- •Содержание
- •Задача № 224. Вычислить частные производные первого и второго порядка от заданных функций
- •Решение:
- •Задача № 244. Найти экстремум заданной функции
- •Решение:
- •Решение:
- •Задача № 284. Криволинейный интеграл
- •Решение:
- •Задача № 304. Найти общее решение дифференциального уравнение первого порядка
- •Решение:
- •Задача № 324. Найти частное решение дифференциального уравнение второго порядка с начальными условиями
- •Решение:
- •Решение:
- •Контрольная работа № 4 Задача № 364. Исследовать ряд на сходимость (а, б) и найти интервал сходимости (в)
- •Решение:
- •Решение:
- •Решение:
- •Задача № 384. Вычислить определенный интеграл с точностью до 0,001 путем предварительного разложения подынтегральной функции в ряд и почленного интегрирования этого ряда
- •Решение:
- •Задача № 404. При указанных начальных условиях найти три первых, отличных от нуля, члена разложения в степенной ряд функции являющейся решением заданного дифференциального уравнения
- •Решение:
- •Решение:
- •Решение:
- •Задача № 464
- •3) Среднее квадратическое отклонение
- •Решение:
- •Решение:
- •Задача № 504
- •Решение:
- •Контрольная работа_прикладнаая математика
- •Решение:
- •Задача № 44
Содержание
Задача № 224. Вычислить частные производные первого и второго порядка от заданных функций 2
Задача № 244. Найти экстремум заданной функции 3
Задача № 264. Требуется: 1) Построить в плоскости ХОУ область интегрирования заданного интеграла; 2) изменить порядок интегрирования и вычислить площадь области при заданном и измененном порядке интегрирования. 5
Задача № 284. Криволинейный интеграл 6
Задача № 304. Найти общее решение дифференциального уравнение первого порядка 9
Задача № 324. Найти частное решение дифференциального уравнение второго порядка с начальными условиями 11
Задача № 364. Исследовать ряд на сходимость (а, б) и найти интервал сходимости (в) 15
Задача № 384. Вычислить определенный интеграл с точностью до 0,001 путем предварительного разложения подынтегральной функции в ряд и почленного интегрирования этого ряда 18
Задача № 404. При указанных начальных условиях найти три первых, отличных от нуля, члена разложения в степенной ряд функции являющейся решением заданного дифференциального уравнения 20
Задача № 464 23
Задача № 504 26
КОНТРОЛЬНАЯ РАБОТА_ПРИКЛАДНААЯ МАТЕМАТИКА 27
Задача № 224. Вычислить частные производные первого и второго порядка от заданных функций
(*)
Решение:
Задача № 244. Найти экстремум заданной функции
(*)
Решение:
С помощью необходимого существования экстремума, т.е. из системы
найдем
координаты стационарных (критических)
точек:
Получили систему двух уравнений, которую решаем методом Гаусса с помощью MS Excel:
A1*X1 |
A2*X2 |
A3*X3 |
A4*X4 |
B1 |
|
|
|
A1 |
A2 |
A3 |
A4 |
B1 |
|
|
|
|
|
|
|
|
|
|
|
4 |
1 |
0 |
0 |
7 |
|
|
|
1 |
-2 |
0 |
0 |
-5 |
|
|
|
|
|
|
|
|
|
|
|
1 |
0,25 |
0 |
0 |
1,75 |
|
|
|
0 |
-2,25 |
0 |
0 |
-6,75 |
|
|
|
|
|
|
|
|
|
|
|
1 |
0,25 |
0 |
0 |
1,75 |
|
|
|
0 |
1 |
0 |
0 |
3 |
|
|
|
|
|
|
|
|
|
|
|
1 |
0,25 |
0 |
0 |
1,75 |
|
X1= |
1,00 |
0 |
1 |
0 |
0 |
3 |
|
X2= |
3,00 |
2. Проверим выполнение достаточного условия существования экстремума в стационарной точке M0(0;0). Для этого составим
Решим вопрос о характере экстремума.
если
то
точка M0
(x,y)
будет точкой максимума, если A
(M0)
< 0 (или C
(M0)
< 0), и точкой
минимума, если A
(M0)
> 0
(или C
(M0)
> 0);если
то
в точке М0
экстремума нет (достаточные
условия наличия или отсутствия
экстремума);если
то
требуется дальнейшее исследование
(сомнительный случай).
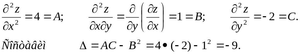
В данном случае получили:
В точке М0 экстремума нет
Задача № 264. Требуется: 1) Построить в плоскости ХОУ область интегрирования заданного интеграла; 2) изменить порядок интегрирования и вычислить площадь области при заданном и измененном порядке интегрирования.
(*)
