Министерство образования и науки Российской Федерации
Федеральное государственное бюджетное образовательное учреждение
высшего профессионального образования
«Кубанский государственный технологический университет»
(ФГБОУ ВПО «КубГТУ»)
Институт нефти, газа и энергетики
Реферат
По дисциплине «Математическое моделирование в задачах нефтегазовой отрасли. Методы математической физики»
на тему: «Уравнение теплопроводности в задаче о неравномерном и нестационарном нагреве стержня»
«Классификация дифференциальных уравнений в частных производных второго порядка»
«МКЭ для уравнения Пуассона»
Выполнил
Студент 1-го курса МИППС
Новак Михаил Юрьевич
Направление: 21.04.01
Группа НД6
Шифр зачетки № 16-ЗНМ-264
Проверил:_________________
Краснодар 2017
Содержание............................................................................................................. 2
Введение……………...............................................................................................3
1. Классификация дифференциальных уравнений в частных производных второго порядка.......................................................................................................4
1.1 Примеры приведения уравнений второго порядка к каноническому
виду...........................................................................................................................5
1.1.1 Пример 1 Случай линейной замены переменных в уравнении гиперболического типа.........................................................................................................5
1.1.2 Пример 2 Случай линейной замены переменных в уравнении эллиптического типа.............................................................................................................6
2. Уравнение теплопроводности в задаче о неравномерном и нестационарном нагреве стержня.......................................................................................................9
2.1 Уравнение теплопроводности в стержне........................................................9
3. МКЭ для уравнения Пуассона..........................................................................13
3.1 Решение Уравнения Пуассона........................................................................14
Выводы...................................................................................................................18
Список литературы................................................................................................19
Введение
В данной работе будут рассмотрены следующие вопросы:
1) «Классификация дифференциальных уравнений в частных производных второго порядка»
2) «Уравнение теплопроводности в задаче о неравномерном и нестационарном нагреве стержня»
3) «МКЭ для уравнения Пуассона»
По всем трем рассматриваемым вопросам будут изложены примеры применения.
1. Классификация дифференциальных уравнений в частных производных второго порядка. В математической физике при рассмотрении задач, связанных с решением уравнений в частных производных второго порядка, всегда концентрируются на анализе некоторых основных уравнений: Пуассона, теплопроводности, волнового уравнения. Связано это с возможностью приведения уравнений второго порядка к т.н. каноническому виду, а именно к тем самым перечисленным только что уравнениям. Рассмотрим уравнение второго порядка общего вида (уравнение №1):
у
равнение№1:
где
.
При этом будем считать без ограничения
общности, что матрица коэффициентов
симметрическая, т.е.
(это
фактически требование независимости
смешанных производных от порядка
дифференцирования). Далее будем называть
эту матрицу матрицей старшихкоэффициентов.
С
трого
говоря, одно и то же уравнение в различных
точках может относиться к разным типам
классификации. Пример будет приведён
позже.
В связи с этим замечанием будем
говорить о матрице старших коэффициентов
в определённой точке. Считаем, что
матрица старших коэффициентов
представляетсобой матрицу некоторой
квадратичной формы. Эту форму можно
привести к нормальному виду, т.е.
диагональному виду с коэффициентами,
равными по модулюнулю или единице.
Напомним, что число положительных
коэффициентов называется положительным
индексом инерции квадратичной формы,
число отрицательных коэффициентов
– отрицательным индексом формы, а число
нулевых коэффициентов – дефектом формы.
Уравнения можно классифицировать при
помощи этих трёх
чисел, которые и будем указывать в
порядке их перечисления: .Сумма
этих трёх чисел равна количеству
независимых переменных.
При этом ясно, что умножение всего
уравнения на минус единицу приведёт к
тому, что все элементы матрицы старших
коэффициентов поменяют знак.
Следовательно, положительный
и отрицательный индексы соответствующей
формы поменяются ролями
. Таким образом, уравнения и принадлежат к
одному типу классификации.
Перечислим основные классы
уравнений:
-
гиперболическое
-
параболическое
-
эллиптическое
-
ультрагиперболическое
-
эллиптико-параболическое
Последние два типа уравнений в
стандартных курсах не обсуждаются.
Словесно
эту классификацию можно сформулировать
следующим образом. Уравнение
гиперболическое, если дефект соответствующей
квадратичной формы равен
нулю, а один из индексов равен единице.
Уравнение параболическое, если его
форма имеет равный единице дефект и все
коэффициенты одного знака.
Уравнение эллиптическое, если
дефект его формы равен нулю и все
коэффициенты имеют одинаковый знак.
1.1
Примеры приведения уравнений второго
порядка к каноническому виду
1.1.1
Пример 1. Случай
линейной замены переменных в уравнении
гиперболического типа:
Составляем
характеристическое уравнение:
.
Исходное
уравнение, таким образом, относится к
гиперболическому типу. Находим общие
интегралы найденных уравнений:
.
Вводим
замену
.
Преобразуем производные. В данном случае
можно считать, что функция
зависит
от переменных
,
которые
в свою очередь зависят от старых
переменных
:
.
После
подстановки этих производных в исходное
уравнение получим
.
Пример
2. Случай
линейной замены переменных в уравнении
эллиптического типа.
Составляем
характеристическое уравнение:
.
Исходное
уравнение, таким образом, относится к
эллиптическому типу. Находим общий
интеграл любого из найденных
уравнений:
.
Вводим
замену
.
Преобразуем производные совершенно
аналогично тому, как это делалось в
примере 1.
После
подстановки этих производных в исходное
уравнение получим
.
Большая часть всех уравнений в частных производных 2го порядка, линейных относительно вторых производных являются представителями 3х различных классов уравнений, которые существенно отличаются друг от друга по методам исследования и по физической природе (описывают различные физические явления).
Остановимся более подробно на случае 2х независимых переменных: u = u(x,y).
a,b,c - функции, определенные в некоторой области Ω = Oxy и имеющие непрерывные производные до 2го порядка.
f - непрерывная функция своих аргументов; если f - линейная относительно u, ux , uy, то уравнение (1) - линейное.Поставим перед собой задачу: с помощью замены независимых переменных (x, y) привести уравнение (1) к наиболее простому виду.
Введем
новые переменные:
,
и потребуем, чтобы они были
дважды непрерывно-дифференцируемы и
чтобы якобиан перехода:
в
области Ω.
Преобразуем производные к новым переменным:
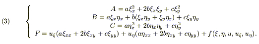
Тогда уравнение (1) в новых переменных примет вид:
где
Попытаемся выбрать ξ(x, y) и η(x, y) так, чтобы обратить в нуль некоторые из коэффициентов A,B,C.
Вопрос об обращении A и С в нуль эквивалентен вопросу о разрешимости дифференциального уравнения 1го порядка.
относительно
неизвестной функции z(x,
y).
П
оделим
на zy2:
Р
ешим
как квадратное уравнение относительно
:
Решая каждое из них методом характеристик:
-
интегралы системы (*), а, следовательно,
решения уравнения (4).
У
равнения
(5) могут быть записаны в виде одного
уравнения:
Обычно
это уравнение и используют для определения
интегралов системы (5). Поведение
функций φ(x,
y)
и ψ(x,
y),
а, следовательно, и искомый простейший
вид исходного уравнения зависит от
знака
