- •1. Структурная схема системы цифровой связи
- •2. Исходные данные для расчета системы цифровой связи
- •3. Расчет системы цифровой связи
- •3.1. Источник сообщения
- •3.2. Аналого-цифровой преобразователь
- •3.3. Кодер
- •3.4. Формирователь модулирующих сигналов
- •3.5. Модулятор
- •3.6. Непрерывный канал
- •3.7. Демодулятор
- •3.8 Декодер
- •График выполнения кр
3.3. Кодер
Используется помехоустойчивый свёрточный код. Выбрать структурную схему свёрточного кодера [1, стр. 251 - 253].
Требуется:
1. Использовать свёрточный код с параметрами:
- степень кодированияk/n = 1/2,
- длина кодового ограниченияK = 3,
- векторы связи g1 = 111 и g2 = 101.
2. Нарисовать схему кодера,соответствующую заданным параметрам, и определить его импульсную характеристику g(x).
g(x) = 1 +x + x2 + x4+ x5,g = 111011.
3. Изобразить решетчатую диаграмму свёрточного кодера от момента времени t1 до момента времениt10.
t1 t2t3 t4 t5t6 t7 t8 t9 t10
Рис. 3.3.2. Решетчатая диаграмма свёрточного кодера
4. На решетчатой диаграмме свёрточного кодера построить путь, соответствующий последовательностиинформационных символов b(iT) от АЦП для заданного уровняквантования , и определить по нему последовательность кодовых символов c(iTb) на выходе кодера.
b(iT) = 111110100
c(iTb)= 11 01 10 10 10 01 00 10 11
Рис. 3.3.3. Путь на решетчатой диаграмме кодера для b(iT) = 101110100
Приb(iT) = 111110100c(iTb) = 110110101001001011
5. Определить длительность двоичного символа ТВ на выходе кодера (в последовательном формате)
6. Определить техническую скорость передачи VВ
VВ = 1/ТВ=
3.4. Формирователь модулирующих сигналов
Формирователь модулирующих сигналов (ФМС)предназначен для преобразования двоичного цифрового потока от кодера C(t) в модулирующие сигналы I(t) иQ(t), которые необходимо подавать на синфазный и квадратурный входы модулятора для получения заданного сигнального созвездия на его выходе.Ондолжен содержать:
- регистр сдвига для деления входного потока бит от кодера на группы, передаваемые одним сигналом sКАМ(t) (дибиты при QPSK и квадбиты при QASK);
- преобразователи уровней битовых сигналов (униполярной кодировки в биполярную: приQPSK «0» → h, «1» → –h; приQASK «00» → 3h, «01» → h, «10» → –h, «11» → –3h);
- дополнительно, при QASK, –кодопреобразователь исходного кода квадбит в код Грея для выравнивания минимальных расстояний между сигналами модулятора и соответствующим им квадбитам.
Требуется:
Изобразить сигнальное созвездие для заданного вида модуляции.
а) б)
Рис. 3.4.1. Сигнальные созвездиячетырехуровневой QASK (а) и QPSK (б)
Изобразить график реализации c(t) случайного процессаC(t)
на входе блока ФМС (выходе свёрточного кодера) для первых 16 бинарных интервалов (рис. 3.4.2).
Рис. 3.4.2. Осциллограмма реализации
с
выхода свёрточного кодера
Написать аналитическое
выражение для случайного процесса
.
где
прямоугольный импульс длительностью
при
где
прямоугольный импульс такой же формы,
как
,
но сдвинутый вправо
относительно импульса
на величину
,
если
,
или влево,
если
;
- случайная величина 0, +h(значение
бита на
- интервале
).
В соответствии с сигнальным созвездием модулятора QPSK
(или QASK)
изобразитьдля
входной реализации
графики реализаций
и
на выходе блока ФМС случайных процессов
и
(рис. 3.4.3).Написать аналитические выражения
для случайных процессов
и
.
;
где
прямоугольный импульс длительностью
TS.
прямоугольный импульс такой же формы,
как импульс
,
но сдвинутый вправо относительно
импульса
на величину
,
если
,
или влево, если
;
и
независимые случайные величины, заданные
на символьном интервале с номером
,
которые согласно сигнальному созвездию
(рис. 3.4.1) принимают:
дляQPSK два дискретных значения –h, +h с вероятностью 0,5 каждое, т. е.
;
дляQАSK четыре дискретных значения –3h, –h, +h ,+3h с вероятностями
для QPSK(вариант
00)
для QАSK(вариант
01)
Рис. 3.4.3. Осциллограммы реализаций i(t) q(t)навыходах и ФМС
Написать аналитические выражения для корреляционной функции
и спектральной
плотности мощности
входного случайного процесса
и построить графики этих функций.
Процесс C(t) является случайным синхронным телеграфным сигналом. Его корреляционная функция имеет вид [1]
,
а энергетический спектр
,
где Т = ТВ – длительность тактового интервала.
Графики BC(τ) и GC(f) приведены на рис. 3.4.4.
Рис. 3.4.4. Корреляционная функция BC(τ) (а) и энергетический спектр GC(f) (б)
синхронного телеграфного сигналаC(t)
5. Написать аналитические выражения для корреляционных функций
BI(τ) и BQ(τ), спектральных плотностей мощности GI(f) и GQ(f) случайных процессов I(t) и Q(t). Построить графики этих функций.
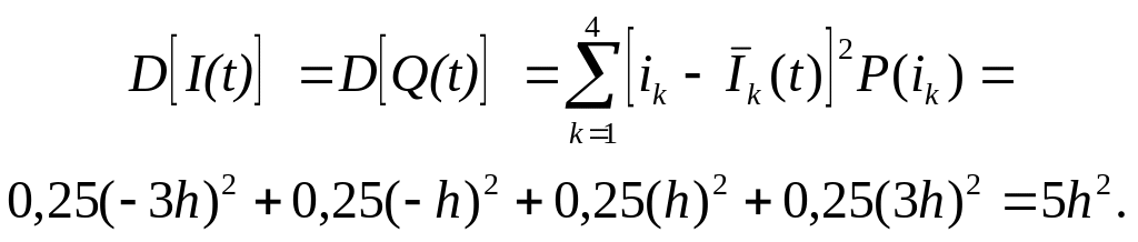
Процессы I(t) и Q(t) отличаются от процесса C(t) длительностями тактовых интервалов (TS = 2TBдля QPSK и TS = 4TBдля QАSK), а для QАSK ещё и начальными значениями BI(0) =BQ(0) = D[I(t)] = D[Q(t)] и GI(0) = GQ(0) = D[I(t)]/TS= D[Q(t)]/TS
Графики BI(τ) и GI(f)для QАSK приведены на рис. 3.4.5.
Рис. 3.4.5. Корреляционная функция BI(τ) (а) и энергетический GI(f) спектр (б)
синхронного телеграфного сигналаI(t)
6. Сравнить графики корреляционных функций и спектральных
плотностей мощности сигналов на входе и выходе блока ФМС. Привести краткое описание результатов сравнения и, используя общие положения теории преобразования Фурье, пояснить, почему спектр выходных сигналов уже спектра входного сигнала.
(Добавить!) 7. Определить длительность символьного интервала TS.
TS = 2TB дляQPSK ,
TS = 4TB дляQPSK,
где TB - бинарный интервал).
