- •1. Основные теоремы о дифференцируемых функциях.
- •2. Правило Лопиталя.
- •3. Монотонность функции. Достаточное условие возрастания (убывания) функции.
- •4. Локальные экстремумы функции. Необходимое условие экстремума. Достаточное условие экстремума.
- •5. Наибольшее и наименьшее значение функции на отрезке.
- •6. Выпуклость, вогнутость и точки перегиба графика функции.
- •7. Асимптоты графика функции.
- •8. Свойства неопределенного интеграла.
- •9. Таблица основных неопределенных интегралов.
- •10. Задача о площади (площадь криволинейной трапеции).
- •11. Определенный интеграл.
- •12. Свойства определенного интеграла.
- •13. Интеграл с переменным верхним пределом и его свойства.
- •14. Формула Ньютона-Лейбница.
- •15. Длина дуги плоской кривой.
- •16. Несобственный интеграл 1-го и 2-го рода.
- •17. Понятие функции нескольких переменных.
- •18. Предел функции нескольких переменных в точке и его свойства.
- •19. Непрерывность функции нескольких переменных в точке и его свойства.
- •20. Дифференцируемость функции нескольких переменных. Необходимое условие дифференцируемости.
- •21. Полный дифференциал функции нескольких переменных. Применение дифференциала к приближенным вычислениям.
- •22. Локальный экстремум функции нескольких переменных. Необходимое и достаточное условие экстремума.
- •23. Условный экстремум функции нескольких переменных.
- •24. Глобальный экстремум функции нескольких переменных.
- •26. Задачи, приводящие к дифференциальным уравнениям.
- •27. Дифференциальные уравнения 1-го порядка. Общий интеграл, общее и частное решение, задача Коши
- •28. Линейные дифференциальные уравнения 1-го порядка.
- •29. Комплексные числа и действия над ними.
- •30. Линейные однородные дифференциальные уравнения 2-го порядка с постоянными коэффициентами.
- •31. Метод вариации произвольной постоянной.
- •32. Числовой ряд и его сумма. Свойства сходящихся рядов.
- •33. Необходимое условие сходимости числового ряда. Гармонический ряд
- •34. Признаки сравнения сходимости рядов с положительными Членами.
- •35. Знакопеременные и знакочередующиеся ряды. Признак Лейбница.
- •36. Свойства абсолютно и условно сходящихся рядов.
- •37. Понятие функционального ряда. Область сходимости.
- •38. Степенные ряды. Теорема Абеля. Свойства степенных рядов.
- •39. Ряды Тейлора и Маклорена.
36. Свойства абсолютно и условно сходящихся рядов.
Рассмотрим некоторый знакопеременный ряд (с членами произвольных знаков).
(1)
(2)
Ряд
называется
абсолютно схяодящимся,
если сходится ряд
.
Ряд называется условно сходящимся, если он сходится, а ряд расходится.
Св-ва абсолют. сход. рядов:
1) Т. Для абсолют. сходи. ряда необходимо и достаточно, чтобы его можно было представ. в виде разности 2х сход рядов с неотрицат членами.
2) В сход ряде любая группировка членов ряда, не измен их порядка, сохраняет сходимость и величину ряда.
3) Если ряд сходится абсолютно, то ряд, полученный из него любой перестановкой членов, также абсолют сходится и имеет ту же сумму.
4) Т. При любой группировке членов абсолютно сход. ряда получается сход. ряд, сумма которого равна сумме исходного ряда.
5) Если ряды
и
(сход. абсолютно и их суммы равны
соответственно S и s, то ряд, составленный
из всех произведений вида
,
i,k=1,2…взятых
в каком угодно порядке, также сход
абсолютно и его сумма равна произведению
сумм перемножаемых рядов.
Cв-ва условно сход. рядов:
1. Если ряд условно сход., то ряды, составл. из его положит. и членов, расх..
2. Путём измен. порядка членов условно сход. ряда можно получить ряд, сход. к любой наперёд заданной сумме или же расходящийся.
3. При почленном умножении 2х условно сход рядов может получиться расх. ряд.
37. Понятие функционального ряда. Область сходимости.
Пусть
,
n принадлеж. натур. –
ф-ция опред. на мн-ве Х. Функциональным
рядом назыв. выражение вижа
(1)
Мн-во D всех значений х, при кот-ых ряд (1) сход. назыв. областью сходимости функц. ряда
38. Степенные ряды. Теорема Абеля. Свойства степенных рядов.
Степенным рядом назыв. функц. ряд
вида:
.
Cn принадлеж. R.
(3)
Если х0=0, то
(4)
Ряд (4) всегда сход. по крайней мере в одной точке х=0
х-х0=у
Теорема Абеля:
Если ряд 4 сход. в некот. т. х1≠0, то он будит сход. при всех знач.-ях х принадлеж. R. |x|<|x1|. Если ряд 4 расход, в x2, то он будит расходящимся и при всех х принадлеж. R, |x|>|x2|.
Св-ва степенных рядов:
1. сума степен. ряда - есть ф-ия непрерыв. на любом отрезке, содержащимся внутри интервала сходимости
2. степен. ряд можно почленно интегрир. на любом отрезке, содерж. в интервале. Получ. ряд будит иметь такой же радиус сходимости как и исходный.
3. степен. ряд можно почленно дифф-ть любое число раз, радиус сход. его при это не изменится
39. Ряды Тейлора и Маклорена.
Пусть f(x)
имеет производные всех порядков некотор.
окрестн. т. x. Рядом
Тейлора для f(x)
в т. х0 назыв. степен. ряд след. вида:
Если х0=0, то ряд
назыв. рядом Маклорена
При выполнении некотр. условий ряд
Тейлора для f(x)
равен самой f(x).
Говорят, что ф-ия представима в виде
ф-ии степен. ряда
x
принадлеж. R.
Ф-ия F(x) назыв. первообразной для f(x) на (а;в), если в кажд. т. этого интервала F(x) дифф-ма и F’(x)=f(x)
Мн-во всех первообразн. f(x) на (а;в) назыв. неопpед. интегр. от f(x).
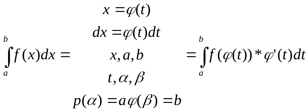
Ф-ла замены переменной:
Ф-ла для опред. интеграла:
Опред. интеграл в эк-ке:
u=f(t)
– пр-ть труда, тогда V
прод-ии, произвед. за время от t
до t2 равен
Пусть ф-ия k(x)
опред. зависим. TC от Q
прод-ии x, тогда f
знач. TC при выпуске Q
от а до b, x
принадлеж. [a; b],
опред.:
Отображение f:x
.
f:x=(x1…xn)->
- такие отображения назыв. ф-ми
n-переменных
e-окрест. точки
х0ÎR
назыв. множество точек хÎR
, удовлет. условию:
.
Пусть дана z=f(x;y), Po(x0;y0) принадлеж. D. Число A назыв. пределом ф-ции z=f(P) т. Po, если для люб. послед-ти точек Pn(xn;yn) принадлеж. R*R сход. в т. Po соответств. посл-ть, f(Pn) значение ф-ции, сходится к A.
Ф-ия назыв. дифф-ой в т. Mo(x0;y0), если сущ. 2 А и В, что ∆z=A∆x+B∆y+α(∆x,y∆).
Если сущ. конечный предел
,
то он назв. частной произв. по пер.
x в т. Po(x0,y0)
и обознач.
Дифф. ур-я n-го
порядка назыв. соотношение вида
F(x,y,y’,…,
)=0,
где F – известная ф-ия ,
х – независ. перемен, y=y(x)
– ф-ия подлеж. определению, y’,
- произв. этой f
M(x,y)dx+N(x,y)dy=0
– дифф. ур-не 1-го порядка, где M(x,y),
N(x,y)
заданы в области
.
M(x)dx+N(y)dy=0 – ур-е с раздел. перемен.,
Модуль комплексного числа a + bi обозначается |a + bi|, Угол φ м\ду oX и вектором ОМ, изображ. комплю число а + bi, назыв. аргум. компл. числа а + bi.
Степен. ряд всегда сх. в некот. интервале
( -R;R), назыв.
интервалом сходимости. Число R
– радиус сход.
ряда
,
где Cn,Cn+1 принадлеж.
R
