- •1. Нод целых чисел. Алгоритм Евклида.
- •2. Расширенный алгоритм Евклида. Коэффициенты Безу (линейное разложение нод)
- •3. Взаимно простые числа. Критерий взаимно простых чисел. Свойства взаимно простых чисел.
- •4. Простые числа. Бесконечность множества простых чисел.
- •5. Основная теорема арифметики.
- •6. Сравнения и классы вычетов. Операции (сложение, вычитание, умножение) с классами вычетов.
- •7. Поле комплексных чисел. Операции над комплексными числами в алгебраической форме записи.
- •8. Тригонометрическая форма записи и геометрическая интерпретация комплексных чисел. Умножение и деление комплексных чисел в тригонометрической записи. Формула Муавра.
- •9. Извлечение корня натуральной степени из комплексных чисел.
- •10. Бинарная алгебраическая операция. Ассоциативность. Коммутативность. Полугруппа. Примеры полугрупп. Нейтральный элемент в полугруппе. Симметричные элементы в полугруппе.
- •11. Группа. Примеры групп. Обратные элементы в группе.
- •12. Кольцо. Примеры колец. Мультипликативное свойство нуля. Правило знаков при умножении. Дистрибутивность при вычитании. Лемма о сокращении.
- •13. Поле. Примеры числовых полей. Делители нуля в поле.
- •14. Кольцо вычетов. Необходимое и достаточное условие, при котором кольцо вычетов является полем.
- •15. Изоморфизм групп, колец и полей.
- •16. Кольцо многочленов. Деление с остатком. Делимость.
- •17. Наибольший общий делитель многочленов. Алгоритм Евклида.
- •18. Расширенный алгоритм Евклида для многочленов. Коэффициенты Безу (линейное разложение нод).
- •19. Взаимно простые многочлены. Критерий взаимно простых чисел. Свойства.
- •20. Неприводимые многочлены над полем. Существование и единственность разложения многочленов на неприводимые множители.
- •21. Освобождение многочлена от кратных множителей.
- •22. Деление многочлена на линейный множитель. Теорема Безу. Схема Горнера
- •23. Корни многочлена. Кратность корня. Производная многочлена. Корни производной.
- •25. Лемма о старшем члене.
- •26. Доказательство основной теоремы алгебры.
- •27. Разложение многочлена на линейные множители над полем комплексных чисел. Разложение на линейные и квадратичные множители многочлена с вещественными коэффициентами.
- •28. Формулы Виета.
- •29. Интерполяционный многочлен. Его существование и единственность. Интерполяционный многочлен в форме Лагранжа.
- •30. Поиск рациональных корней многочлена с целыми (рациональными) коэффициентами.
- •31. Примитивные многочлены. Лемма Гаусса. Эквивалентность неприводимости многочленов над полемрациональных и кольцом целых чисел.
- •32. Признак Эйзенштейна неприводимости многочленов над кольцом целых чисел.
- •33. Алгоритм Кронекера разложения многочлена над кольцом целых чисел.
- •35. Деление отрезка в заданном отношении.
- •36. Скалярное произведение геометрических векторов. Его свойства. Выражение скалярного произведения через координаты в ортонормированном базисе.
- •37. Векторное произведение. Его свойства. Выражение векторного произведения через координатывекторов в ортонормированном базисе.
- •38. Смешанное произведение. Его свойства. Выражение смешанного произведения через координаты векторов.
7. Поле комплексных чисел. Операции над комплексными числами в алгебраической форме записи.
Комплексным числом называется упорядоченная пара действительных чисел (a, b). Два комплексных числа (a, b) и (c, d) равны тогда и только тогда, когда a = c, b = d.
Для всех комплексных чисел C определены операции сложения и умножения по правилам:
(a, b) + (c, d) = (a + c, b + d), (a, b) · (c, d) = (ac − bd, ad + bc).
Эти операции обладают следующими свойствами:
• ассоциативность:
(a, b) + ((c, d) + (e, f)) = ((a, b) + (c, d)) + (e, f),
(a, b) · ((c, d) · (e, f)) = ((a, b) · (c, d)) · (e, f);
• коммутативность:
(a, b) + (c, d) = (c, d) + (a, b), (a, b) · (c, d) = (c, d) · (a, b);
• дистрибутивность:
(a, b) · ((c, d) + (e, f)) = (a, b) · (c, d) + (a, b) · (e, f).
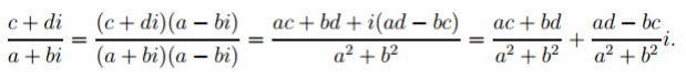
Деление. Производится с домножением на сопряженное.
Обычно комплексное число обозначают одной буквой, например: z = a + bi, здесь a называется действительной частью числа z, b — мнимой частью.
Комплексные числа нельзя сравнивать!
8. Тригонометрическая форма записи и геометрическая интерпретация комплексных чисел. Умножение и деление комплексных чисел в тригонометрической записи. Формула Муавра.
Пусть на плоскости задана прямоугольная система координат. Тогда произвольному компл. ч. (a, b)=a+bi можно сопоставить точку с координатами (a, b). Заданная пл. называется комплексной. Ось абсцисс (действительная ось Re) будет соответствовать мн. действительных чисел. Ось ординат (мнимая ось Im) - множеству чисто мнимых чисел.
Модулем, или абсолютной величиной, комплексного числа называется расстояние r точки z до начала координат (|z|). Аргументом числа z назовем угол ϕ, отсчитываемый в положительном направлении (против ч. стр.), между направлением оси Re и радиус-вектором точки z.
Арумент (arg z) определен с точностью до 2πk. Применяя теорему Пифагора и формулы тригонометрии:|a + bi| =√a2 + b2, a = r cos ϕ, b = r sin ϕ,откуда a + bi = r(cos ϕ + isin ϕ). Это тригонометрическая форма записи
Формала
Муавра:
9. Извлечение корня натуральной степени из комплексных чисел.
Пусть n ∈ N. Число z называется значением корня n-й степени из числа ζ(зэта), если zn = ζ.Легко видеть, что ζ = 0 обладает единственным (нулевым) значением корня произвольной натуральной степени.
Пусть ζ <> 0, тогда, очевидно, z <>0. Представим ζ в тригонометрической форме: ζ = ρ(cos ψ + isin ψ). Мы ищем такое z =r(cos ϕ + isin ϕ), что zn = ζ. Воспользовавшись формулами Муавра, последнее равенство перепишем в виде rn=cos(nϕ) + isin(nϕ)= ρ(cos ψ + isin ψ).
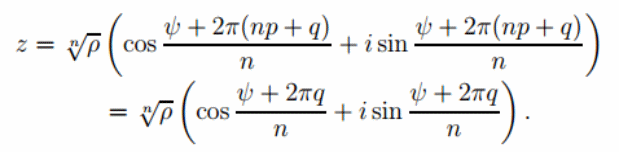
Так как для ненулевого комплексного числа модуль определен однозначно, а аргумент с точностью до 2πk, где k ∈ Z, то {rn = ρ, а nϕ = ψ + 2πk} Получаем:r =n√ ρ, ϕ =(ψ + 2πk)/n (для вычисления r используется арифметическое значение корня n √ ρ). Итак, для произвольного k ∈ Z каждое из чисел z =n√ ρ (cos(ψ + 2πk)/n+ isin(ψ + 2πk)/n) является значением корня n-й степени из числа ζ = ρ(cos ψ + isin ψ).
Выясним, есть ли среди чисел совпадающие. Разделим произвольное k ∈ Z на n с остатком, т. е. представим k в виде k = np + q. Подставляя это выражение для k получаем:
С другой стороны, при значениях k = 0, 1, . . . , n−1 все числа различны: их аргументы различны и отличаются не более, чем на 2π.
Точки комплексной плоскости, соответствующие всем значениям корня степени n ≥ 3 из одного и того же числа, находятся в вершинах правильного n-угольника.
