- •Содержание
- •1. Постановка задачи
- •2. Математическая модель решения задачи
- •3. Алгоритм решения задачи
- •4. Схема алгоритма
- •5. Таблица идентификаторов
- •6. Текст программы
- •Результаты работы программы
- •8. Графическая часть
- •9. Анализ результатов
- •Литература
- •Приложение Решение задачи с использование Microsoft Excel
Содержание
СОДЕРЖАНИЕ 3
1. ПОСТАНОВКА ЗАДАЧИ 4
2. МАТЕМАТИЧЕСКАЯ МОДЕЛЬ РЕШЕНИЯ ЗАДАЧИ 5
3. АЛГОРИТМ РЕШЕНИЯ ЗАДАЧИ 3
4. СХЕМА АЛГОРИТМА 4
5. ТАБЛИЦА ИДЕНТИФИКАТОРОВ 5
6. ТЕКСТ ПРОГРАММЫ 6
7. РЕЗУЛЬТАТЫ РАБОТЫ ПРОГРАММЫ 7
8. ГРАФИЧЕСКАЯ ЧАСТЬ 9
10
9. АНАЛИЗ РЕЗУЛЬТАТОВ 11
ЛИТЕРАТУРА 12
ПРИЛОЖЕНИЕ 13
Решение задачи с использование Microsoft Excel 13
1. Постановка задачи
Упругая призматическая балка (рис. 1) наглухо заделана в конце О и подвергается действию сосредоточенной вертикальной силы Р, приложенной к концу балки L на расстоянии от места закрепления. Поперечное сечение балки - квадрат со стороной а. Весом балки пренебречь.
Исследовать прогибы балки y(x) при различных значениях силы P (весом балки пренебречь). Построить графики зависимостей y(x) в одних осях координат.
Исходные данные:
Длина стержня L=5м
Модуль
упругости для стали
Сила
Сторона
квадрата
Количество разбиений n=20
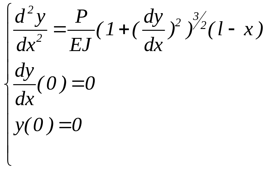
2. Математическая модель решения задачи
В качестве математической модели задачи используется дифференциальное уравнение изогнутой оси балки
где М(x) – момент сил, приложенных к балке;
Е – модуль упругости;
J – момент инерции площади поперечного сечения балки;
Р
В данном случае
,
начальные условия:
.
Задача Коши будет иметь вид
Преобразуем ее к системе дифференциальных уравнений 1-го порядка с начальными условиями
Решение дифференциальных уравнений методом Эйлера.
Пусть
задано дифференциальное уравнение
первого порядка
или
=F(x,
y)
На интервале [x0, xn] разобьём на n частей и получим x0,…,xn.
xi=x0+
или xi=xi-1+h1,
где
.
Соответствующее значения y1=y*(xi), где y*(xi)- приближенное значение дифференциального уравнения.
Для получения численного решения дифференциального уравнения уравнение заменяется уравнениями относительно значений функции y*(x). Эти уравнения называют разностными. Простейшие разностные уравнения для заданного дифференциального уравнения имеют вид
yi+1=yi+
-формула
Эйлера.
Алгоритм метода Эйлера.
1)Ввод исходных данных(x0, xn, n, y0).
2) ; 3) Для i=1, n
4.1.)xi=xi-1+h;
4.2)yi=yi-1+
;
4) Для i=0, n
5.1)Вывод xi , yi.
3. Алгоритм решения задачи
Вводим исходные данные
a, l, E, n;
2.Для k=1, 4
Ввод (Pk);
Выводим исходные данные
3. Вывод (a, l, P1, P2, P3, P4, E, n);
4.
;
Решаем дифференциальное уравнение методом Эйлера
5. Для k=1, 4
5.1. Вывод (x1, y1);
5.2. Для i=2, n+1
5.2.1.
5.2.2.
5.2.3.
5.2.4. Вывод (xi, yi);
Алгоритм функции fun
1.
