Зміст:
Вступ_________________________________________________________
Задача1_______________________________________________________
Підприємство має $160,000 і передбачає вкласти їх у власне виробництво, одержуючи протягом чотирьох подальших років щорічно $50,000. В той же час підприємство може купити на цю суму акції однієї солідної корпорації, що приносять 12 відсотків річних. Який варіант Вам уявляється більш прийнятним, якщо вважати що більш вигідної можливості вкладення грошей (ніж під 12 відсотків річних) підприємство не має в своєму розпорядженні?
Задача2______________________________________________________________
Пенсійний фонд «СВТ» приймає внески під 10% річних з щомісячним нарахуванням відсотків. Яка сума буде накопичена до виходу на пенсію, якщо із зарплати в кінці місяця перераховувати до фонду:
а) 100 грн. - протягом 10 років;
б) 300 грн. - протягом 2,5 року;
в) 500 тис. грн. - протягом 5 років.
Задача3_______________________________________________________
Підприємство збирається придбати через п'ять років новий верстат вартістю $12,000. Яку суму грошей необхідно вкласти зараз, щоб через п'ять років мати можливість зробити покупку, якщо процентна ставка прибутковості вкладення складає
а) 12 відсотків?
б) 13 відсотків?
Задача 4_____________________________________________________________
Розрахуйте майбутню вартість $1000 для наступних ситуацій:
а) 5 років, 8% річних, щорічне нарахування відсотків;
б) 5 років, 8% річних, піврічне нарахування відсотків;
в) 5 років, 8% річних, щоквартальне нарахування відсотків.
Задача5______________________________________________________
Розрахуйте середньозважену вартість капіталу, якщо:
1. |
номінальна безризикова ставка % |
6% |
2. |
коефіцієнт бета |
1,8% |
3. |
середньоринкова ставка доходу % |
12% |
4. |
відсоток за кредит % |
8% |
5. |
ставка податку % |
30% |
6. |
частка позикових засобів % |
50% |
Номінальна ставка доходу по державних облігаціях складає 25%. Середньоринкова прибутковість на фондовому ринку - 19% в реальному виразі. Коефіцієнт бета для оцінюваного підприємства рівний 1,4. Темпи інфляції складають 16% в рік. Розрахуйте реальну ставку дисконту для оцінюваного підприємства.
Задача 6_____________________________________________________________
Який буде загальний коефіцієнт капіталізації, якщо відомі наступні дані?
• необхідна частка власного капіталу - 30%;
• ставка відсотка за кредитом - 13%;
• кредит на 25 років при щомісячному нарахуванні;
• коефіцієнт капіталізації для власного капіталу - 5%.
Висновок_____________________________________________________ Список використаної літератури_________________________________
Вступ
Перехід нашої країни, до ринкової економіки зажадав поглибленого розвитку низки нових областей науку й практики. Процес приватизації, виникнення ринку, розвиток системи страхування, перехід комерційних банків до видачі кредитів під заставу майна сформували потреба у нової послузі – оцінці вартості підприємства (бізнесу), визначенні ринкову вартість його капіталу. Капітал підприємства – товар унікальний і складний за складом, його природу значною мірою визначають конкретні чинники. Тому необхідна комплексна оцінка капіталу з урахуванням інтересів усіх відповідних внутрішніх та зовнішніх умов його розвитку. Оцінка вартості підприємств необхідна під час укладання угод з купівлі-продажу підприємств, кредитування під заставу, передачі майна підприємств у оренду або за лізинг, переоцінці основних фондів підприємств, злитті й поглинанні підприємств, оцінці частки власника в статутний капітал та інших випадків. Визначення ринкову вартість підприємства сприяє підготовці до боротьби за виживання на конкурентному ринку, дає реалістичне уявлення про потенційні можливості підприємства.
Процес оцінювання бізнесу підприємств служить основою вироблення їх стратегії. Він виявляє альтернативні підходи яких і визначає, який із них забезпечить бізнесу максимальну ефективність, отже, вищу ринкову ціну.
Метою згаданої роботи є підставою визначення обгрунтованою ринкову вартість підприємства трьома підходами: витратним, дохідним і ринковим, і навіть вміння користуватися різними методами у межах цих підходів.
Досягнення поставленої мети вирішити такі:
Вивчити теоретичний аспект підходів і методів, застосовуваних в оцінці бізнесу.
Проаналізувати технологію визначення ринкову вартість підприємства трьома підходами з прикладу одного підприємства.
Об'єктом оцінки є вартість чинного функціонуючого підприємства з його майновим комплексом, речовими правами, з підібраним і навченим персоналом, з рівнем організації виробництва, праці та управління, з іміджем підприємства у ділових колах його діловій репутації та іншими чинниками.
Предметом оцінки є вартість бізнесу, під якої розуміється сума коштів, яку найімовірніше гіпотетичний покупець заплатить за оцінюваний об'єкт під час проведення угоди купівлі-продажу.
Задача1
Підприємство має $160,000 і передбачає вкласти їх у власне виробництво, одержуючи протягом чотирьох подальших років щорічно $50,000. В той же час підприємство може купити на цю суму акції однієї солідної корпорації, що приносять 12 відсотків річних. Який варіант Вам уявляється більш прийнятним, якщо вважати що більш вигідної можливості вкладення грошей (ніж під 12 відсотків річних) підприємство не має в своєму розпорядженні?
Рішення.
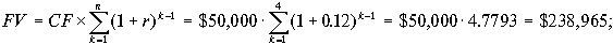
Для відповіді на питання можна скористатися двома способами міркування. Порівняємо майбутнє нарощене значення аннуітету $50,000 при процентній ставці 12 відсотків з майбутнім значенням альтернативного вкладення всієї суми $160,000 при тій же процентній ставці:
майбутнє значення аннуітету -
майбутнє значення $160,000 -
Результати розрахунків говорять про те, що покупка акцій більш вигідна, ніж вкладення цієї ж суми грошей у власне виробництво.
Можливий інший підхід до рішення задачі, що використовує приведення грошових потоків до поточної величини. Цей підхід більш поширений в практиці, оскільки він простіше. В даному випадку ми просто визначаємо поточне значення аннуітету $50,000 при показнику дисконтування 12 відсотків:
Порівнюючи
отримане значення з сумою наявних в
даний час грошових коштів $160,000, приходимо
до такого ж висновку: вкладати гроші в
акції солідної компанії більш вигідно.
Хто-небудь може помітити, що чисельне значення відмінності альтернативних варіантів вкладення в даний час $160,000 - $151,865 = $8,135 істотно менше за чисельну відмінність через чотири роки $251,760 -$238,965 = $12,795. Це закономірно зважаючи на феномен вартості грошей в часі: якщо ми дисконтуємо $12,795 на чотири роки при показнику дисконту 12%, то отримаємо $8,131. Відсутність абсолютного збігу пояснюється тільки погрішністю розрахунків, зв'язаною округленням доларових сум до цілих значень.
Акція — цінний папір без встановленого терміну обігу, що засвідчує пайову участь у статутному фонді акціонерного товариства, підтверджує членство в акціонерному товаристві та право на участь в управ ліпні ним, дає право його власнику на одержання частини прибутку у вигляді дивіденду, а також на участь у розподілі майна при ліквідації акціонерного товариства.
Отже, акція — безстроковий цінний папір, емітентом якого може бути тільки акціонерне товариство. Власник акції є співвласником акціонерного товариства. Він приймає па себе і поділяє з іншими акціонерами всі підприємницькі ризики цього товариства. У разі погіршення фінансового становища товариства акціонер не має права вимагати повернення коштів, вкладених в акції. Віл може лише запропонувати свої акції іншим учасникам ринку (якщо такі акції перебувають в обігу па ринку). Акціонерне товариство може викупати свої акції, однак не несе зобов'язань щодо їх викупу.
Акціонер також не зобов'язаний повертати акції акціонерному товариству крім визначених законодавством випадків.
Акції випускаються іменні та па пред'явника, прості й привілейовані. Власниками акцій можуть бути юридичні та фізичні особи, держава.
Акції випускаються в Україні тільки акціонерними товариствами (публічними та приватними) і можуть бути простими й привілейованими. Відповідно до ст. 20 ЗУ “Про акціонерні товариства” усі акції повинні бути тільки іменними та випускатися (з вересня 2010 року) у бездокументарній формі. Власниками акцій можуть бути юридичні та фізичні особи, держава.
Задача2
Пенсійний фонд «СВТ» приймає внески під 10% річних з щомісячним нарахуванням відсотків. Яка сума буде накопичена до виходу на пенсію, якщо із зарплати в кінці місяця перераховувати до фонду:
а) 100 грн. - протягом 10 років;
б) 300 грн. - протягом 2,5 року;
в) 500 тис грн. - протягом 5 років.
