- •Гидравлика
- •Введение
- •Основные физические свойства жидкостей
- •2. Гидростатика
- •2.1. Силы, действующие в жидкости
- •2.2. Дифференциальные уравнения равновесия жидкости
- •2.3. Интегрирование дифференциального уравнения равновесия
- •2.4. Давление жидкости на дно и стенки сосуда
- •3. Кинематика жидкости
- •3.1. Основные понятия и определения кинематики жидкости
- •4. Гидродинамика
- •4.1. Дифференциальные уравнения движения идеальной жидкости
- •4.2. Уравнение Бернулли для потока жидкости
- •4.4. Гидравлические устройства, основанные на применении
- •4.5. Кавитация
- •4.6. Гидравлический удар
- •4.8. Общие сведения о гидравлических потерях
- •4.9. Подобие гидромеханических процессов
- •4.10. Режимы течения
- •4.11. Ламинарный режим течения
- •4.12. Турбулентный режим движения
- •5. Прикладные задачи гидродинамики
- •5.1. Путевые потери при турбулентном режиме
- •5.2. Местные потери
- •5.3. Гидравлический расчет трубопроводов
- •5.3.1. Расчет простого трубопровода постоянного сечения
- •5.3.2. Расчет простого трубопровода переменного сечения
- •5.3.3. Расчет параллельного соединения трубопроводов
- •5.3.4. Расчет разветвления трубопроводов
- •5.4. Расчет истечения через отверстия и насадки
- •5.4.1. Истечение жидкости через отверстие в тонкой стенке
- •5.4.2. Истечение жидкости через насадки
4.10. Режимы течения
Движение жидкости может происходить, как впервые отметил Г.Хаген (1869 г.), в двух качественно различных режимах – ламинарном и турбулентном. Детальные экспериментальные исследования режимов выполнил О.Рейнольдс (1883 г.). Вводя струйку краски в поток, протекающий по трубе, он визуально определял форму линий тока; при этом измерялись расход и путевые потери на мерном участке трубы (рис. 4.16).
При малых скоростях линии тока параллельны оси трубы; движение происходит параллельными слоями (рис. 4.16, а). Такой режим движения называется ламинарным. При увеличении скорости линии тока вначале начинают искривляться, а затем происходит переход к беспорядочному, хаотическому движению с пересечением линий тока и перемешиванием
(рис. 4.16, b). Такой режим называется турбулентным. Смена режимов приводит к увеличению темпа роста путевых потерь при увеличении расхода.
Исследования
показали, что наличие того или иного
режима связано с численным значением
критерия
(здесь за характерную длину L
принят диаметр трубы d):
при
(нижнее критическое число Re)
режим ламинарный, при Re > 2300 начинается
переход к турбулентному режиму; после
достижения некоторого значения Re
(верхнее
критическое число Re)
режим
полностью турбулентный. Более поздние
исследования показали, что как нижнее,
так и верхнее критические значения Re
зависят от
многих причин и могут колебаться (нижнее
– от 1000 до 2300, верхнее – от 3500 до
40 000). Для переходного режима надежных расчетных формул для определения гидравлических потерь не существует; поэтому на практике принято считать при Re ≤ 2300 режим ламинарным, при Re > 2300 – турбулентным.
4.11. Ламинарный режим течения
Рассмотрим установившееся равномерное движение жидкости в трубе круглого сечения вдоль оси х (рис. 4.17). За поперечную координату примем радиус r; это позволит рассматривать движение как двумерное.
В жидкости выделим цилиндрический объем радиусом r и длиной L. Так как
движение равномерное, объем находится в равновесии под действием сил давления на торцах (сечения 1−1 и 2−2), а также силы трения, вызванной действием касательных напряжений τ на боковой поверхности цилиндра.
Условие равновесия запишется в виде:
.
(4.55)
Рис. 4.17. Движение жидкости в трубе при ламинарном режиме
Обозначив , из (4.55) получим:
.
(4.56)
Эта формула определяет линейный закон распределения касательных напряжений по радиусу трубы, показанный на рисунке слева.
Найдем закон изменения скорости от радиуса трубы. Запишем формулу гипотезы Ньютона:
.
(4.57)
Знак (−) поставлен потому, что с увеличением радиуса скорость падает (du<0).
Приравняем (4.56) и (4.57).
;
;
.
Константу С
найдем из граничного условия − при r
= r0
u
= 0;
.
Отсюда
.
(4.58)
Получили параболоид вращения (рис. 4.17, справа).
Максимальная скорость (на оси трубы) равна:
.
(4.59)
Найдем расход через кольцевое сечение радиусом r и толщиной dr:
.
Интегрируя, найдем общий расход через сечение ω:
.
(4.60)
Найдем среднюю скорость в сечении V :
.
(4.61)
Сопоставляя (4.59)
и (4.61), получим, что
.
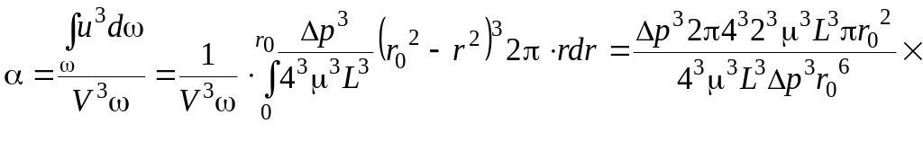
Найдем теперь коэффициент Кориолиса α в соответствии с (4.15):
.
(4.62)
Выведем теперь формулу для λ в формуле Дарси.
Из формулы для V (4.61) получим:
.
(4.63)
Чтобы разность давлений перевести в гидравлические потери в единицах напора (м), нужно Δр разделить на ρg :
.
(4.64)
В полученной формуле числитель и знаменатель умножим на 2V и приравняем
это выражение путевым потерям, вычисляемым по формуле Дарси:
.
Учтя, что
,
получим:
.
Отсюда следует:
.
(4.65)
Полученная формула называется формулой Хагена−Пуазейля.
Как следует из формулы (4.65), λ и путевые потери не зависят
от шероховатости трубы. Это объясняется тем, что при ламинарном режиме велико влияние сил вязкости. Тонкий неподвижный слой жидкости прилипает к стенке и покрывает ее неровности. Поэтому вышележащие слои, двигаясь, скользят по этому неподвижному слою, как по жидкой смазке.
Проверим, является ли ламинарное течение потенциальным, по условиям (3.23):
;
;
.
В рассматриваемом
случае
,
,
.
Кроме того, выразим радиус через поперечные координаты:
;
.
.
Следовательно, ламинарное течение является вихревым.
Ламинарное течение в трубе устанавливается постепенно (рис. 4.18).
Рис. 4.18. Начальный участок ламинарного течения в трубе
Длина трубы, на которой происходит формирование расчетной эпюры скоростей, называется начальным участком. Эта длина может быть определена по формуле Буссинеска:
.
(4.66)
