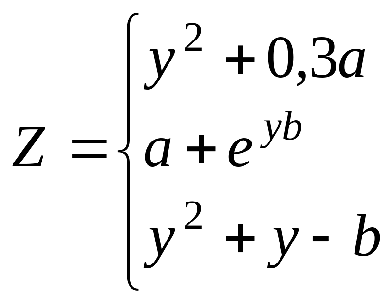
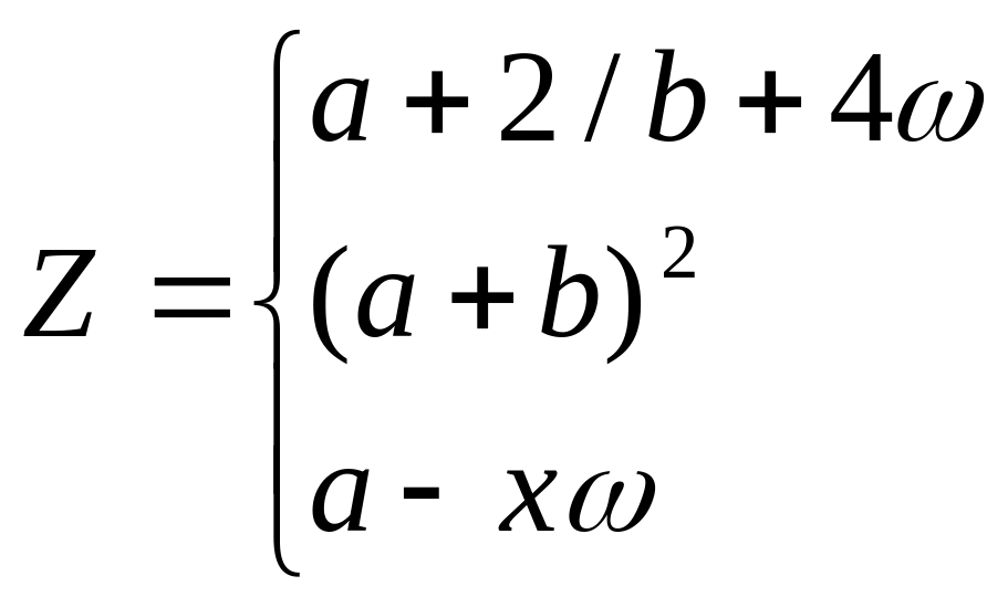
2. Тапсырма
2.1. 3 кестеден вариант бойынша тапсырманы алып, шартты операторды қолданып программа жазу.
2.2. 4 кестеден вариант бойынша тапсырманы алып, таңдау операторды қолданып программа жазу.4-бұтақты таңдау үшін default өзекті сөзі бар нұсқаны қолдану керек.
3 Кесте
Вариант № |
Мазмұны |
Мәндері |
|
|
|
a=2 b=1,5 c=1 d=3 e=0,5 |
|
|
|
c=-2 a=1,5 d=2 x=3 |
|
|
|
a=5 b=1,2 y= 0,6 |
|
|
|
d=2 a=3,5 x=3 i=2,3 |
|
|
|
=1 x=2,5 a=4 b=0,4 |
|
|
|
a=0,5 b=2 h=4 R=1,4 |
|
|
|
p=0,6 l=2 h=5 R=4 |
|
|
|
x=0,63 c=1,5 d=2 a=0,37 |
|
|
|
y=2,6 x=1,6 a=0,4 |
|
|
|
a=1,5 b=2 x=0,5 |
|
|
|
x=0,5 a=4,3 y=2,6 d=0,3 |
|
|
|
a=3 y=2,7 i=2 x=1 |
|
|
|
x=0,73 y=0,4 t=2,6 |
|
|
|
a=2 x=0,54 c=2,3 b=1,8 R=3 |
|
|
|
x=0,4 a=0,88 c=3,6 |
|
|
|
a= -1 b=0,8 x=1 c= -0,7 |
|
|
|
x=2 y=3,5 a=0,1 b=4 |
|
|
|
x=0,8 y=0,2 a=4 b=5 t=1 |
|
|
|
y=2 a=0,5 x=1,8 b=0,6 |
|
|
|
x=1,8 y=2 t=4 a=1,5 R=4,6 b=0,3 |
4 Кесте
Вариант № |
Мазмұны |
Мәндері |
1 |
|
|
2 |
|
|
3 |
|
|
4 |
|
|
5 |
|
|
6 |
|
|
7 |
|
|
8 |
|
|
9 |
|
|
10 |
|
|
11 |
|
|
12 |
|
|
13 |
|
|
14 |
|
|
15 |
|
|
16 |
|
|
17 |
|
|
18 |
|
|
19 |
|
|
20 |
|
|
