Статический расчет сложноконсольной балки
Многопролетная статически определимая балка представляет собой комбинированную систему, состоящую из нескольких однопролетных балок, соединенных таким образом, что в местах их соединения в расчетной схеме возможна постановка шарниров.
На рис.9 представлена расчетная схема статически определимой многопролетной балки.
Рис. 9
Для геометрической неизменяемости и статистической определимости сложноконсольной балки число шарниров, введенных в пролеты, должно удовлетворять условию:
Ш=С0 -3. (4)
Из этого следует, что при крайних шарнирных опорах число шарниров в пролетах должно быть равно числу промежуточных опор. Условие (4) является необходимым. Для выполнения достаточного условия неизменяемости балки
размещение шарниров в пролетах должно подчиняться следующим правилам:
в каждом пролете должно быть не более двух шарниров;
пролеты с двумя шарнирами должны чередоваться с пролетами без шарниров;
пролеты с одним шарниром могут следовать один за другим при условии, что один пролет остается без шарнира.
Оптимизация расчетной схемы сложноконсольной балки может быть реализована расположением промежуточных шарниров таким образом, чтобы наибольшие изгибающие моменты в пролетах и над опорами были равны между собой по модулю или находились в определенном соотношении.
Расчет сложноконсольной балки удобно производить путем представления ее расчетной схемы в виде «этажной» системы, в которой выделяются основные неизменяемые элементы и подвесные, опирающиеся на основные. Начинать расчет следует с подвесных элементов. Определив их опорные реакции, переходят к основным элементам, добавляя к нагрузкам, действующим на эти элементы, давления от верхних подвесных элементов. Эпюры усилий М и Q удобно строить для каждого элемента (этажа) отдельно, объединяя их впоследствии на одном чертеже. Техника расчета показана на рис.10.
Порядок расчета «этажей» следует из структуры «этажной», схемы. Он может быть:
II → III → IV, I,
или II → I, III → IV
Рис. 10
На рис.11 представлены эпюры MhQb данной балке.
Рис. 11
Опасным сечением является сечение 8, где М=6ОkНм. Подбираем двутавровый профиль из условия прочности по нормальным напряжениям при изгибе балок:
По таблицам сортамента (ГОСТ 8239-72) определяем двутавровый профиль №27, для которого Wx=S71cм3, F=40,2cм2,Iх=5010см4.
Статический расчет плоской фермы
Фермой называется стержневая система, которая остается геометрически неизменяемой после условной замены в расчетной схеме жестких узлов шарнирами. Нагрузка в расчетной схеме передается только в узлах в виде сосредоточенных сил. Поэтому в стержнях фермы возникают только продольные усилия. Практически важной является проблема приведения реальных действующих нагрузок к сосредоточенным силам, приложенным в узлах фермы или «сбора нагрузок» на ферму. В задании к данной курсовой работе рассматриваются три вида нагрузок:
постоянная (вес конструкций, оборудования и т.д.), направленная вертикально;
временная снеговая (вес снегового покрова), направленная вертикально;
временная ветровая, направленная по нормали к поверхности,
Данные об этих нагрузках обычно определяются в задании на проектирование и по СНиП «Нагрузки и воздействия» и представляются в виде распределенных усилий, отнесенных к единице площади.
На рис.12 представлена расчетная схема фермы, приведены ее размеры и данные по действующим нагрузкам.
d=2м (размер панели и высота фермы)
1=6м (расстояние между фермами)
qn=4kH/м2 (интенсивность постоянной нагрузки)
qc=lkH/м2 (интенсивность снеговой нагрузки)
qe=0,6kH/м2 (интенсивность ветровой нагрузки)
Техника сбора нагрузок представлена на рис.13 . В этой связи имеем следующие расчетные схемы для данной фермы (рис. 14).
Рис. 12
Рис. 13
а) расчет на действие постоянной нагрузки;
Рп = qn∙l∙d = 48kH. Здесь учтено, что постоянная нагрузка поровну разделена между узлами верхнего и нижнего пояса;
б) расчет на действие снеговой нагрузки;
Рс = qn∙l∙d = 12kH
в) расчет на действие ветровой нагрузки;
Рис.14
Выполним кинематический анализ данной фермы. Подставим в формулу (2) Y=12, C=21, С0=3. Получим
W = 2∙12 – 21 - 3 = 0.
Выполнение достаточного условия очевидно, т.к. структура фермы организована по принципу диады.
Реакции опор в простых балочных фермах определяются также как в однопролетных балках с помощью уравнений вида
,
.
Для проверки реакций опор используем уравнение
.
Аналитический расчет фермы может быть выполнен способами моментной точки, проекций и вырезаний узлов, сущность которых следует из метода сечений. Упомянутые способы определения усилий в стержнях фермы различаются смыслом составляемых уравнений равновесия.
Способ моментной точки (СМТ): сечение пересекает не более трех стержней фермы, в том числе обязательно тот, в котором определяется усилие; затем составляется уравнение моментов сил, действующих на рассматриваемую часть фермы, относительно точек пересечения двух других стержней (кроме рассчитываемого); из этого уравнения определяется искомое усилие.
Если два из рассеченных стержней параллельны, то моментная точка для определения усилия в третьем стержне удаляется в бесконечность. В этом случае используется способ проекций (СП), в соответствии, с которым составляется уравнение проекций на ось, перпендикулярную двум параллельным стержням.
Способ вырезания узлов (СВУ) предполагает последовательное вырезание узлов фермы и составление для них уравнений равновесия (∑X = 0; ∑Y = 0). Таким способом целесообразно определять усилия для двухстержневых узлов, либо для трехстержневых, но при условии, что два стержня лежат на одной прямой.
Ниже, на примере расчета фермы на действие постоянной нагрузки, иллюстрируется использование вышеупомянутых способов для определения усилий в некоторых стержнях фермы.
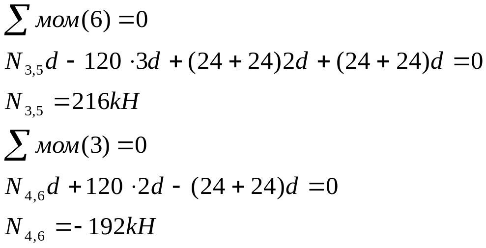
СМТ.
СП.
СВУ.
Узел
А
Узел
1
Узел
4
Результаты расчета фермы удобно представить в виде табл.1
В табл. 1 усилия от действия снеговой нагрузки представлены в двух столбцах: при наличии снеговой нагрузки и при ее отсутствии. Усилия от действия ветровой нагрузки даны с двумя знаками: - верхний знак при напоре ветра слева, нижний при напоре ветра справа.
Расчетное усилие определяется как сумма усилий от действия постоянной, снеговой и ветровой нагрузок в таком сочетании, которые дает наибольшее по абсолютной величине значение.
По значениям расчетных усилий определяются площади поперечных сечений элементов фермы. Обычно стержни фермы проектируются составленными из двух неравнополочных уголковых профилей (рис. 15).
Рис. 15
Проектные значения площади поперечного сечения и номер профиля определяются из условий прочности, которые различаются для растянутых и
Таблица 1
Стержень |
Длина li [м] |
[kH] |
[kH] |
[kH] |
[kH] |
Профиль |
Площадь составного сечения [см2] |
|
1 |
2 |
3 |
4 |
5 |
6 |
1 |
8 |
9 |
А-1 |
2 |
240 |
60 |
0 |
±8,88 |
308,88 |
75x50x8 |
18,94 |
1-3 |
2 |
240 |
60 |
0 |
±8,88 |
308,88 |
75x50x8 |
18,94 |
3-5 |
2 |
216 |
54 |
0 |
±2,88 |
272,88 |
90x56x6 |
17,08 |
5-7 |
2 |
216 |
54 |
0 |
±2,88 |
272,88 |
90x56x6 |
17,08 |
7-9 |
2 |
240 |
60 |
0 |
±3,06 |
303,06 |
75x50x8 |
18,94 |
9.-В |
2 |
240 |
60 |
0 |
±3,06 |
303,06 |
75x50x8 |
18,94 |
А-2 |
2,24 |
-268,34 |
0 |
-63,08 |
±4,29 |
-335,7 |
140x90x10 |
4,44 |
2-4 |
2,24 |
-214,67 |
0 |
-53,67 |
±1,88 |
-270,2 |
125x80x10 |
39,4 |
4-6 |
2 |
-192 |
0 |
-48 |
±2,4 |
-242,4 |
100x63x10 |
31 |
6-8 |
2 |
-192 |
0 |
-48 |
±2,4 |
-242,4 |
100x63x10 |
31 |
8-10 |
2,24 |
-214,67 |
0 |
-53,67 |
±1,88 |
-270,2 |
125x80x10 |
39,4 |
10-В |
2,24 |
-268,34 |
0 |
-63,08 |
±4,29 |
-335,7 |
140x90x10 |
44,4 |
1-2 |
1 |
24 |
0 |
0 |
0 |
24 |
25x16x3 |
2,32 |
3-4 |
2 |
72 |
12 |
0 |
±0,6 |
84,6 |
45x28x4. |
5,60 |
5-6 |
2 |
24 |
0 |
0 |
о |
24 |
25x16x3 |
2,32 |
7-8 |
2 |
72 |
12 |
0 |
±0,6 |
84,6 |
45x28x4 |
5,60 |
9-10 |
1 |
24 |
0 |
0 |
0 |
24 |
25x16x3 |
2,32 |
2-3 |
2,24 |
-53,67 |
0 |
-13,42 |
±4,03 |
-71,12 |
56x36x5 |
8,82 |
3-6 |
2,83 |
-33,94 |
0 |
-8,49 |
±3,39 |
-45,82 |
45x28x4 |
5,60 |
6-7 |
2,83 |
-33,94 |
0 |
-8,49 |
±3,39 |
-45,82 |
45x28x4 |
5,60 |
7-10 |
2,24 |
-53,67 |
0 |
-13,42 |
±4,03 |
-71,12 |
56x36x5 |
8,82
|
сжатых стержней. Условия прочности для растянутого стержня:
(4)
Условие прочности для сжатого стержня:
(5)
Здесь [σ] = 160МПа - допускаемое напряжение для материала стержня; φ - коэффициент продольного изгиба. В столбцах 9 и 10 табл. 1 приведены результаты проектированного расчета элементов фермы в соответствии с сортаментом ГОСТ 8510-72 (сталь прокатная угловая неравнополочная). Для сжатых стержней было принято φ = 0,5, что соответствует гибкости данного элемента λ ≈ 100.
