- •1)Дайте определение следующим терминам: Законодательная метрология, измерение, си, Калибровка си, Государственная система обеспечения единства измерений
- •2)Дайте определение следующим терминам: Государственный метрологический надзор, единство измерений, поверитель, эталон единицы величины, сличение.
- •7)Общая методика выполнения обработки результатов наблюдений. Обработка и представление результатов измерения
- •8)Обработка результатов косвенного измерения.
- •9) Классификация средств измерений
- •10) Принципы нормирования метрологических характеристик си Нормирование метрологических характеристик средств измерении осуществляется двумя способами:
- •13)Периодическая поверка
- •14) Внеочередная поверка
- •15)Экспертная поверка
- •16) Калибровка си
- •17)Методы поверки средств измерений
- •18)Критерий Ирвина (Метод)
- •19)Критерий Романовского
- •Критерий Романовского.
- •20)Критерий вариационного размаха
- •22)Критерий «3 σ»
- •21)Критерий Диксона
- •25)Поверочные схемы
- •26) Методы поверки си. Непосредственное сличение с эталоном. Сличение с помощью компаратора. Метод непосредственного сличения
- •Метод сличения при помощи компаратора (прибора сравнения)
- •27) Методы поверки си. Прямые измерения величины. Косвенные измерения величины. Метод прямых измерений
- •Метод косвенных измерений
- •28)Общие теоретические положения из теории погрешности измерений
- •29)Структура метрологической службы
- •30)Государственное управление обеспечением единства измерений
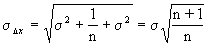
Критерий Романовского.
Если
в ряде измерений х1,х2,...,хk,xn результат
измерения хк является грубым, то
следует найти среднее арифметическое
значение x и среднее квадратическое
значение
для
группы (n-1) ряда измерений.
Затем
обозначим
где
2
x дисперсия
разности
равна
сумме дисперсий случайных величин
xk и
Тогда
,
(1.18) где
-
дисперсия среднего арифметического
ряда измерений.
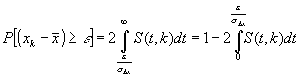
Величина
t будет подчинена распределению Стьюдента
с параметром k=n-1. Это позволяет найти
вероятность случайного распределения
где
S(t,k) - гамма-функция. Для упрощения
практических расчётов можно использовать
значения величин
приведены
в таблице 1.1 для вероятности
случайного
расхождения
Пользуясь
этой таблицей, можно найти такие значения
t'
,
для которых
т.
е. задаваясь вероятностью
,
обеспечивающей практическую необходимость
события, можно определить значение
интервала
,
являющееся критерием грубой погрешности.
20)Критерий вариационного размаха
22)Критерий «3 σ»
Критерий "трех сигм" применяется для результатов измерений, распределенных по нормальному закону. По этому критерию считается, что результат, возникающий с вероятностью q < 0,003, маловероятен и его можно считать промахом, если |х̅-хi| > 3Sx , где Sx — оценка СКО измерений. Величины х и Sx вычисляют без учета экстремальных значений xi. Данный критерий надежен при числе измерений n > 20... 50.
21)Критерий Диксона
Критерий Диксона основан на предположении, что результаты измерений подчиняются нормальному закону распределения. При его использовании полученные результаты единичных измерений записывают в вариационный возрастающий ряд.
Критерий Диксона определяется как
Если КД больше критического значения Zq (см. таблицу 2) при заданном уровне значимости q (q = 1 - P), то результат xj считают промахом.
23)Критерий Шовене используется для оценки на грубую погрешность одного сомнительного значения выборки из нормально распределённой случайной величины . Иногда указывают, что критерий Шовене применим для выборок объёмом n не боьше 10 [1] или 20 [2].
Алгоритм критерия Шовене, описанный в [3], можно интерпретировать так:
1). Находят модуль приведённого сомнительного значения t:
t = |хс - хср|/s (1)
Здесь хс - сомнительное значение (наибольшее или наименьшее в выборке), хср - среднее значение выборки, s - выборочное среднеквадратическое отклонение
2). Определяют значение интегральной функции стандартного нормального распределения F(t).
3). Рассчитывают вероятность Рпрев получения результата, который по модулю превышает модуль хс:
Рпрев = (1 – F(t))•2 (2)
4). Находят ожидаемое число результатов N, отклоняющихся при данном объёме выборки n от среднего значения больше, чем хс :
N = Рпрев•n (3)
Если N < 0,5, сомнительное значение считают грубой ошибкой. В зависимости от решаемой измерительной задачи экспериментатор может, как указано в [3], использовать иное значение N.
В литературе встречаются и другие алгоритмы применения критерия Шовене, например, описанные в [1], [2] , которые дают аналогичные результаты.
Преимущество критерия Шовене состоит в том, что нет надобности в таблице критических значений.
Недостатки критерия Шовене:
1). Для критическоих значений N, в частности, для 0,5, в литературе отсутствуют уровни значимости, что снижает информативность критерия.
2). Возможность использовать значение N по выбору экспериментатора без учёта уровня значимости, несомненно, повышает субъективность критерия.
Задачи исследования.
1). Найти уровни значимости для критерия Шовене при критических значениях N в пределах от 0,2 до 0,8 при шаге варьирования 0,1.
2). Найти критические значения N при общепринятых ("стандартных") уровнях значимости.
Результаты исследования.
Выражение (3) с учётом (2) можно представить в виде
1 – F(t) = N/2n (4)
Выражение (1) для t представляет собой расчётную формулу для критерия Н.В. Смирнова (другое название - критерий Граббса). Следовательно, критерий Шовене сводится к критерию Н.В. Смирнова, но при иных значениях процентных точек. Если подставить в выражение (4) какие-либо значения n и N, можно найти критическое значение t, соответствующее процентной точке критерия Н.В. Смирнова при некотором уровне значимости α, а также выбранному N. Уровень значимости, в принципе, можно найти из таблицы процентных точек критерия Н.В.Смирнова по критическому значению t и объёму выборки n. Однако при округлённых значениях N, равных 0,5 или других, получаются значения t, не соответствующие общепринятым ("стандартным") уровням значимости, и отсутствующие в таблице процентных точек критерия Н.В.Смирнова. Поэтому уровни значимости были рассчитаны методом статистического компьютерного моделированя в MS Excel для максимальных значений выборки. Легко показать, что для минимальных значений выборки уровни значимости будут такими же. Моделировали 106 выборок. Результаты приведены в таблице 1. Прочерки в таблице 1 означают, что уровень значимости меньше 0,000001, т.е. все полученные при моделировании значения N были больше того, по которому определяли уровень значимости.
24 )Критерий Шарлье [1] используется для оценки на грубые погрешности сомнительных значений выборки из нормально распределённой случайной величины . Критерий применяют для выборок, в которых число наблюдений n превышает 20. По критерию Шарлье сомнительное значение хс считают грубой ошибкой, если выполняется неравенство
|хс - xср| > КшS,
где xср - среднее значение выборки, Кш - табличное значение критерия Шарлье, S - выборочное среднеквадратическое отклонение.
К недостаткам критерия Шарлье можно отнести отсутствие в литературе уровней значимости для табличных значений. Кроме того, как показано в [2], табличные значения критерия Шарлье выглядят сомнительно. Это подтверждается ещё и тем, что неравенство, определяющее грубую ошибку, можно преобразовать так:
|хс - xср|/S > Кш
Но это выражение соответствует расчётной формуле для критерия Н.В. Смирнова (иначе говоря, для критерия Граббса). Таким образом, критерий Шарлье сводится к критерию Н.В. Смирнова. Однако, если сравнить табличные значения критерия Н.В. Смирнова (Граббса) и критерия Шарлье, видно, что уровни значимости для табличных значений критерия Шарлье явно выше 0,1.
Уровни значимости α табличных значений критерия Шарлье были рассчитаны методом статистического компьютерного моделирования в MS Excel. Результаты приведены в таблице.
n |
3 |
4 |
5 |
6 |
7 |
8 |
9 |
10 |
11 |
12 |
13 |
14 |
15 |
Кш |
0,97 |
1,15 |
1,3 |
1,38 |
1,47 |
1,53 |
1,59 |
1,65 |
1,69 |
1,73 |
1,77 |
1,8 |
1,83 |
α |
0,548 |
0,467 |
0,411 |
0,421 |
0,403 |
0,408 |
0,404 |
0,392 |
0,396 |
0,395 |
0,391 |
0,394 |
0,394 |
n |
16 |
17 |
18 |
19 |
20 |
30 |
40 |
50 |
60 |
70 |
80 |
90 |
100 |
Кш |
1,86 |
1,89 |
1,91 |
1,94 |
1,96 |
2,13 |
2,24 |
2,32 |
2,40 |
2,45 |
2,50 |
2,54 |
2,58 |
α |
0,391 |
0,388 |
0,392 |
0,385 |
0,387 |
0,382 |
0,385 |
0,390 |
0,379 |
0,385 |
0,383 |
0,385 |
0,381 |
Как видно из таблицы, при любых объёмах выборки вплоть до 100 уровни значимости для табличных значений критерия Шарлье очень велики, что означает высокую вероятность (практически не менее 38%) того, что приемлемое максимальное или минимальное значение выборки будет принято за грубую погрешность. Такие уровни значимости вряд ли приемлемы. Поэтому использование критерия Шарлье следует признать нецелесообразным.
