- •Пз № ____ термодинамические основы работы компрессора (с. 312-316)
- •Пз № ____расход мощности и кпд компрессора (с. 317)
- •Для изотермического процесса
- •Пз № ____ действительный рабочий процесс в одноступенчатом компрессоре (с. 318-321)
- •Пз № ____ многоступенчатое сжатие (с. 321-325)
- •Пз № ____ поршневые вакуум-насосы (с. 329-332)
- •6. Определить газовую постоянную смеси, показатель адиабаты газовой смеси и эквивалентные показатели политропы трёх ступенчатого компрессора, если известен состав сухого газа в % по объёму:
- •Газовая постоянная смеси определяется по формуле
Пз № ____ термодинамические основы работы компрессора (с. 312-316)
1. Определить работу сжатия 1 кг воздуха при изменении давления от р1=0,1 МПа в трёх процессах: изотермическом, политропическом (n=1,25) и адиабатическом. А так же определить конечные температуры, если начальная температура t1=20С.
Определим объём 1 кг воздуха при t1=20С. Известно, что при t1=20С плотность воздуха =1,186 кг/м3, таким образом:
м3
При изотермическом сжатии работа равна:
Конечная температура в этом случае такая же, как и начальная: t1=t2=20C.
При политропическом сжатии
Конечная
температура
;
t2=192C.
При адиабатическом сжатии
Конечная
температура
;
t2=297C.
Пз № ____расход мощности и кпд компрессора (с. 317)
2. Компрессор всасывает 1=1 м3 газа при давлении р1=0,08 МПа и сжимает его до р2=0,16 МПа. Определить расход мощности на компрессор, если из=0,75, мех=0,8 и n=1,3 при изотермическом процессе сжатия и при политропическом процессе.
Для изотермического процесса
Для политропического процесса
Пз № ____ действительный рабочий процесс в одноступенчатом компрессоре (с. 318-321)
3. Компрессор двойного действия для подачи газа на заводе имеет размеры: диаметр цилиндра D=500 мм; ход поршня s=800 мм; диаметр штока d=125 мм; частота вращения n=90 мин – 1; давление всасывания р1=0,08 МПа, давление нагнетания р2=0,16 МПа; вредное пространство Е=0,05. Определить подачу и мощность компрессора при изотермическом процессе сжатия, а также среднюю скорость поршня.
Определяем объёмный КПД, считая процесс изотермическим
степень наполнения
=0 – 0,04=0,95 – 0,04=0,91
площадь поршня
F=D2/4=3.140.52/4=0.196 м2
площадь штока
f=d2/4=3.140.1252/4=0.012 м2
Тогда подача компрессора равна
м3/c
Мощность для изотермического процесса:
Средняя скорость поршня
Cп=sn/30=0,890/30=2,4 м/с.
Эту же задачу можно решить и для политропического процесса сжатия, тогда объёмный КПД необходимо определять по следующей формуле
где n показатель политропы равный 1,25 – 1,3.
А так же и для компрессора одинарного действия, в этом случае подача компрессора, отнесённая к условиям всасывания, определяется по следующей формуле
Пз № ____ многоступенчатое сжатие (с. 321-325)
4. Для производственных процессов завода производительностью 0,05 м3/с необходим сжатый воздух давлением 18 МПа. Определить: а) число ступеней компрессора и установить распределение давлений в каждой ступени; б) расход мощности; в) конечную температуру; г) расход воды в холодильниках при нагреве ее на 10С учитывая, что начальное давление р1=0,1 МПа, начальная температура t1=20С, г=1,2 кг/м3.
а) Число ступеней выбираем таким образом, чтобы степень сжатия в каждой не превышало 4 (=4).
Степень сжатия определяется по следующей формуле
Если число ступеней принять равным 3, то при одинаковой степени сжатия во всех ступенях получаем степень сжатия равной
что
в нашем случае неприемлемо.
Принимаем число ступеней равным 4. Тогда имеем
Следовательно, распределение давлений в ступенях должно быть таким:
на всасывании на нагнетании
Первая ступень р1=0,1 МПа р2=0,366 МПа
Вторая ступень р2=0,366 МПа р3=1,34 МПа
Третья ступень р3=1,34 МПа р4=4,9 МПа
Четвёртая ступень р4=4,9 МПа р5=18,0 МПа
(так например р2/0,1=3,66 отсюда р2=0,13,66=0,366, далее р3/0,366=3,66 отсюда р3=0,3663,66=1,34 и т. д.).
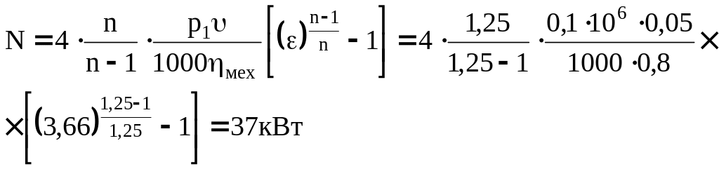
б) Расход мощности
в) Конечная температура
;
t2=106C.
г) Расход воды
Охлаждающая вода должна отнимать количество теплоты эквивалентной работе сжатия:
Вт.
При нагреве воды на 10С расход ее составит:
.
с=4,19103 Дж/(кгК).
