- •Типовые динамические звенья
- •Математические модели типовых динамических звеньев
- •Математические модели позиционных звеньев
- •Математические модели интегрирующих звеньев
- •Математические модели дифференцирующих звеньев
- •Временные характеристики типовых динамических звеньев
- •Частотные характеристики типовых динамических звеньев
- •Интегро - дифференцирующие звенья
- •Неминимально - фазовые звенья.
- •Звено чистого запаздывания
Математические модели интегрирующих звеньев
1. Идеальное интегрирующее звено описывается дифференциальным уравнением
(14)
и передаточной функцией
,
(15)
которое характеризуется только одним параметром k.
Все интегрирующие звенья являются астатическими в отличие от позиционных, являющихся статическими. Идеальное интегрирующее звено – элементарное звено, входящее в состав всех остальных интегрирующих звеньев.
2. Реальное интегрирующее звено описывается дифференциальным уравнением
(16)
и передаточной функцией
.
(17)
Реальное интегрирующее звено – составное звено, представляющее собой последовательное соединение идеального интегрирующего звена и апериодического звена первого порядка (рис. 2), так как
Рис. 2. Структурная схема реального интегрирующего звена
,
(18)
где k=k1k2. Реальное интегрирующее звено характеризуется двумя параметрами: k и T.
3. Изодромное звено первого порядка описывается дифференциальным уравнением
(19)
и передаточной функцией
.
(20)
Изодромное звено первого порядка – составное звено, представляющее собой параллельное соединение усилительного звена и идеального интегрирующего звена
(рис. 3),
Рис. 3. Структурная схема изодромного звена первого порядка.
так как
(21)
и характеризуется двумя параметрами k и T.
4. Изодромное звено второго порядка описывается дифференциальным уравнением
,
(22)
и передаточной функцией
.
(23)
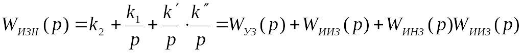
Изодромное звено второго порядка – составное звено, представляющее собой параллельно – последовательное соединение усилительного звена и идеальных интегрирующих звеньев (рис. 4), так как
,
(24)
где
и характеризуется тремя параметрами
.
Рис. 4. Структурная схема изодромного звена второго порядка
Математические модели дифференцирующих звеньев
1. Идеальное дифференцирующее звено описывается дифференциальным уравнением
(25)
и передаточной функцией
.
(26)
Идеальное
дифференцирующее звено - элементарное
звено,
входящее в состав всех дифференцирующих
звеньев и характеризуется только
параметром
.
2. Реальное дифференцирующее звено описывается дифференциальным уравнением
(27)
и передаточной функцией
.
(28)
Реальное дифференцирующее звено – составное звено, представляющее собой последовательное соединение идеального дифференцирующего звена и апериодического звена первого порядка (рис. 5), так как
,
(29)
где
и характеризуется двумя параметрами:
k
и T.
Рис. 5. Структурная схема реального дифференцирующего звена
3. Форсирующее звено первого порядка описывается дифференциальным уравнением
(30)
и передаточной функцией
.
(31)
Форсирующее звено первого порядка – составное звено, представляющее собой параллельное соединение усилительного звена и идеального дифференцирующего звена (рис. 6), так как
Рис. 6 Структурная схема форсирующего звена первого порядка
,
(32)
где
и характеризуется двумя параметрами:
k
и T.
4. Форсирующее звено второго порядка описывается дифференциальным уравнением
(33)
и передаточной функцией
,
(34)
где
.
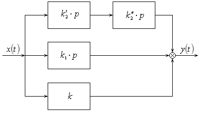
Форсирующее звено второго порядка – составное звено, представляющее собой параллельно - последовательное соединение усилительного звена и идеальных дифференцирующих звеньев (рис. 7) , так как
,
(35)
где
и характеризуется тремя переменными:
.
Рис. 7. Структурная схема форсирующего звена второго порядка
