- •Наскрізна програма практики
- •Наскрізна програма практики
- •Взаємозв’язок практик з науково-дослідною роботою студентів
- •4.1. Навчально-ознайомча практика
- •4.2. Комп’ютерна практика
- •Цілі та задачі
- •Мати навички:
- •Розділи та тематика практичної роботи в комп'ютерному класі Заняття 1 (4 години)
- •Тема 1. Керуючі елементи робочих аркушів.
- •Заняття 2 (4 години)
- •Тема 2. Розробка автоматизованого робочого місця фахівця (арм бухгалтера ділянки обліку касових операцій).
- •Заняття 3 (4 години)
- •Тема 3. Використання Internet Explorer 5. Мова html.
- •Заняття 4 (4 години)
- •Тема 4. Створення додатків на основі діалогових форм (розбір задачі)
- •Заняття 5 (4 години)
- •Тема 5. Розробка власного додатка по варіанту.
- •4.3. Економічна практика Вступ
- •1.План-графік проходження практики:
- •2. Методичні вказівки до оформлення звіту про відвідування виробничого підприємства
- •1. Опис організації
- •4. Стратегічне планування
- •3. Методичні вказівки та завдання до розв’язання наскрізної підприємницької задачі
- •А. Типове рішення завдання на основі витратного ціноутворення
- •Надійність і ризик бізнесу й капітальних вкладень у нову підприємницьку справу
- •Б. Типове рішення завдання на основі ринкового ціноутворення
- •4.4. Практика з фаху (рівень „бакалавр”) Вступ
- •Зміст практики
- •2. Технологічні процеси і загальний технологічний рівень виробництва
- •3. Виробнича структура підприємства
- •4. Система управління підприємством
- •5. Організаційна структура підприємства
- •6. Система комунікацій на підприємстві
- •7. Організація кадрової роботи на підприємстві
- •8. Технологія прийняття рішень на підприємстві
- •9. Взаємовідносини підприємства з зовнішніми контрагентами і ринковою інфраструктурою
- •Порядок прийняття рішень керівниками підприємства
- •4.5. Практика за фахом (рівень „магістр”)
- •Зміст програми виробничої практики
- •1. Загальне ознайомлення зі структурою підприємства, організацією його діяльності, станом аналітичної та планової роботи
- •2. Індивідуальні завдання
- •Зміст завдань щодо виробничої діяльності підприємства Завдання 1.
- •Завдання 2.
- •Зміст завдань щодо маркетингово-комерційної діяльності підприємства
- •Завдання 1.
- •Завдання 2
- •Завдання 3
- •Завдання 2.
- •Завдання 3.
- •Завдання 4.
- •Завдання 5.
- •Завдання 6.
- •Завдання 7.
- •Завдання 8.
- •Завдання 9.
- •Педагогічна практика.
- •1. Мета та завдання практики.
- •Наукова практика
- •Розділ 5. Форми і методи контролю
- •Розділ 6. Вимоги до звіту
- •Додаток 1 Календарний графік проходження виробничої практики (орієнтовний)
- •Зразок оформлення графіка проведення практичних занять
- •Календарний графік проходження наукової практики (орієнтовний)
- •III. Відповідальність сторін за невиконання договору:
- •Підпис та печатки:
Надійність і ризик бізнесу й капітальних вкладень у нову підприємницьку справу
Відношення виробничої потужності до програми самоокупності (Хр) |
≥8,0
|
<8,0 ≥6,0 |
<6,0 ≥4,2 |
<4,2 ≥3,0 |
<3,0 ≥2,5 |
<2,5 ≥2,0 |
<2,0 ≥1,7 |
<1 7 |
Характеристика надійності бізнесу |
Понад-надійний |
Високо-надійний |
Надійний
|
Достатньо надійний |
Малонадійний |
Низько - надійний |
Ненадійний |
Безнадійний |
Характеристика рівня ризику |
Практично відсутній |
Незначний |
Малий |
Нижче середнього |
Істотний |
Значу- щий |
Високий |
Понад- високий |
Поправочна норма ефективності, що рекомендує, капі- тальных вкладень с обліком ризику (Ер) |
0,03 |
0,05 |
0,1 |
0,17 |
0,25 |
0,33 |
0,4 |
0,5 |
Якщо підставимо в цю формулу вихідні й розрахункові дані, то одержимо:
Це значить, що в розпорядженні підприємства після виплати податків залишиться майже 27,8% всього виторгу, або 0,278 * 9 447 750 = 2 625 480 грн./рік.
Визначимо сукупний податок у відсотках від балансового прибутку за формулою:
(15)
Це достатньо високий результат, що дозволяє зробити висновок про те, що майже 59% балансового прибутку залишається підприємству для соціального й виробничого розвитку.
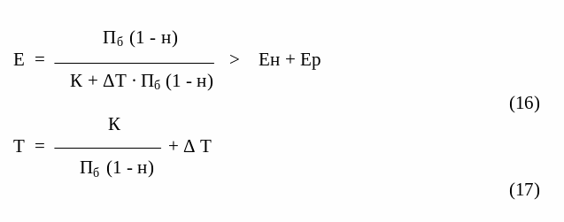
16) Визначимо коефіцієнт ефективності й строк окупності капітальних вкладень із урахуванням ризику підприємництва за такими формулами:
Підставимо наявні дані у формулу (16).
Отже, з урахуванням ризику ефективність капітальних вкладень повністю задовольняє вимогам теорії й установленому менеджментом обмеженню норми ефективності.
Тепер можна визначити строк окупності капітальних вкладень за формулою (17):
Висновок: проект майбутнього бізнесу забезпечує досить високий доход і може бути рекомендований до реалізації з урахуванням невизначеності майбутньої ринкової ситуації й ризику вкладень. За розрахунковими даними будується графік залежності витрат і результатів виробництва від обсягу випуску продукції.
