- •1. Общие понятия теории рядов. Свойства рядов. Необходимы признак сходимости числового и функционального ряда
- •Комплексные числа.
- •Геометрическое изображение комплексных чисел.
- •Действия над комплексными числами.
- •6. Производная функций комплексных переменных. Условие Коши-Риммена.
- •Классическое определение вероятности.
- •Операции над событиями
- •Теоремы сложения и умножения вероятности, совместные и несовместные события, зависимые и независимые события.
- •2. Нормальный закон распределения.
- •2.1.Интегральная и дифференциальная функции распределения. Вероятность попадания в заданный интервал.
- •2.2. Вычисление вероятности заданного отклонения
- •2.3. Правило трех сигм
- •3. Показательное распределение.
- •3.1. Интегральная и дифференциальная функции распределения.
- •3.2. Числовые характеристики.
- •3.3. Функция надежности.
- •36. Распределение непрерывной двумерной случайной величины. Совместная плотность распределения и распределение компонент в отдельности.
- •37. Условие независимости и коррелированности случайных величин. Связь между этими понятиями.
- •38. Числовые характеристики двумерной случайной величины. Математическое ожидание компонент, дисперсия и ковариационный момент
- •39. Коэффициент ковариации случайных величин и её свойства
- •Закон больших чисел теоремы Чебышева, Бернули, Химчина
- •41. Основные задачи математической статистики. Выборка. Вариационный ряд.
- •Эмпирическая функция распределения и ее свойства
- •Точечные оценки параметров распределения, их свойства
- •Точечная оценка математического ожидания, ее свойства
- •Точечная оценка дисперсии, ее свойства
- •Интервальные оценки. Доверительные вероятности
- •Доверительный интервал для неизвестного математического ожидания нормально распределенной случайной величины при известной дисперсии
- •Доверительный интервал для неизвестного математического ожидания нормально распределенной случайной величины при неизвестной дисперсии
- •Стохастическая и корреляционная зависимость
- •Линейная корреляционная зависимость, уравнение линейной регрессии
1. Общие понятия теории рядов. Свойства рядов. Необходимы признак сходимости числового и функционального ряда
Раздел математики, позволяющий решить любую корректно поставленную задачу с достаточной для практического использования точностью, называется теорией рядов. Ряд может быть - числовым; знакопостоянным; знакопеременным; знакоположительным; знакочередующимся; функциональным; степенным; тригонометрическим.
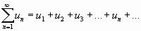
Числовым рядом называется сумма вида
,
(1.1)где
,
,
,…,
,…,
называемые членами ряда, образуют
бесконечную последовательность; член
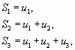
называется общим членом ряда. Суммы
…………..
,составленные
из первых членов ряда (1.1), называются
частичными суммами этого ряда. Каждому
ряду можно сопоставить последовательность
частичных сумм
.Если
при бесконечном возрастании номера n
частичная сумма ряда
стремится
к пределу S, то ряд называется
сходящимся, а число
-
суммой сходящегося ряда, т.е.
и
.Эта
запись равносильна записи
.Если
частичная сумма
ряда
(1.1) при неограниченном возрастании n
не имеет конечного предела (стремится
к
или
),
то такой ряд называется расходящимся.
Разность
называется остатком ряда. Если ряд
сходится, то его остаток стремится к
нулю, т.е.
,
и наоборот, если остаток стремится к
нулю, то ряд сходится.
Простейшие свойства рядов
Теорема 1. Если члены сходящегося ряда, не меняя их порядка, объединить в конечные группы и составить ряд из сумм этих групп, то он будет сходиться и иметь сумму, равную сумме первоначального ряда. Иначе говоря, если a1 + a2 + a3 + ... = S и n1 < n2 < n3 < ..., то
Теорема 2. Если все члены сходящегося ряда умножить на одно и то же число, то вновь полученный ряд будет сходиться, и его сумма будет равна сумме первоначального ряда, умноженной на то же число. Иначе говоря, если a1 + a2 + a3 + ... = S, то ca1 + ca2 + ca3 + ... = cS.
Необходимый признак сходимости ряда.
Ряд
может
сходиться только при условии, что его
общий член
при
неограниченном увеличении номера
стремится
к нулю:
.
Ряд,
членами которого являются функции от
x,
называется функциональным:
.Придавая
определенное
значение
,
получим числовой ряд
,который
может быть как сходящимся, так и
расходящимся.
2. Ряд Фурье для периодической функции
3.
Раложение периодической функции на
интервале
4. Разложение периодической функции на интервале [-l; l]
5. Разложение чётной периодической ф-ии на интервале [0;π]
6. Разложение нечётной периодической ф-ии на интервале [0;π]
7. Разложение ф-ии в ряд по ф-иям ортогональной системы
8. Разложение ф-ии в ряд по sin на интервале [0;π]
9. разложение ф-ии в ряд по cos на интервале [0;π]
Представление ф-ий в виде интеграла Фурье
Понятие о преобразовании Фурье
