
условию
Используя преобразование Абеля, получим неравенство:
Следовательно,
критерий Коши выполнен, поэтому ряд
сходится.
Из признака Дирихле следует признак Лейбница:
Если
.
Признак Абеля.
;
тогда
сходится
Доказательство:
Доказано.
Пример 1:
:
Докажем,
что эти ряды сходятся условно:
Докажем,
что ряд
расходится. Так как
,
рассмотрим следующий ряд:
.
Значит,
ряд
Пример 2:
При произвольной перестановке членов условно сходящегося ряда его сумма может изменяться:
;
Теорема Римана (без доказательства).
Теорема:
Пусть дан условно
сходящийся ряд
.
Тогда:
перестановка
слагаемых, такая, что
Теорема Дирихле о перестановке членов абсолютно сходящегося числового ряда.
Теорема:
Пусть ряд
сходится
абсолютно,
.
Тогда, для любой перестановки ряда
новый ряд сходится. При этом, ряд A
сходится абсолютно и его сумма равна
сумме исходного ряда, то есть A
= A.
Доказательство:
1)
k
– фикс.,
,
тогда
и
.
Аналогично рассматривается ряд А, как полученный перестановкой
членов
:
.
Доказано.
2) an – произвольного знака. Пусть тогда:
;
–
сходится,
–
сходится, так как ряд A
сходится абсолютно
.
Применяя
к
и
результат из 1), получим полное
доказательство.
Доказано.
Функциональные ряды
–
функциональные
ряды,
fn(x),
f(x)
– функции от
,
где D
– область сходимости ряда.
Примеры функциональных рядов:
1)
–
степенной
ряд
2)
– тригонометрический
ряд Фурье
Равномерная сходимость функциональной последовательности и функционального ряда.
Определение
(равномерной последовательности на
множестве E
D
функциональной
последовательности):
Пример:
Критерий
Коши:
Определение равномерной сходимости функционального ряда на множестве E:
Критерий Коши:
.
Следствие. Если
Примеры:
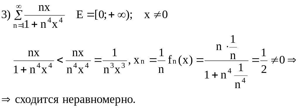
1)
Признак равномерной сходимости.
1) Признак Вейерштрасса (мажорантный признак)
Пусть
дан функциональный ряд
и если
– сходится, то функциональный ряд
сходится равномерно на E.
Доказательство (по критерию Коши):
,
так как
и
Примеры:
К ряду
– признак Вейерштрасса неприменим.
