- •Семинар 1. Тема: «Измерение результатов экономической деятельности»
- •Семинар 3. «Равновесие на товарном рынке»
- •Y 200 2 /3(y -300) 300 300, отсюда y 1800.
- •Δ запасов y -e 1500 -1600 -100.
- •Семинар 4. «Бюджетно-налоговая политика»
- •Последствия изменения налоговой ставки
- •Последствия сокращения автономных налогов
- •Тема 5. Денежный рынок и денежно – кредитная политика
- •Тема 6: «Макроэкономическое равновесие на товарном и денежном рынках. Модель is—lm»
- •Тема 7: «Экономический рост»
- •Деловые циклы
Семинар 1. Тема: «Измерение результатов экономической деятельности»
Задание 9.
1) Какие индексы представлены в табл. - базисные или цепные?
табл.
1
2) Во сколько раз и на сколько процентов выросли цены за 2006 г.? За 1993 г.? Что происходило с ценами в России в 1993—2006 гг.?
3) Наблюдались ли в какие-нибудь периоды:
- дефляция (снижение уровня цен);
- дезинфляция (снижение темпа роста цен);
- ускорение инфляции?
4) Какие действия можно совершать с данными из табл. 1? В частности, как посчитать, как изменились цены за период с начала 2000 г. до конца 2006 г.?
Ответ.
1) В табл. приведены цепные индексы, так как сравнение ведется для каждого последующего года с декабрем предыдущего. (Базисными индексы были бы, если бы сравнение для каждого года велось бы с декабрем одного и того же года (например, 1992)).
2) В 2006 г. цены выросли на 9% (темп прироста) — именно эту цифру обычно имеют в виду, когда говорят про темп инфляции — или в 1,09 раза (темп роста).
1993 г. Число «940» означает, что цены за это год выросли в 9,4 раза (темп роста) или на 940% (темп прироста).
3) Цены в России весь рассматриваемый период росли (так как все индексы больше 100%) - так что дефляции в рассматриваемый период не было.
Однако в периоды 1993—1997 и 1998—2006 гг. наблюдалась дезинфляция - цены с каждым годом росли все медленнее.
Ускорение инфляции произошло только в 1998 г. — после августовского кризиса.
4) С индексами, представленными в табл. 1, никаких действий без предварительного преобразования совершать нельзя. Запишем их как темпы роста и прироста в табл. 2.
Темпы роста можно перемножать и делить, темпы прироста - складывать и вычитать (при приближенных вычислениях). Однако в данном случае изменения достаточно велики и сложение темпов прироста приведет к большой погрешности расчетов (которая к тому же будет накапливаться из года в год).
Сравните:
перемножение темпов роста с 2000 по 2006 г. даст
(т.е. рост цен за 7 лет в 2,48 раза, или на 148%.)
сложение темпов прироста даст
Первый результат (148%) — точный, второй (97,5%) — слишком приблизительный.
Задание 11. Можно ли перейти от базисных индексов к цепным или наоборот? Продемонстрируйте, как это сделать на следующем примере (табл.).
Ответ. Можно проверить, что в данном случае если представить все индексы как темпы роста (для чего их нужно поделить на 100), то:
- любой цепной индекс (крайний правый столбец табл.) получается как отношение базисных (средний столбец табл. 4), например, для марта
100,82 104,98/104,13;
- любой базисный индекс получается как произведение цепных (в конце года небольшое несовпадение возникает из-за того, что в табл. приведены округленные данные), например, для марта
104,98 102,43 x101,66 x100,82.
В данном случае ежемесячные изменения цен невелики, поэтому можно также складывать и вычитать темпы прироста.
Например: ·
- получить прирост цен за март как разность 0,82% ≈4,98% -4,13%; ·
- получить прирост цен за три месяца (январь, февраль и март) как сумму
4,98% ≈2,43% 1,66% 0,82%.
Задание 12. Прочитайте отрывок из статьи1:
Размер стипендии постоянно увеличивается. Так, если в 2000 году стипендия для студентов ссузов составляла 200 руб., то в этом году [2006] она составит 800 руб., если для студентов вузов в 2000 г. стипендия была 400 руб., то сейчас студенты будут получать ежемесячно 1600 руб., аспиранты в 2000 г. получали 800 руб., сейчас — 2400 руб.
1) Корректно ли прямое сопоставление размеров стипендий в 2000 г. и в 2006 г.?
2) Размер стипендии является номинальным или реальным показателем?
3) Как посчитать, сколько из названного роста стипендий «съела» инфляция? Насколько (во сколько раз) выросла стипендия в реальном выражении?
Используйте данные таблиц, приведенных для вопросов 9 и 11.
в9
в11
Ответ.
1) Сравнивать стипендии некорректно, так как они измеряются в рублях, а значит, необходимо принять в расчет инфляцию.
2) Стипендии могут считаться номинальными показателями.
3) Оценим их реальное изменение. Статья написана в марте 2006 г. Только за период с 2000 по 2005 г. цены выросли в
1,202 х1,186 х1,151 х1,12 х1,117 х1,109 2,28 раз (т9).
За три месяца 2006 г. цены выросли еще
в 1,0498 раз (т11).
Так что с начала 2000 г. до марта 2006 г. рост цен составил
2,28 х1,0498 2,39 раз.
Стипендии, как очевидно из статьи, выросли в 4 раза. Но большую часть роста «съела» инфляция и в реальном выражении стипендии выросли
в 4/2,39 1,67 раза, или на 67%.
Задание 14. Решите задачи.
а) В 1993 году процентная ставка в Сбербанке России по целевому вкладу на детей в рублях составляла 190% годовых. За 1993 г. прирост цен составил приблизительно 840%. Рассчитайте реальную процентную ставку по вкладу за 1993 г.
б) В конце 2007 г. при помещении рублевых средств на пенсионный депозит Сбербанк России обещал выплачивать по ним 9% годовых. По первоначальным прогнозам Минэкономразвития России, инфляция в Российской Федерации в 2008 г. должна была составить 7%. Рассчитайте реальную процентную ставку за 2008 г. на основе этого прогноза и с использованием фактического темпа инфляции в 2008 г. (13,3%).
Задание 16. Выберите из каждой пары предложенных правильные слова:
Предположим, за год номинальный курс рубля изменился с 26 руб. за доллар до 30 руб. за доллар. Это означает, что рубль __________________(подорожал/подешевел) относительно доллара.
Далее, предположим, что за этот же год инфляция в России составила 12%, а инфляция в США - 3%. Все эти события в комплексе так изменят реальный курс рубля, что конкурентоспособность российской продукции _________________________ (улучшится/ухудшится).
Ответ. Подешевел; улучшится.
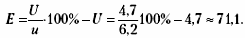
Задание 18. По приведенным данным Росстата для 2007 г. рассчитайте численность экономически активного населения и количество занятых (т5).
Решение
Уровень
безработицы рассчитывается по формуле:
Подставив из табл. 5 значения уровня безработицы (u) и численности безработных (U), находим численность занятых:
Экономически активное население U E 71,1 4,7 75,8 млн человек
Ответ. Е 71,1 млн человек; E U 75,8 млн человек.
Семинар 2. «Общее макроэкономическое равновесие: модель совокупного спроса и совокупного предложения»
Задание 4. Первоначально экономика, импортирующая нефть газ, находилась в состоянии долгосрочного равновесия. Потенциальный объем выпуска составлял 2800, краткосрочная кривая AS была горизонтальна на уровне P 1,0, кривая AD была задана уравнением Y=3,5M/P, где M 800. В результате резкого роста цен на нефть и газ на мировых рынках цены выросли до уровня 1,4, а потенциальный объем выпуска снизился до 2500.
а) Какими будут новые равновесные значения объема выпуска и уровня цен в краткосрочном и долгосрочном периодах, если правительство и центральный банк не будут предпринимать
каких-либо действий?
б) Если центральный банк проведет стабилизационную политику, то какое дополнительное количество денег он должен выпустить в обращение, чтобы краткосрочное равновесие в экономике установилось на уровне выпуска Y 2800?
в) Если возросшее количество денег в экономике будет поддерживаться и далее, то каковы будут координаты точки нового долгосрочного равновесия?
Решение
а) Первоначально экономика находилась в состоянии долгосрочного равновесии в точке А на пересечении краткосрочной (SRAS1) и долгосрочной (LRAS1) кривых совокупного предложения и кривой совокупного спроса (AD1). Рост цен на нефть и газ — ценовой шок предложения — отразится на графике (рис.) сдвигом краткосрочной кривой SRAS1, расположенной на уровне цен Р 1,0, до положения SRAS2 на уровне Р 1,4.
Потенциальный объем выпуска, первоначально составлявший Y1* 2800, после шока стал равен Y2* 2500. При уровне цен, равном 1,4, величина совокупного спроса составит: Y3,5(800/1,4) 2000.
Это означает, что краткосрочное равновесие (точка В) установится на уровне выпуска Y3 2000, что ниже его нового потенциального значения (Y2* 2500), и в долгосрочном периоде цены будут иметь тенденцию к понижению, если не будут приняты меры стабилизационной политики. В этом случае новое долгосрочное равновесие установится в точке D на уровне выпуска Y2* 2500, на пересечении LRAS2 и AD1. При этом уровень цен можно определить, подставив в уравнение совокупного спроса новое значение потенциального выпуска: 25003,5(800/P). Отсюда Р 1,12.
б) Если центральный банк увеличит предложение денег, совокупный спрос увеличится, что отразится сдвигом кривой AD1 до положения AD2 и экономика вернется к исходному уровню выпуска (точка С), но при новом уровне цен. Уравнение новой кривой совокупного спроса AD2 будет отличаться от исходного новым значение денежной массы М. Приравнивая величину нового совокупного спроса исходному значению выпуска (2800), можно определить новое значение величины денежной массы: 28003,5(М/1,4), отсюда М 1120. Таким образом, чтобы вернуть экономику к прежнему объему выпуска, центральный банк должен увеличить предложение денег на ΔМ 1120 -800 320.
в) Если после проведения мер стабилизационной политики предложение денег в экономике останется на новом уровне (1120), т.е. совокупный спрос будет представлен новой кривой AD2, то в долгосрочном периоде новое равновесие установится в точке Е на пересечении AD2 и LRAS2 при новом уровне потенциального выпуска. Новый уровень цен в экономике находим, приравнивая спрос и предложение в точке Е: 25003,5(1120/Р), отсюда Р 1,568.
Ответ. а)Y 2000, Р 1,4; Y* 2500, Р 1,12; б) ΔМ 320; в) Y*2500, Р 1,568.
Задание 5. Долгосрочная кривая AS представлена как Y 2000, краткосрочная кривая AS — горизонтальна на уровне P 1,0. Кривая AD задана уравнением Y=2,0M/P. Предложение денег (М) равно 1000. В результате ценового шока уровень цен поднялся до значения P 1,25.
а) Каковы координаты точки краткосрочного равновесия в экономике, установившегося после шока?
б) На сколько должен увеличить предложение денег центральный банк, чтобы восстановить исходный уровень выпуска в экономике?
Решение
а) Величину выпуска в условиях краткосрочного равновесия, установившегося после ценового шока (точка В), находим, подставляя новое значение уровня цен в уравнение кривой AD1: Y2,0(1000/1,25) 1600. Таким образом, координаты точки краткосрочного равновесия: Y1600, Р 1,25.
б) Для восстановления исходного уровня выпуска центральный банк проводит стабилизационную политику — увеличивает предложение денег. Графически это отражается сдвигом кривой совокупного спроса до положения AD2 (рис.). Новое равновесие устанавливается в точке С на пересечении AD2 и долгосрочной кривой совокупного предложения при новом уровне цен (1,25), которому соответствует краткосрочная кривая совокупного предложения SRAS2. Уравнение кривой AD2 отличается от исходного значением М — предложения денег. Новую величину предложения денег находим из равенства спроса и предложения в точке С : 20002,0(М /1,25), отсюда М 1250. Таким образом, центральный банк должен увеличить предложение денег на 250: ΔМ 1250 − 1000.
Ответ. а) Y 1600, Р 1,25; б) ΔМ 250.
Выберите единственный правильный ответ
1. Какое из перечисленных событий не повлияет на положение долгосрочной кривой совокупного предложения:
а) военные действия на территории страны, в результате которых была уничтожена значительная часть производственного потенциала экономики;
б) рост цен на нефть и нефтепродукты;
в) появление новых технологий, позволивших повысить производительность труда;
г) успешная политика правительства в области занятости, способствовавшая снижению естественного уровня безработицы в экономике и росту численности занятых.
2. При прочих равных можно ожидать увеличения совокупного спроса в ответ:
а) на рост ставки процента;
б) рост подоходных налогов;
в) рост оптимистичных ожиданий бизнеса в отношении прибылей корпораций;
г) рост ожиданий спада в экономике.
3. Если в экономике, функционирующей в условиях полной занятости, правительство наращивает государственные расходы, то в долгом периоде (с. р.) можно ожидать, что:
а) уровень цен и реальный объем выпуска увеличатся;
б) уровень цен возрастет, а реальный объем выпуска не изменится;
в) уровень цен не изменится, а реальный объем выпуска возрастет;
г) уровень цен и реальный объем выпуска не изменятся.
4. Отрицательный наклон кривой AD нельзя объяснить:
а) эффектом богатства;
б) эффектом замещения (или процентной ставки);
в) эффектом импортных закупок;
г) ростом предложения денег.
5. Сдвиг вправо/вверх кривой AD, (с. р.), нельзя объяснить:
а) ростом инфляционных ожиданий;
б) ростом экспорта;
в) ростом уровня цен в экономике;
г) ростом государственных трансфертов.
6. Если в растущей экономике увеличение совокупного спроса окажется больше, чем рост потенциального ВВП, это приведет:
а) к снижению выпуска;
б) росту цен в экономике;
в) росту выпуска и снижению цен;
г) росту цен при неизменном выпуске.
7. Рост цен на нефть, сопровождавшийся ростом издержек производства:
а) может привести к стагфляции и графически может быть представлен сдвигом влево/вверх наклонной кривой SRAS;
б) может привести к дефляции и графически может быть представлен сдвигом влево/вверх наклонной кривой SRAS;
в) может привести к инфляции и графически может быть представлен сдвигом вправо/вниз наклонной кривой SRAS;
г) может привести к дезинфляции и графически может быть представлен сдвигом влево/вниз кривой AD.
8. Какое из перечисленных ниже событий (с. р.) вызовет сдвиг влево кривой AD :
а) рост экспорта;
б) снижение подоходного налога;
в) рост уровня цен;
г) снижение государственных расходов?
9. Какое из перечисленных ниже событий (с. р.) вызовет сдвиг вправо кривой AD :
а) рост импорта;
б) предоставление льготных кредитов инвесторам в ряде отраслей;
в) снижение предложения денег в экономике;
г) сокращение государственных трансфертов?
10. К факторам, объясняющим относительную жесткость цен в коротком периоде, нельзя отнести:
а) «издержки меню»;
б) продолжительность трудовых контрактов;
в) рост пенсий и пособий;
г) ступенчатый характер изменения цен и заработной платы.
11. Что из перечисленного не относится к шокам предложения:
а) резкое изменение цен на ресурсы;
б) стихийное бедствие, следствием которого стала утрата значительной части ресурсов экономики;
в) увеличение затрат на охрану окружающей среды, связанное с изменением законодательства;
г) увеличение скорости обращения денег в связи с внедрением новых технологий банковских расчетов?
