- •Формулирование задач линейного программирования для последующего их решения симплекс-методом
- •9. Фирма производит три вида продукции (а, в, с), для выпуска каждого из которых требуется определённое время обработки на всех четырёх устройствах I, II, III, IV.
- •14. Фирма, выпускающая трикотажные изделия, использует для производства продукции два вида сырья. Все необходимые данные приведены в таблице.
- •15. Компания производит различные типы мебели для кабинетов. Она производит столы трех типов (1,2, 3). Объём работы, необходимой для каждой операции, приводится в таблице:
- •Транспортная задача
- •19. На 4 базы а1, а2, а3, а4 поступил однородный груз в количествах, соответственно равных 30, 25, 15 и 30 единиц. Этот груз требуется перевезти
- •20. Составьте методом потенциалов оптимальный план завоза хлебобулочной продукции с минимальными транспортными затратами из трёх пекарен фирмы «Колос» в четыре булочных города: а, b, c, d. Заказы
- •22. На 4 базы а1, а2, а3, а4 поступил однородный груз в количествах, соответственно равных 30, 25, 15 и 30 единиц. Этот груз требуется перевезти
- •25. На 4 базы а1, а2, а3, а4 поступил однородный груз в количествах, соответственно равных 30, 25, 15 и 30 единиц. Этот груз требуется перевезти
- •29. Решить транспортную задачу, заданную распределительной таблицей:
- •30. Решить транспортную задачу, заданную распределительной таблицей:
- •Вопросы к экзамену
Санкт-Петербургский государственный экономический университет
Институт сервиса
Факультет сервиса автотранспорта и бытовой техники
Кафедра прикладной математики и эконометрики
Контрольная работа для студентов
«Прикладная математика»
Составитель: доцент А.В. Гармашов
СПб 2013
ГРАФИЧЕСКИЙ МЕТОД РЕШЕНИЯ ЗАДАЧ ЛИНЕЙНОГО ПРОГРАММИРОВАНИЯ
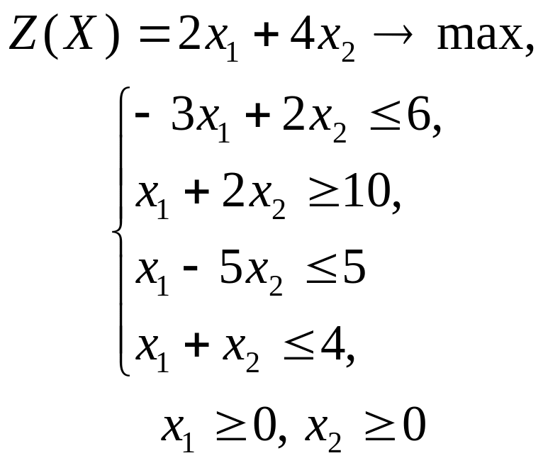
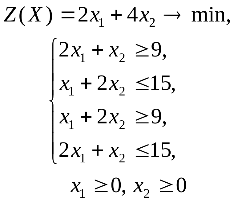
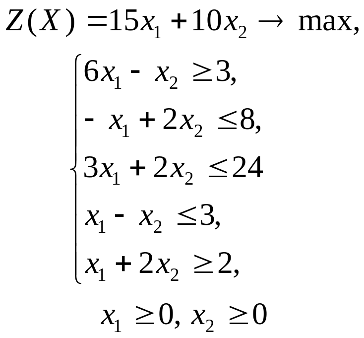
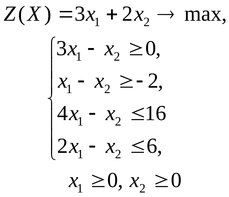
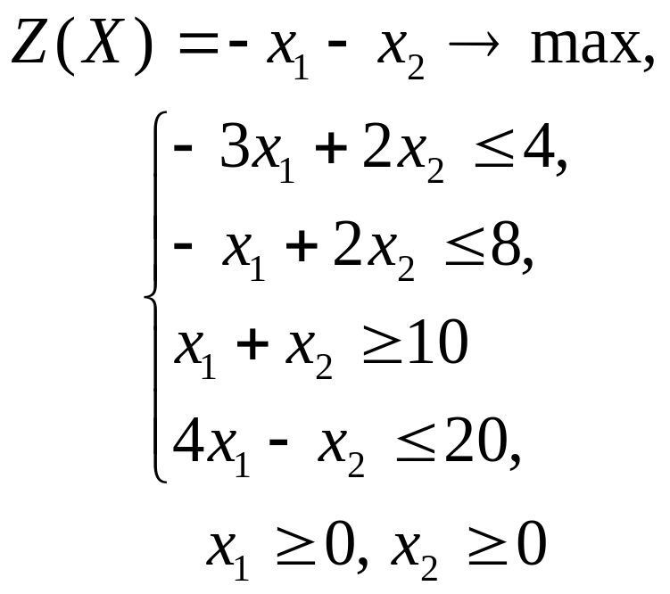
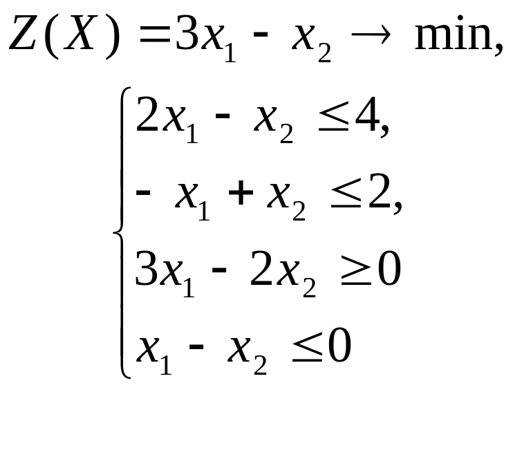
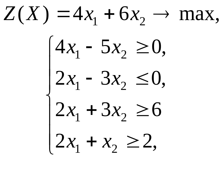
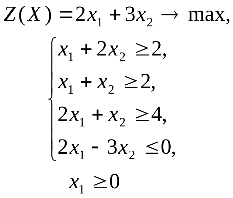
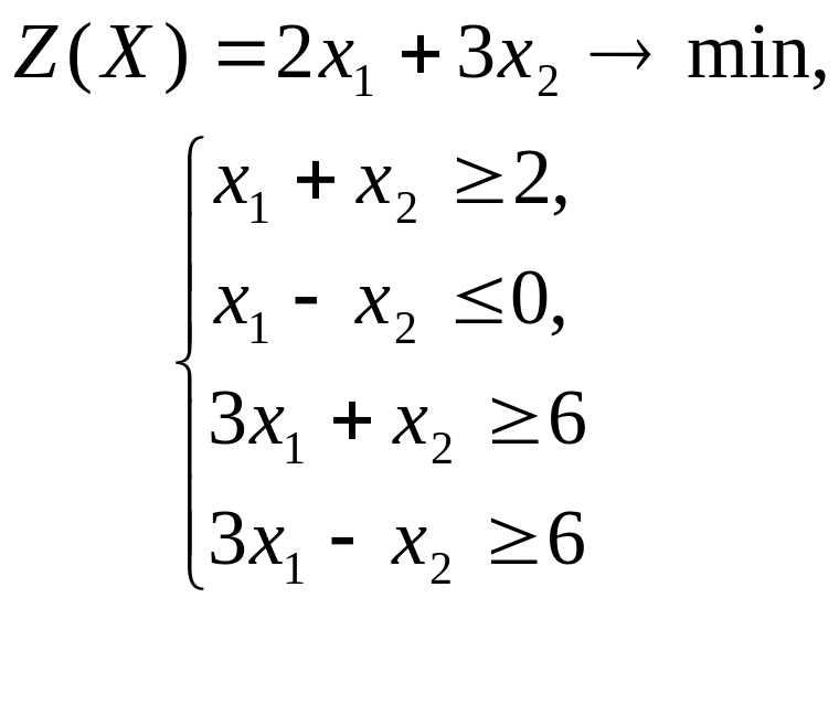
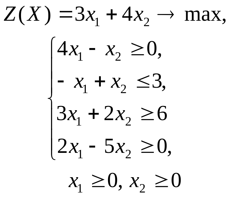
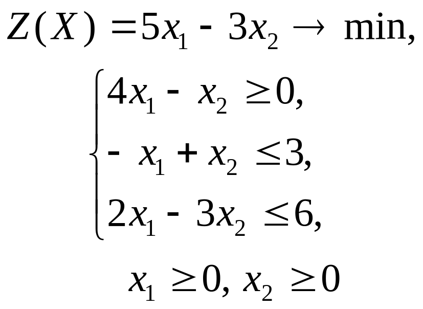
Решить графическим методом задачи с двумя переменными (табл. 1).
Таблица 1. Варианты задания 1
Вариант |
Задача |
Вариант |
Задача |
1 |
|
16 |
|
2 |
|
17 |
|
3 |
|
18 |
|
4 |
|
19 |
|
5 |
|
20 |
|
6 |
|
21 |
|
7 |
|
22 |
|
8 |
|
23 |
|
9 |
|
24 |
|
10 |
|
25 |
|
11 |
|
26 |
|
12 |
|
27 |
|
13 |
|
28 |
|
14 |
|
29 |
|
15 |
|
30 |
|
Формулирование задач линейного программирования для последующего их решения симплекс-методом
Следующие задачи сформулировать как задачи линейного программирования и решить их симплекс-методом.
1-7.
На предприятии имеется возможность
выпускать три вида продукции Пj
.
При её изготовлении используются ресурсы
Р1,
Р2
и
Р3.
Размеры допустимых затрат ресурсов
ограничены соответственно величинами
b1,
b2
и
b3.
Расход
ресурса i-го
вида
на единицу продукции j-го
вида составляет aij
единиц. Цена единицы продукции j-го
вида равна cj
ден.
ед. Требуется симплекс-методом найти
план выпуска продукции по видам с учётом
имеющихся ограниченных ресурсов, который
обеспечивал бы предприятию максимальный
доход.
b1=150, b2=180, b3=120, a11=2, a12=3, a13=4, a21=1, a22=4, a23=5, a31=3, a32=4, a33=2, c1=8, c2=7, c3=6.
b1=1200, b2=150, b3=3000, a11=15, a12=20, a13=25, a21=2, a22=3, a23=2,5, a31=35, a32=60, a33=60, c1=300, c2=250, c3=450.
b1=600, b2=30, b3=144, a11=10, a12=20, a13=23, a21=1, a22=1, a23=1, a31=5, a32=6, a33=6, c1=35, c2=60, c3=63.
b1=24, b2=10, b3=6, a11=5, a12=7, a13=4, a21=5, a22=2, a23=1, a31=2, a32=1, a33=1, c1=18, c2=12, c3=8.
b1=500, b2=550, b3=200, a11=2, a12=1, a13=0, a21=0, a22=2, a23=1, a31=0, a32=1, a33=0, c1=3, c2=4, c3=1.
b1=360, b2=192, b3=180, a11=18, a12=15, a13=12, a21=6, a22=4, a23=8, a31=5, a32=3, a33=3, c1=9, c2=10, c3=16.
b1=180, b2=210, b3=244, a11=4, a12=2, a13=1, a21=3, a22=1, a23=3, a31=1, a32=2, a33=5, c1=10, c2=14, c3=12.
8. Производитель элементов центрального отопления изготовляет радиаторы четырёх моделей. Ограничения на производство обусловлены количеством рабочей силы и количеством стальных листов, из которых изготавливают радиаторы.
Модель радиатора |
А |
В |
С |
D |
Необходимое количество рабочей силы, человеко-часы |
0,5 |
1,5 |
2 |
1,5 |
Необходимое количество стального листа, м2 |
4 |
2 |
6 |
8 |
Прибыль от продажи одного радиатора, долл. |
5 |
5 |
12,5 |
10 |
Количество стального листа — не более 2500 м2, количество человеко-часов — не более 500. Решите эту задачу с максимизацией прибыли в качестве целевой функции.
9. Фирма производит три вида продукции (а, в, с), для выпуска каждого из которых требуется определённое время обработки на всех четырёх устройствах I, II, III, IV.
Вид продукции |
Время обработки |
Прибыль, долл. |
|||
I |
II |
III |
IV |
||
А |
1 |
3 |
1 |
2 |
3 |
В |
6 |
1 |
3 |
3 |
6 |
С |
3 |
3 |
2 |
4 |
4 |
Пусть время работы на устройствах — соответственно 84,42, 21 и 42 часа. Определите, какую продукцию и в каких количествах следует производить. Рынок сбыта для каждого продукта неограничен. Временем, требуемым для переключения устройства в зависимости от вида продукции, можно пренебречь. Рассмотреть задачу максимизации прибыли.
10. Прибыль от изделий А, В, С составляет, соответственно, 3, 4, 5 единиц. Для каждого изделия требуется время использования станка I и II, которые доступны, соответственно, 12 и 15 часов в день:
|
А |
В |
С |
I |
2 |
3 |
3 |
II |
4 |
1 |
2 |
Найдите оптимальный план производства.
11. Постройте экономико-математическую модель для следующей ситуации. Фирма производит три вида продукции, используя для этого два вида ресурсов. Технологическая матрица задана в виде таблицы:
|
Продукт 1 |
Продукт 2 |
Продукт 3 |
Ресурс 1 |
1 |
2 |
0 |
Ресурс 2 |
2 |
3 |
1 |
Фирма имеет в своём распоряжении 20 единиц 1-го ресурса и 25 единиц 2-го ресурса; цены, по которым предполагает реализовать свою продукцию фирма, равны 15, 20, 30 тыс. руб. за 1-й, 2-й и 3-ий товар, соответственно. Фирма желает получить максимальный доход.
12. Фирма специализируется на производстве мебели для жилых помещений. Она может производить три типа мебельных гарнитуров A, B, C, что требует различных затрат труда на каждой стадии производства:
Производственный участок |
Затраты труда, чел-ч |
||
A |
B |
C |
|
лесопилка |
1 |
2 |
4 |
сборочный цех |
2 |
4 |
2 |
отделочный цех |
1 |
1 |
2 |
В течение недели можно планировать работу на лесопилке на 360 чел-ч, в сборочном цехе – на 250 чел-ч, в отделочном цехе - на 220 чел-ч. Прибыль от продажи каждого типа гарнитуров A, B, C составляет, соответственно, 900, 1100 и 1500 долл. Определите производственную программу для получения максимальной прибыли.
13. Фирма производит на фабрике четыре сорта изделий. Производство лимитируется временем использования станков и количеством комплектующих изделий. Известно также, что суммарное время использования станков — 90 ч в день, а комплектующих изделий может бы поставлено не более 80 в день.
Производственные характеристики |
Изделие |
|||
|
1 |
2 |
3 |
4 |
Время использования станка, ч |
1 |
3 |
8 |
4 |
Количество комплектующих изделий |
2 |
2 |
1 |
3 |
Себестоимость изделия, ден. ед. |
20 |
25 |
40 |
85 |
Доход от продажи, ден. ед. |
30 |
45 |
80 |
45 |
Определите производственную программу для получения максимальной прибыли.
А. Фирма может увеличить время работы станков до 100 ч, при этом себестоимость каждого изделия всех четырёх видов увеличится на 10 ден. ед. Какова будет прибыль фирмы в этом случае? Изменится ли производственная программа?
Б. Беспорядки на заводе одного из потребителей приводят к тому, что дневной выпуск изделия 4 сокращён до 15 единиц. Как это повлияет на производственный план и размер прибыли фирмы?
