- •4.Чистловые характеристики закона распределения.
- •12 Линейное преобразование случайных функций, заданных канноническими разложениями.
- •13 Стационарный случайный процесс
- •5 Нормальный закон распределения. Использование таблиц и интеграла вероятностей.
- •8. Понятие о случайной функции и ее закон распределения.
- •17 Спектральное разложение стационарных случайных процессов.
- •1.Вероятность случайного события и ее оценка. Вероятность суммы и произведения нескольких событий.
- •15.Эргодическое свойство стационарных случайных процессов.
- •18. Взаимная корреляционная функция. Взаимосвязь корреляционно-спектральных характеристик.
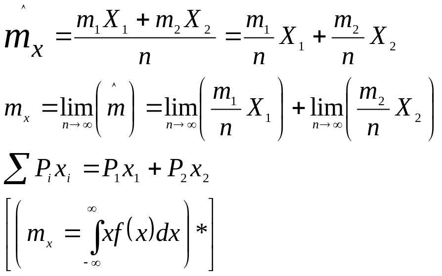
4.Чистловые характеристики закона распределения.
Математическое ожидание – случайной
величины Х наз-ся его среднее значение
вычисляемое по след. формулам
- ф-ла может быть обоснована следующим
примером:
Проводиться n опытов, в
которых
,
При математическом описании итогов опытов случ. величины подвергают случ. ожиданию.
Более общая числовая характеристика
- начальный момент -
- центр. момент
Центр. момент 2-го порядка:
Возможность дисперсии обусловлена тем, что она имеет смысл общей мощности.
12 Линейное преобразование случайных функций, заданных канноническими разложениями.
Случайная функция заданная в виде канонического выражения (*) легко подвергается произвольному линейному преобразованию:
Данное линейное преобразование тоже имеет вид канонического разложения
13 Стационарный случайный процесс
Очень часто в работающих системах их воздействие равномерно изменяется около среднего.
Такие процессы, средняя амплитуда которых и характер колебаний – const, называется стационарными.
Стационарный случайный процесс – процесс вероятностные характеристики, которого не меняются во времени.
1)
Данное требование не является существенным, потому что после операции центрирования оно выполняется автоматически.
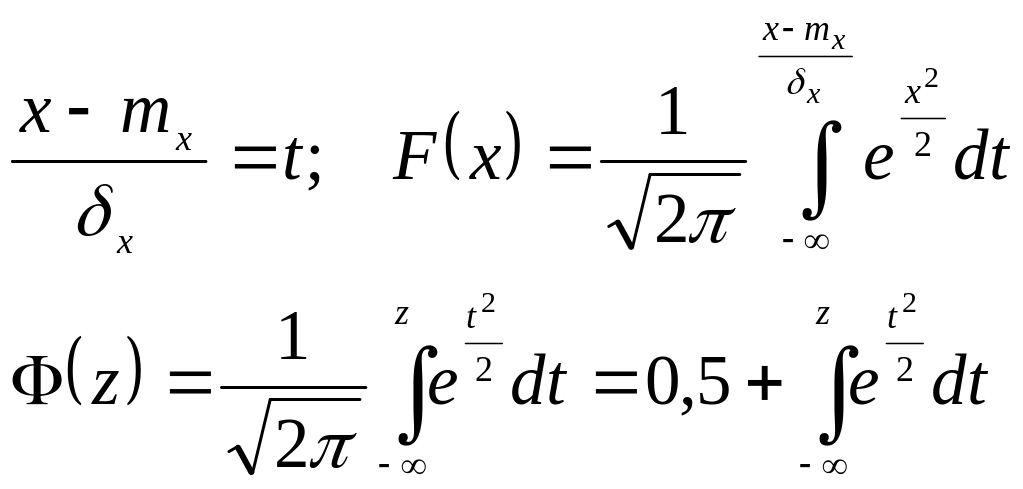
5 Нормальный закон распределения. Использование таблиц и интеграла вероятностей.
Если С.В.
формируется под воздействием большого
числа факторов, либо как сумма большого
числа НСВ (независимых случайных величин)
,
то чаще всего его закон распределения
как норм. закон.
Для норм. закона плотность распределения описывается следующим соотношением:
норм.
функция распределения; плотность
распределения;
интеграл вероятностей гаусса
Этот интеграл не берется от элементарной функции. Данный интеграл вычисляется численно и для пользования таблицами перем-ая x-нормируется, вводиться переменная t.
Если нам нужно вычислить на отрезке
Линейное преобразование:
Характеристи́ческая фу́нкция случа́йной величины́ — один из способов задания распределения. Характеристические функции могут быть удобнее в тех случаях, когда, например, плотность или функция распределения имеют очень сложный вид. Также характеристические функции являются удобным инструментом для изучения вопросов слабой сходимости (сходимости по распределению).
Пусть есть случайная величина X с
распределением
.
Тогда характеристическая функция
задаётся формулой:
.
Пользуясь формулами для вычисления математического ожидания, определение характеристической функции можно переписать в виде:
,
то есть характеристическая функция — это обратное преобразование Фурье распределения случайной величины.
Если случайная величина X принимает
значения в произвольном гильбертовом
пространстве
,
то её характеристическая функция имеет
вид:
,
где
обозначает
скалярное произведение в
.
Характеристическая функция однозначно определяет распределение. Пусть X,Y суть две случайные величины, и
.
Тогда
.
В частности, если обе величины абсолютно
непрерывны, то совпадение характеристических
функций влечёт совпадение плотностей.
Если обе случайные величины дискретны,
то совпадение характеристических
функций влечёт совпадение функций
вероятности.Характеристическая функция всегда ограничена:
.
Характеристическая функция в нуле равна единице:
.
Характеристическая функция всегда непрерывна:
.Характеристическая функция как функция случайной величины однородна:
.
Характеристическая функция суммы независимых случайных величин равна произведению их характеристических функций. Пусть
суть
независимые случайные величины.
Обозначим
.
Тогда
.
