- •Часть 1
- •[Править] Интегрирующий множитель
- •[Править] Алгоритм решения
- •2. Уравнение не разрешимое относительно производной.
- •Уравнения, не разрешимые относительно производной
- •Пусть уравнение можно разрешить относительно т.Е. Записать в виде Введя параметр (7.1)
- •Уравнения Лагранжа и Клеро
- •Задания для работы на семинаре
- •Задания для самостоятельной работы
- •Уравнения высших порядков.
- •4. Линейные уравнения высших порядков.
- •Часть II
- •1. Дифференциальные уравнения с разделяющимися переменными.
- •Первый способ
- •[Править] Второй способ
Часть 1
1 Уравнения первого порядка интегрируемые в квадратурах.
Опр:
Решением (интегралом) дифференциального уравнения порядка n называется функция y(x), имеющая на некотором интервале (a, b) производные y'(x),y''(x),...,y(n)(x) до порядка n включительно и удовлетворяющая этому уравнению.
Зада́ча Коши́ — одна из основных задач теории дифференциальных уравнений (обыкновенных и с частными производными); состоит в нахождении решения (интеграла) дифференциального уравнения, удовлетворяющего так называемым начальным условиям (начальным данным).
Общее решение дифференциального уравнения — функция наиболее общего вида, которая при подстановке в дифференциальное уравнение вида
обращает
его в тождество.
Частным
решением дифференциального уравнения
на интервале
называется
каждая функция y(x), которая при
подстановке в уравнение вида
обращает
его в верное тождество на интервале
.
Осо́бое решен́ие обыкновенного дифференциального уравнения — решение, в любой окрестности каждой точки которого нарушается единственность решения задачи Коши для этого уравнения.
Рассмотрим уравнение
F(x,y,y')
= 0, (1) где F(x,y,p) —
заданная непрерывная функция в некоторой
области
.
Решение
уравнения (1)
,
называется особым решением, если
каждая точка
,
его интегральной кривой является точкой
локальной неединственности решения
задачи Коши.
Особое решение , уравнения (1) геометрически означает, что интегральная кривая для y = ψ(x) в каждой своей точке касается некоторой другой интегральной кривой уравнения (1) и не совпадает с ней в некоторой окрестности этой точки.
Пусть
Φ(x,y,C)
является общим решением дифференциального
уравнения F(x,y,y')
= 0. Графически уравнение Φ(x,y,C)
= 0 соответствует семейству интегральных
кривых на плоскости xy.
Если функция Φ(x,y,C)
и ее частные производные непрерывны,
то огибающая семейства интегральных
кривых общего решения определяется
системой уравнений:
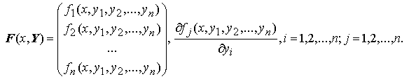
Теорема Коши. Пусть в области D из Rn+1 непрерывны все компоненты вектора правой части F(x,Y) и их частные производные по Y:
Тогда, какова бы ни была начальная точка (x0,Y0) ≡ (x0,y1, 0 ,y2, 0, … ,yn, 0 ) ∈ D , существует такой отрезок [x0 − h; x0 + h] , что задача Коши Y' = F(x,Y), что Y(x0)=Y0 имеет единственное решение.
Важно понимать, что теорема Коши имеет локальный характер: существование решения Y = Y(x) гарантируется лишь в достаточно малой окрестности точки x0 , ( h > 0 может оказаться достаточно малым).
Важно также понимать, что теорема содержит только достаточные условия существования и единственности решения — при нарушении условий теоремы задача Коши может иметь или не иметь решений, может иметь несколько решений.
Типы:
Дифференциальное уравнение
(3.1)
называется уравнением с разделяющимися переменными.
Умножая
обе части уравнения на
,
получаем уравнение
(3.2)
В уравнении (3.2) коэффициент при dx зависит только от x, а коэффициент при dy зависит только от y. Значит, в уравнении (3.2) переменные разделены. Интегрируя, получаем:
∫
+∫
Однородным дифференциальным уравнением первого порядка, называется уравнение, имеющее вид
(7)
Подстановка
;
;
,
где
преобразует
это уравнение к уравнению с разделяющимися
переменными.
,
,
.
Замечание.
Функция
называется
однородной степени
,
если
,
где
-
некоторая константа. Например, функция
является однородной функцией степени
два.
Дифференциальное
уравнение
называется
квазиоднородным,
если для любого
выполняется
соотношение
.
Данное уравнение решается заменой
:
В
силу квазиоднородности, положив
,
получаем:
,
что, очевидно, является однородным
уравнением.
Дифференциальные
уравнения вида
называются
линейными.
Метод
Бернулли
Решение уравнения
ищется
в виде
.
При этой замене получаем:
.
Функцию
выбирают
из условия
.
Полученную функцию
подставляют
в уравнение
(учитываем
),
решая которое находят функцию
.
Уравнение Бернулли
Уравнение Бернулли является одним из наиболее известных нелинейных дифференциальных уравнений первого порядка. Оно записывается в виде
где
a(x)
и b(x)
− непрерывные функции.
Если m
= 0, то уравнение Бернулли становится
линейным
дифференциальным уравнением.
В случае когда m
= 1, уравнение преобразуется в уравнение
с разделяющимися переменными.
В общем случае, когда m
≠ 0, 1, уравнение Бернулли сводится к
линейному дифференциальному уравнению
с помощью подстановки
Новое
дифференциальное уравнение для функции
z(x)
имеет вид
Если
в уравнении (1) левая часть представляет
собой полный дифференциал, то есть
,
то такое уравнение называется уравнением
в полных дифференциалах (частный
случай так называемого пфаффова
уравнения). Интегральные кривые
такого уравнения суть линии уровней
функции
,
т.е. определяются уравнением
при
всевозможных значениях произвольной
постоянной
.
Если
в области
выполнено условие
,
то общее решение уравнения (1) определяется
из уравнения
как
неявная функция
.
Через каждую точку области
проходит
единственная интегральная кривая
уравнения
(1).
Если
рассматриваемая область
односвязна,
а производные
также
непрерывны в
,
то для того, чтобы (1) было уравнением в
полных дифференциалах, необходимо и
достаточно выполнения условия
(признак уравнения в полных дифференциалах).
