Санкт-Петербургский государственный электротехнический университет
“ЛЭТИ”
кафедра физики
ОТЧЕТ
по лабораторно-практической работе № 10 (4)
ИССЛЕДОВАНИЕ ТЕРМОДИНАМИЧЕСКИХ ЦИКЛОВ
Выполнил Гирфанов А.С.
Факультет ЭА
Группа № 6412
Преподаватель Попов Ю.И.
Оценка лабораторно-практического занятия |
|||||
Выполнение ИДЗ |
Подготовка к лабораторной работе |
Отчет по лабораторной работе |
Коллоквиум |
|
Комплексная оценка |
|
|
|
|
|
|
“Выполнено” “” ноября 2006
Подпись преподавателя __________
ЛАБОРАТОРНАЯ РАБОТА № 10
ИССЛЕДОВАНИЕ ТЕРМОДИНАМИЧЕСКИХ ЦИКЛОВ
ЦЕЛЬ РАБОТЫ: исследование политропно-изохорно-изотермического (nVT) и адиабатно-изохорно-изотермического (SVT) циклов.
СХЕМА УСТАНОВКИ И МЕТОД ИЗМЕРЕНИЙ
Приборы и принадлежности: баллон с воздухом, манометр, микрокомпрессор, лабораторные термометр и барометр.
И
спользуемая
в работе установка изображена на
рис. 2.1.
Баллон А объёмом V1
может сообщаться либо с насосом H, либо
с атмосферой. Внутрь баллона помещён
манометр М, измеряющий избыточное
давление. Одно деление шкалы равно 4 мм
вод. ст., что составляет 40 Па. Рабочим
газом является воздух.
В исходном состоянии параметры состояния воздуха следующие: давление p2 и температура T1. Диаграмма исследуемого цикла в координатах давления p и объёма V показана на рис. 2.2.
Исходным является состояние, в котором воздух имеет давление p2 и температуру T1. Насосом в баллон накачивают воздух до давления p1 = p2 + p1 (состояние 1 (p1; V1)). При сжатии воздух нагревается, поэтому после закрытия крана необходимо выждать некоторое время, пока температура воздуха в баллоне не сравняется с температурой окружающей среды (при этом прекращается движение стрелки манометра).
Затем воздух выпускают через кран К в атмосферу в течение нескольких секунд. Когда стрелка манометра приблизится к нулю, кран закрывают. В этот момент давление воздуха баллоне становится p2 (состояние 2 (p2; V2). Изменение параметров состояния воздуха в процессе расширения отражает линия 12, которая является политропой.
После закрытия крана охлаждённый при расширении воздух изохорически нагревается до температуры окружающей среды в результате теплообмена. Изменение параметров состояния воздуха отражает линия 23, которая является изохорой. Температура воздуха в баллоне становится равной температуре в точке 1 (T3 = T1), следовательно, точки 1 и 3 лежат на одной изотерме.
После выравнивания температур давление в баллоне изменится на p3 и станет p3 = p2 + p3 (состояние 3 (p3; V2)). Таким образом, p1 и p3 это изменения давления на участках 12 и 23. Участки 12 и 13 на диаграмме можно аппроксимировать прямыми, так как изменения параметров p, V, T в данной работе малы и много меньше абсолютных значений соответствующих величин.
В работе изучаются политропно-изохорно-изотермический (nVT) и адиабатно-изохорно-изотермический (SVT) циклы путем их моделирования при значениях показателя адиабаты γ = 1,4 и показателя политропы n, полученным в результате измерений.
Основные расчетные формулы
1. Показатель политропы n при известных изменениях давлений Δp1, Δp3.
Продифференцируем уравнения политропы (рVn = const) и изотермы (рV = const):
рnV n1 dV + V n dр = 0 для политропы
рdV + V dр = 0 для изотермы
Преобразуем соотношения к виду
При относительно малых изменениях p и V угловые коэффициенты политропы и изотермы рассчитываются по формулам
,
где V = V2
V1.
Из отношения приведенных уравнений получаем
2. Холодильные коэффициенты ε для nVT и SVT- процессов при известных давлениях p2 и изменениях давлений Δp3, Δp3*.
Холодильный коэффициент определяется как отношение теплоты, отнятой от охлаждаемого газа, к затраченной в цикле работе. Для SVT-цикла
Для nVT-цикла
Перепишем выражения для , используя экспериментально измеренные величины давлений, для чего значения работы А12 и А12* определим графическим способом. В рV-координатах (рис. 2.2) они равны площадям трапеций, основания которых р1 и p2 = р2*, а высоты (V2 V1) и (V2* V1) соответственно. После преобразований получаем:
3. Холодильный коэффициент обратного цикла Карно εK при известных температурах нагревателя и холодильника T1, T2.
КПД прямого цикла Карно по определению
равен
.
Холодильный коэффициент обратного
цикла Карно
.
4. Число молей воздуха в сосуде по известным значениям p2, V1, T1:
Запишем уравнение состояния идеального газа для процесса 1-2:
5. Изменения энтропии ΔS при известных давлениях Δp1 и p2, показателе политропы n и количестве молей газа ν.
По определению
.
nVT: На участке 12 (политропический процесс)
S12 =
На участке 2-3 (изохорический процесс)
S23 =
На участке 3-1 (изотермический процесс)
S31 =
SVT: На участке 12* (адиабатический процесс) изменение энтропии равно нулю.
Изменения энтропии на участках 2-3 (изохорический процесс) и 3-1 (изотермический) равны по величине, но различаются знаком:
S3*1 =
Протокол наблюдений
Лабораторная работа № 10 : исследование термодинамических циклов
Таблица измерений
Атмосферное давление p2 = 102100 Па
Температура воздуха T1 = 294 К
N |
1 |
2 |
3 |
4 |
5 |
6 |
7 |
8 |
9 |
10 |
Δp1, Па |
670 |
680 |
680 |
680 |
690 |
690 |
700 |
700 |
710 |
720 |
Δp3, Па |
100 |
110 |
130 |
150 |
120 |
110 |
140 |
150 |
120 |
110 |
|
|
|
|
|
|
|
|
|
|
|
|
|
|
|
|
|
|
|
|
|
|
|
|
|
|
|
|
|
|
|
|
|
|
|
|
|
|
|
|
|
|
|
|
|
|
|
|
|
|
|
|
|
|
|
Экспериментальный макет
Объем баллона V1 = 22,4 л = 22,4∙10-3 м3
Выполнил Гирфанов А.С.
Факультет ЭА
Группа № 6412
“ ” ноября 2006
Преподаватель: Попов Ю.И.
Протокол наблюдений подписывается преподавателем в конце лабораторного занятия.
ОБРАБОТКА РЕЗУЛЬТАТОВ
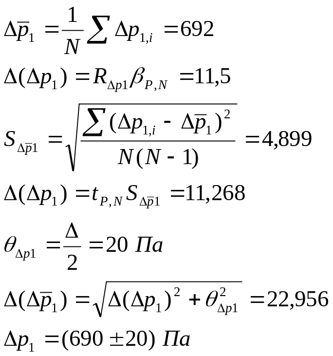
1. а) Определение избыточных давлений Δp1 и Δp3 (прямые измерения):
б) Определение показателя политропы n (перенос погрешностей.)
2. Определение параметров состояния (p, V, T) в точках 1, 2, 3, 1*, 2*, 3*.
Cостояние 1 (совпадает с 1*):
p1 = p2 + Δp1 = 102790 Па
V1 = 22,4 л = 22,4∙10-3 м3
T1 = 294 K
Состояние 2*:
p2* =
p2
= 102100 Па
Уравнение адиабаты:
Газ двухатомный, i
= 5.
Уравнение состояния:
Cостояние 3*:
T3*
= T1 = 294 K
Из уравнения изотермического процесса
1-3:
Процесс 2-3 изохорический, значит
V3* =
V2*.
Тогда имеем
Уравнение состояния:
Состояние 2:
p2 = 102100 Па
Уравнение политропы:
Уравнение состояния:
Cостояние 3:
p3 = p2 + Δp3 = 102220 Па
T3 = T1 = 294 K
Уравнение состояния:
Графики циклов (начало координат сдвинуто):
nVT (n = 1,2)
SVT (γ = 1,4)
3. Расчет холодильных коэффициентов ε (вывод формул – стр. 3).
Цикл nVT (1-2-3-1):
Цикл SVT (1-2*-3*-1):
Так как Δp3*
> Δp3,
.
Обратный цикл Карно (идеальная холодильная машина):
Для T1, T2:
Для T1, T2*:
Так как T2*
< T2,
.
Холодильные коэффициенты циклов Карно меньше, чем холодильные коэффициенты рассматриваемых циклов в силу идеальности холодильной машины Карно.
4. Определение числа молей воздуха ν в сосуде (вывод формул – стр. 3).
5. Изменение энтропии ΔS в циклах 1-2-3-1, 1-2*-3*-1 (вывод формул – стр. 4).
Цикл nVT (1-2-3-1):
Политропа 1-2
Изохора 2-3
Изотерма 3-1
Изменение энтропии за цикл
Цикл SVT (1-2*-3*-1):
Адиабата 1-2* ΔS12 = 0
Изохора 2*-3*
Изотерма 2*-3*
Изменение энтропии за цикл
ИТОГИ
Таблица измерений |
||||||||||
N |
1 |
2 |
3 |
4 |
5 |
6 |
7 |
8 |
9 |
10 |
Δp1, Па |
670 |
680 |
680 |
680 |
690 |
690 |
700 |
700 |
710 |
720 |
Δp3, Па |
100 |
110 |
130 |
150 |
120 |
110 |
140 |
150 |
120 |
110 |
Вычисленные величины |
Избыточное давление Δp1 = (69020) Па |
Избыточное давление Δp3 = (12020) Па |
Избыточное давление Δp3* = 188 Па |
Показатель политропы n
=
|
Параметры состояния p, V, T |
|||
Состояние |
p, Па |
V, м3 |
T, К |
1 |
102790 |
22,4∙10-3 |
294 |
2 |
102100 |
22,53∙10-3 |
293,72 |
3 |
102220 |
22,53∙10-3 |
294 |
2* |
102100 |
22,51∙10-3 |
293,46 |
3* |
102288 |
22,51∙10-3 |
294 |
Изменение энтропии ΔS |
|
Процесс |
ΔS, Дж/К |
1-2 |
21,9∙10-3 |
2-3 |
21,9∙10-3 |
3-1 |
–43,8∙10-3 |
1-2* |
0 |
2*-3* |
37,5∙10-3 |
3*-1 |
–37,5∙10-3 |
ВЫВОДЫ
Выполнив данную лабораторную работу, я исследовал политропно-изохорно-изотермический (nVT) и адиабатно-изохорно-изотермический (SVT) циклы.
Пользуясь экспериментально измеренными величинами избыточных давлений Δp1 и Δp3, я определил показатель политропного процесса n, нашел холодильные коэффициенты ε для nVT- и SVT-циклов.
С помощью уравнения состояния идеального газа мной были вычислены параметры состояния (p, V, T). На основе полученных данных я построил графики nVT- и SVT-циклов в pV-координатах.
Также были найдены изменения энтропии ΔS для каждого процесса nVT- и SVT-циклов.
Результаты работы помещены на лист «Итоги» в табличной форме.
