- •Вопросы письменной части итоговой работы!
- •2 Вариант. Дать развёрнутый ответ на вопросы:
- •3 Вариант. Дать развёрнутый ответ на вопросы:
- •4 Вариант. Дать развёрнутый ответ на вопросы:
- •5 Вариант. Дать развёрнутый ответ на вопросы:
- •6 Вариант. Дать развёрнутый ответ на вопросы:
- •7 Вариант. Дать развёрнутый ответ на вопросы:
- •8 Вариант. Дать развёрнутый ответ на вопросы:
- •9 Вариант. Дать развёрнутый ответ на вопросы:
- •10 Вариант. Дать развёрнутый ответ на вопросы:
- •11 Вариант. Дать развёрнутый ответ на вопросы:
- •12 Вариант. Дать развёрнутый ответ на вопросы:
- •17 Вариант. Дать развёрнутый ответ на вопросы:
- •18 Вариант. Дать развёрнутый ответ на вопросы:
- •19 Вариант. Дать развёрнутый ответ на вопросы:
- •20 Вариант. Дать развёрнутый ответ на вопросы:
- •3. Диагностика инфаркта миокарда с помощью ферментов.
- •4. Что означает термин «фосфатидная кислота». Биологическая роль.
- •5. Что означает термин «s-аденозилметионин». Биологическая роль.
Вопросы письменной части итоговой работы!
1 вариант. Дать развёрнутый ответ на вопросы:
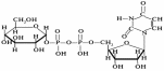
1. Написать формулу УДФ-глюкозы, объяснить функциональную роль соединения.
участвует в синтезе гликогена
2. Понятие «ферменты». Классификация.
белки, ускорють химическую реакцию,
а) оксидоредуктазы
б)трансеразы
в)гидролазы
г)лиазы
д)изомразы
е)лигазы (синтазы)
3. Перечислить катехоламины. Указать основные физиологические эффекты катехоламинов.
1)адреноли
2)дофамин
3)норадренолин
ФУН-повышают активность эндокринных желез, стимулируют гипоталамус и гипофи
4. Расшифровать сокращение НАД (написать полное название, указать биологическую роль соединения).
!Никотинамидадениндинуклеотид !ВитаминPP
Фун- участвует в ОВР ( а именно B-окислении жирных кислоть, ЦТК, анаэробном и аэробном типе дыханиии,ОФ дых.цепи,уч ОД и тд)
5. Что означает термин «гликолиз». Дать определение процесса.
!Это получения из глюкозы, пируват для цтк и дых цепь (для АТФсинтазы)
глюкоза - >глюкоза-6-фосфат<->фруктоза-6-бифосфат->фруктоза-1.6-бифосфат<->Даф<->Гаф< ->1.3-Бифосфоглицерат<->3-фофсфоглицерат<->2-фофсфоглицерат<->фофенолпируват->пируват<->лактат.
2 Вариант. Дать развёрнутый ответ на вопросы:
1. Написать формулу дипептида и подсчитать заряд: ПРО-ЛИЗ
2. Дать определение хромопротеинов. Перечислить известные Вам хромопротеины. Строение гемоглобина.
3. Перечислить участников передачи гормонального сигнала для адреналина.
4. Расшифровать сокращение ФАД (написать полное название, указать биологическую роль соединения).
!Флавинадениндинуклеотид ! Витамин В2( уч ОД, ЦТК, ОВР, ОФ дых.цепи,B-окислении жирных кислоть)
5. Что означает термин «глюконеогенез». Дать определение процесса.
! Получения из пирувата глюкозу
1) ПИРУВАТКАРБОКСИЛАЗА 2)ФЕНкарбоксикиназа
алат-> пируват<-фофенолпируват->2-фофсфоглицерат<->3-фофсфоглицерат< ->1.3-Бифосфоглицератглюкоза - >Гаф<->Даф<->
3)фруктоза-1.6-бифосфатаза
фруктоза-1.6-бифосфат<-фруктоза-6-бифосфат->
4) Глюкоза-6-фосфатаза
глюкоза-6-фосфат->глюкоза
3 Вариант. Дать развёрнутый ответ на вопросы:
1. Написать формулы серосодержащих аминокислот.
соо соо
| |
cн-сн2-сн2-S-сн3 cн-сн2-sн
| Метионин | цистеин
NH3 NH3
2. Дать определение липопротеинов (функции и классификация).
!Белки и Лепиды
ХМ- транспорт пищевых лепидов
ЛПОНП-транспорт липидов и синттезированных в пеени и ткани.
ЛПНП-транспорт холестерина из печени в ткань. Образуется из ЛПОНП.
ЛПВП -Транспорт холестерина изткани в печень ( обратный транспорт холестерина)
3. Написать общую формулу биогенного амина. Пути инактивации биогенных аминов?
4. Расшифровать сокращение ТГФК (написать полное название, указать биологическую роль соединения).
!Тетрагидрофолиевая кислота.
1-является ферментом преврашении серина в глицин.
2- цчаствуетьв цикле регенерации метионина т.е являетс транспартерам метильной группы, от глицина к В12.
5. Что означает термин «элонгация». Дать определение понятия.
Этап биосинтеза молекул нуклеиновых кислот (в процессе транскрипции) или белков (в процессе трансляции), происходящий между инициацией и терминацией и заключающийся в последовательном присоединении мономеров (нуклеотидов или аминокислот) к растущим цепям макромолекул.
