- •Глава 9 принципы
- •9.1. Элементы теории разделения сигналов
- •9.2. Частотное, временное и фазовое разделение сигналов
- •1. Частотное разделение сигналов
- •2. Временной способ разделения каналов
- •3. Разделение сигналов по фазе
- •9.3. Разделение сигналов по форме. Системы передачи с шумоподобными сигналами
- •1. Разделение линейно независимых сигналов
- •2. Системы передачи с шумоподобными сигналами
- •9.4. Комбинационное разделение сигналов
- •9.5. Пропускная способность многоканальных систем передачи информации
Глава 9 принципы
МНОГОКАНАЛЬНОЙ ПЕРЕДАЧИ ИНФОРМАЦИИ
9.1. Элементы теории разделения сигналов
Практика построения современных систем передачи информации показывает, что наиболее дорогостоящими звеньями трактов передачи являются линии связи (кабельные, волоконно-оптические, сотовой мобильной радиосвязи, радиорелейной и спутниковой связи и т. д.).
Поскольку
экономически нецелесообразно использовать
дорогостоящую линию связи для передачи
информации единственной
паре абонентов, то возникает необходимость
построения
многоканальных систем передачи,
обеспечивающих передачу
большого числа сообщений различных
источников информации
по общей линии связи. Многоканальная
передача возможна
в тех случаях, когда пропускная способность
линии С
не меньше суммарной производительности
источников информации:
(9.1)
Где
- производительностьk-го
источника, а N
– число
каналов (независимых источников
информации). Многоканальные
системы, так же как и одноканальные,
могут быть аналоговыми и цифровыми.
Для унификации аналоговых многоканальных
систем за основной
или
стандартный
канал
принимают
канал тональной частоты, обеспечивающий
передачу
сообщений с эффективно передаваемой
полосой частот 300÷3400
Гц, соответствующей основному спектру
телефонного
сигнала. В цифровых системах передачи
наибольшее распространение
получили основные цифровые каналы со
скоростью
64 Кбит/с. Многоканальные аналоговые
системы формируются
путем объединения каналов тональной
частоты в группы,
обычно кратные 12 каналам. Цифровые
системы передачи,
используемые на сетях связи, формируются
в соответствии
с принятыми иерархическими структурами.
Общий принцип построения системы многоканальной передачи поясняется с помощью структурной схемы рис. 9.1.

Рис. 9.1. Структурная схема многоканальной системы передачи
информации
В этой системе
первичные сигналы каждого источника
с помощью
индивидуальных
передатчиков (модуляторов)
преобразуются в
соответствующие сигналы
.
Совокупность канальных сигналов на
выходе устройства объединения
образует
групповой сигнал
связанный с
сигналами
оператором
объединения
:=
.В случаераздельной
системы уплотнения это
объединение сводится к обычному
суммированию: ![]()
Наконец,
с учетом частотного диапазона направляющей
системы
(линии связи) сигнал uГ(t)
с
помощью группового
передатчика
М преобразуется
в линейный сигнал uл(t),
который
и поступает в линию связи (ЛС), Сначала
будем считать,
что помеха в канале отсутствует, а канал
не вносит искажения в сигнал, т. е.
принимаемый линейный сигнал sл(t)
=γuл(t),
где
γ
—
коэффициент передачи канала, который
можно считать
равным единице. Тогда на приемном конце
линии связи (ЛС)
линейный сигнал sл(t)
с
помощью группового
приемника Пр
может
быть вновь преобразован в групповой
сигнал uГ(t)=γui(t).
Канальными,
или индивидуальными, приемниками Пр1,
Пр2,
….., ПРk,
ПрN
из
группового сигнала выделяются
соответствующие
канальные сигналы N
si(t)
=
γui(t),
(
i=
1,...
N
),
которые
посредством детектирования преобразуются
в предназначенные
индивидуальным получателям сигналы:
b
1(t),
b
2(t),
…., b
i(t),
……, b
N(t).
Канальные передатчики вместе с устройствами объединения образуют аппаратуру объединения (уплотнения) каналов АОК.
Группой передатчик, линия связи ЛС и групповой приемник Пр составляют групповой тракт передачи, который вместе с аппаратурой объединения и разделения каналов составляет систему многоканальной связи.
Индивидуальные
приемники Прi.
системы наряду с выполнением
обычной операции преобразования
канальных сигналов
si(t)
в
соответствующие первичные сигналы
b
i(t)
должны
обеспечить выделение сигналов si(t)
из
группового сигнала
с допустимыми искажениями. Аппаратуру
индивидуальных
приемников, обеспечивающую эту операцию,
называют аппаратурой
разделения каналов (АРК).
Рассмотрим теперь основные свойства сигналов, пригодных для независимой передачи информации в системах многоканальной связи. Чтобы разделяющие устройства были в состоянии различать сигналы отдельных каналов, должны существовать определенные признаки, присущие только сигналу данного канала. Такими признаками в общем случае могут быть параметры переносчика, например, амплитуда, частота или фаза в случае модуляции синусоидального переносчика, временное положение, длительность или форма сигнала при модуляции импульсных переносчиков. Соответственно будут различаться и способы разделения сигналов: частотный, временной, фазовый, разделение по форме сигналов и др.
Пусть необходимо организовать одновременно работу N индивидуальных каналов по общему групповому тракту. Будем считать, что групповой тракт пригоден для передачи сигналов любого i-ro канала ui(t). Предполагаем, что сигнал i-ro канала:
(9.2)
где
-
функция переносчика;
-
некоторый
коэффициент, отображающий передаваемое
сообщение. Для суммы всех канальных
сигналов (группового сигнала) имеем:
(9.3)
После преобразования группового сигнала в линейный uл(t) последний поступает в тракт передачи. На приемном конце sл(t) вновь преобразуется в групповой sr(t).
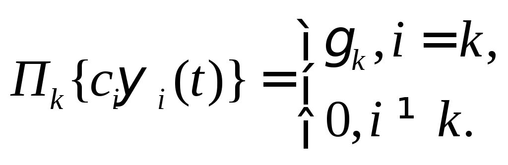
Для разделения N канальных сигналов на приемной стороне потребуется соответствующее число N разделяющих устройств, причем каждое k-e разделяющее устройство должно выполнять операцию выделения k-гo сигнала. Действие приемного устройства k-гo канала будем обозначать оператором разделения Пk. В идеальном случае k-e приемное устройство должно реагировать ("откликаться") только на сигнал sk(t) и давать нулевые отклики на сигналы всех других каналов. Дополнительным требованием к оператору будем считать его линейность, т. е. он должен удовлетворять принципу независимости действия (суперпозиция):
(9.4)
Далее можно
сформулировать операцию разделения
сигналов в математическом виде. Обозначим
через
отклик, т. е.
результат воздействия оператора
приемного устройства k-го
канала на групповой сигнал
На входе каждого k-го
приемника действует сумма сигналов
всех N
каналов. Чтобы приемное устройство
было "чувствительным" только к
сигналам
,необходимо:
(9.5)
Иначе говоря, для всех i и k должно выполняться условие:
(9.6)
Подставляя (9.2) в (9.6), получаем:
(9.7)
и, следовательно,
![]()
Полученные
результаты могут быть обобщены также
на случай, когда отклик разделяющего
устройства на сигнал
будет иметь иную форму; важно, чтобы
величина отклика была однозначно связана
с передаваемым сигналом. В частном
случае откликом на сигнал
может быть просто некоторое число
,
однозначно связанное с коэффициентом
:
(9.8)
или 
Физический смысл полученных выражений (9.6) и (9.8) сводится к тому, что приемник Прk обладает избирательными свойствами по отношению к сигналам sk(t). Поскольку действие приемников Прk в (9.6) и (9.8) описывается линейным оператором Пk , то соответствующие устройства разделения являются линейными, а теорию разделения называют линейной.
Мы рассмотрели случай идеального разделения. В реальных условиях при разделении сигналов возникают переходные помехи.
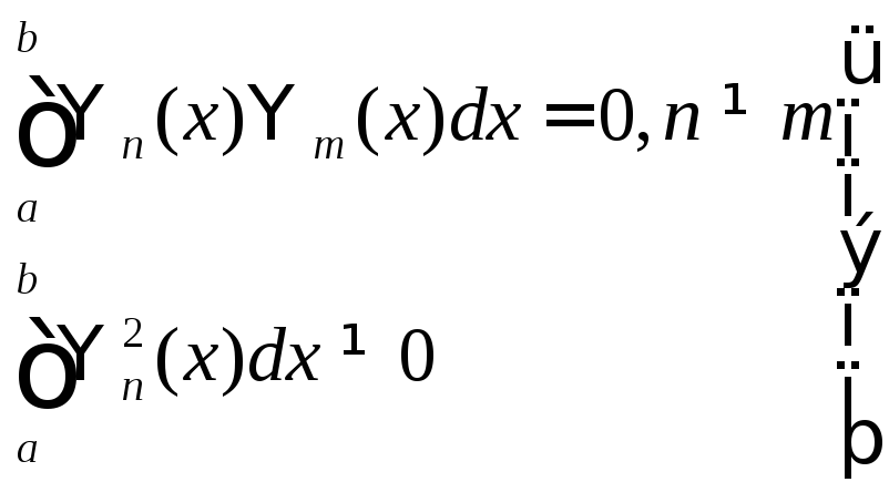
Условие линейного разделения (9.6) будет выполняться лишь тогда, когда канальные сигналы линейно независимы. Частным случаем линейно независимых сигналов являются ортогональные сигналы, для которых выполняется условие (на отрезке [а,b]).
(9.9)
Типичными ортогональными сигналами являются сигналы с неперекрывающимися спектрами, а также неперекрывающиеся во времени сигналы.
